手机版

百科生活 投稿

风扇转速怎么看,n卡风扇转速怎么调(如何用风扇法则来推算风扇性能)

百科 2026-02-13 15:07:49 投稿 阅读:9247次

关于【风扇转速怎么看】:风扇转速怎么看(n卡风扇转速怎么调),今天小编给您分享一下,如果对您有所帮助别忘了关注本站哦。

  • 内容导航:
  • 1、风扇转速怎么看(n卡风扇转速怎么调)
  • 2、超能课堂(297):如何用风扇法则来推算风扇性能?

1、风扇转速怎么看(n卡风扇转速怎么调)

如何看风扇转速(如何调整N卡的风扇转速)

一些

2019-06-27 12: 23太平洋家居网夏季风扇是主要的散热器,风扇风有多大主要看风扇转速有多大。那么,风扇转速有多正常呢?如果觉得风扇转速太高,每天吹会不舒服,自然要调整。那么,调节风扇转速的方法有哪些呢?

1.风扇转速正常多少?

1.要知道CPU风扇转速是否正常,首先要知道我们的电脑在使用的时候风扇转速是多少。要知道速度也很简单,只需要下载一些鲁大师、360硬件大师等工具软件,就可以为你自动检测CPU风扇速度。

2.正常情况下,客厅的电脑在使用时,CPU温度保持在65度以下比较合适。很多人认为风扇转得越快越好。但实际上,CPU风扇转速是根据电脑CPU的发热量来决定的。CPU上有热传感器,不同温度下CPU风扇转速不同。一般如果CPU温度正常,转速在2000-2500 rpm左右。有些人玩一些高配置的游戏,CPU的温度会/min增加,这样CPU的温度可能会超过60摄氏度以上的范围,同样材质的U型风扇会达到5000 rpm,但这种情况下风扇是正常的。所以风扇转速的具体数值并没有准确的数值,主要是跟环境和用户的需求有关,并不是说转速越高越好。

二、风扇转速调节方法有哪些?

1.智能控制

目前大部分电脑都有智能调速功能,可以简单设置调节风扇的转速。一般先将主板BIOS中的“CPU FAN Control by”设置为SMART,从而开启智能风扇控制功能,然后将CPU温度设置在24度到35度之间,然后电脑会根据温度自动调节速度。

2.手动调速

风扇速度调节也可以通过手动调速器来完成。调节器被设计成串联在散热器的风扇插头上,然后旋钮转到3500到5200转/分,然后在噪音低的时候停止。

正常风扇转速是多少?不知道风扇转速正常多少,可以一档一档试试,直到风扇转速正常。风扇转速调节方法有哪些?调节风扇转速时,主要是通过其档位。不要用其他方法调整,否则会有危险。

举报评论 0

2、超能课堂(297):如何用风扇法则来推算风扇性能?

在之前的《超能课堂(295):真正认识散热风扇的风量与风压》文章中,我们和大家简单聊过风扇的风量与风压之间的关系,以及P-Q曲线在实际使用中的价值。然而有同学提到,厂商给出的P-Q曲线是风扇在最大转速下测定而出的,而且在实际使用中,风扇的转速往往是动态的,大部分时候都不是满转速运行,因此满转速的P-Q曲线参考价值其实很低。

那么风扇在满转速下的P-Q特征曲线是否真的意义不大呢?其实在风扇行业内是有一个名为“风扇法则”的规律,通过这个规律的灵活运用,再结合已有的P-Q特征曲线,我们是可以快速判断风扇在不同转速下的工作状况,以及它是否可以满足我们使用需求。

风扇转速怎么看,n卡风扇转速怎么调(如何用风扇法则来推算风扇性能)

风扇法则是什么?

风扇法则描述的是风扇尺寸、风量、风压、转速、功率、噪音以及空气密度等多种参数之间的关系,但由于并不是每一个参数都与其它参数有关联,例如同一个风扇在不同密度的空气中,风量都是不会改变的,因此风扇法则包含的并不仅有一个公式,而是多个公式的组合。通过这些公式,我们就可以在大体上了解一款风扇在工作性能,并对我们在PC DIY领域中的部分关于风扇选择的问题作出快速解答。

风扇转速怎么看,n卡风扇转速怎么调(如何用风扇法则来推算风扇性能)


风扇中的主要参数都与风扇法则有关

风扇法则中涉及的参数包括有D(风扇直径)、N(风扇转速)、P(风压,一般指静压)、Q(风量)、W(风功率)、LW(声功率)以及ρ(空气密度), 而在谈及风扇法则的时候,基本都默认风扇的扇叶设计例如角度和叶片数量都是相同的,毕竟就算是同尺寸、同转速的风扇,改变扇叶设计同样可以带来风量和风压上的不同,如果要涉及到这个领域,那么风扇参数之间的关系就更复杂了。

风扇法则应用最广的是与风量、风压以及风功率相关的三个公式,以及与噪音相关的声功率公式,这次我们就针对这几个公式进行简单的讲解。

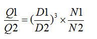
风量公式:转速与风量呈正比

首先我们看看风扇的风量与直径、转速之间的关系,计算公式如下所示。

风扇转速怎么看,n卡风扇转速怎么调(如何用风扇法则来推算风扇性能)

从这个公式我们可以看出,风扇的风量与转速呈正比,与直径则呈立方关系。举例说明,对于同一把风扇来说,在转速为800RPM时,其风量是1600RPM下的1/2;倘若有两把扇叶设计相同的12cm风扇与14cm风扇,如果两者要提供相同的风量,那么12cm风扇的转速理论上要达到14cm风扇的(140/120)3≈1.6倍,也就是说12cm风扇在1600RPM下提供的风量,对于同款扇叶设计的14cm风扇来说只需要1000RPM就可以做到了。

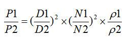
风压公式:转速提升至2倍,则风压提升至4倍

而风扇的静压不仅与直径以及转速有关,空气密度的变化也会影响到风扇静压,具体的公式如下所示。从这个公式我们可以看出,风压与风扇直径呈平方关系,与转速也呈平方关系,与空气密度则呈正比。不过以PC DIY常见的使用环境来说,空气密度基本上不会发生太大的变化,因此这部分在实际使用时其可以忽略不计。

风扇转速怎么看,n卡风扇转速怎么调(如何用风扇法则来推算风扇性能)

对于同一把风扇来说,当其实际运行转速只有满转速的1/2时,那么其提供的风压就只有满转速下的1/4,换句话说,改变风扇的转速,风压的变化幅度往往会比风量更大。

而通过这个公式我们也可以看出,如果两款风扇的扇叶设计与叶片数量相同,仅仅只是尺寸和转速上有所不同,同时又满足D1*N1=D2*N2(直径与转速的乘积相同),相当于扇叶末端的线速度相同,那么两把风扇提供的静压是基本相等的。而结合风量公式则可以看出,在同样的条件下,由于风量与两者的直径则呈立方关系,换算之后可以得出,大尺寸风扇的风量依然会更高,倍数是两者直径比值的平方。

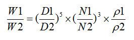
风功率:转速提升至2倍,风功率增加至8倍

风扇法则的第三条公式则与风功率有关,计算公式如下所示,可以看到对于同一把风扇来说,风功率与风扇的转速呈立方关系,而对于不同尺寸但转速相同的风扇来说,风功率则与扇叶直径则呈5次方关系。

风扇转速怎么看,n卡风扇转速怎么调(如何用风扇法则来推算风扇性能)

大家仔细观察的话其实会发现,风功率的计算公式实际上就是风量公式与风压公式的结合,因为风功率就是风量与风压的乘积,所以业内常常说的“高风压低风量、低风压高风量”其实是有前提的,就是在风功率相同甚至是同一把风扇的情况下才会有这样关系。

风功率不仅仅代表着风扇的散热效能,同时它还影响着风扇驱动电机的选择。理论上说,要提供多大的风功率,那么驱动电机的输出功率就得有多大。但实际中是存在能量转换效率的,因此一般来说电机的运行功率会比风扇可以提供的风功率更高,不过这点就不需要我们担心了,这是厂商需要解决的事情。

此外通过这个公式我们也可以看到,其实风扇转速的提升对于风功率有极大的影响,转速提升至2倍,风功率则提升至8倍,对于电机功率的需求也水涨船高。

声功率:转速越高,声功率越高

风扇的风量与风压代表着它的散热效能,但是对于我们来说,风扇的使用体验并不只有散热效能,其运转噪音的大小也会直接影响我们的感受。风扇运转时发出的声音的大小可以用声功率来表示,只是声功率不能直接测量,只能通过测量声压或者声强的方式来进行计算,这部分的内容我们会另觅时间给大家讲解。

风扇转速怎么看,n卡风扇转速怎么调(如何用风扇法则来推算风扇性能)

对于风扇来说,声功率的变化与风扇的直径、转速以及空气密度有关,而空气密度在实际使用中变化几乎可以忽略不计,因此直径越大、转速越高的风扇,其声功率往往会越高,也就我们说的运转噪声往往也会越大。

风扇的并联与串联:并联风量叠加,串联风压叠加

风扇的并联与串联严格意义上不属于风扇法则的范畴,但是在我们实际应用中是很常见的,因此在这里也稍微讲一讲。所谓风扇的并联与串联,其实是指在一个密闭的散热体系中,两把风扇并排安装或者是重叠安装,其中并排安装就是风扇并联,在PC DIY中是最常见的,例如机箱的前置风扇安装,冷排上的风扇安装等等;而风扇重叠安装的方式则是串联,在PC DIY中相对少见,比较类似的是双塔式散热器的前后两把风扇,或者是冷排两侧都安装风扇的方式。

风扇转速怎么看,n卡风扇转速怎么调(如何用风扇法则来推算风扇性能)


双塔风冷散热器的风扇就类似于串联式安装

风扇的并联或串联影响的主要是整个系统的风量或风压,一般来说风扇并联安装,风压不变但风量叠加,而串联安装的风扇则相反,风压叠加但风量不变。因此对于有大风量需求的应用环境,例如机箱散热,都是采用多个风扇并联安装的方式;而对于有大风压要求的环境,例如通风管道内部,就会使用多个风扇串联的方式来增强管道内的风压。

风扇转速怎么看,n卡风扇转速怎么调(如何用风扇法则来推算风扇性能)


水冷排上的则是典型的并联风扇安装

风扇法则的实际应用:推算风扇在不同转速下的性能

那么风扇法则在我们选择风扇时可以起到怎样的作用呢?我们举例可以说明,扇叶设计相同但直径不同的两把风扇,一把为12cm,另一把为14cm,当两者提供相同风量的时候,经计算可以得出12cm风扇的转速接近于14cm风扇的1.6倍,在风压上12cm风扇将是14cm风扇的1.85倍,但声功率则是14cm风扇更低。因此对于扇叶设计相同的两把风扇来说,相同风量时小直径风扇的转速会更高,风压更大,噪音也会更高。

风扇转速怎么看,n卡风扇转速怎么调(如何用风扇法则来推算风扇性能)


(图中1500RPM的P-Q曲线为实际测定值)

不过要说到风扇法则最有用的地方,那还是用来快速判断风扇在不同转速下的表现。风扇的最高风量与最高风压其实都是在特定环境中测试得出的,两者并不能同时存在,因此风扇会有P-Q特性曲线。而P-Q特性曲线一般是在风扇最高转速下测定的,因此在已经给出风扇最大转速以及相应P-Q曲线时,我们就可以推算出其在不同转速下的大致性能。

以上图为例,当我们拥有一款风扇在满转速2000RPM下的P-Q曲线以及相应的参数,那么我们就可以根据这些参数推算出其在1500RPM下的P-Q曲线,然后套入到参考系中,就可以知道这款风扇是否合适我们的应用环境了。从图上的数据可以看到,这款风扇在1500RPM转速时,在冷排上工作点仍然是失速区,并不合适,但在塔式风冷以及机箱散热上则处于正常状态,因此这款风扇比较适合用在塔式风冷以及机箱散热上。

本文关键词:显卡风扇转速怎么看,怎么看风扇的转速,拯救者风扇转速怎么看,风扇转速怎么看图解,cpu风扇转速怎么看。这就是关于《风扇转速怎么看,n卡风扇转速怎么调(如何用风扇法则来推算风扇性能)》的所有内容,希望对您能有所帮助!

本文链接:https://bk.89qw.com/a-286204

最近发表
网站分类