手机版

百科生活 投稿

平行四边形的周长,平行四边形的周长怎么计算(最全《平行四边形、矩形菱形、正方形》计算类典型题汇总)

百科 2026-02-06 06:57:37 投稿 阅读:6309次

关于【平行四边形的周长】:平行四边形的周长怎么计算?,今天小编给您分享一下,如果对您有所帮助别忘了关注本站哦。

  • 内容导航:
  • 1、平行四边形的周长怎么计算?
  • 2、最全《平行四边形、矩形菱形、正方形》计算类典型题汇总

1、平行四边形的周长怎么计算?

平行四边形的周长:四条边的总和。可以乘以二(底1+底2);如果A用于基底1,B用于基底2,C平面用于平行四边形的周长,那么四条平行边的周长c=2(a+b)。平行四边形是由同一二维平面上的两组平行线组成的封闭图形。

平行四边形通常由图形名称和四个顶点依次命名。注意:用字母表示四边形时,一定要顺时针或逆时针表示顶点。平行四边形的周长:四条边的总和。可以乘以二(底1+底2);如果A用于基底1,B用于基底2,C平面用于平行四边形的周长,那么四条平行边的周长c=2(a+b)。平行四边形是由同一二维平面上的两组平行线组成的封闭图形。平行四边形的周长是平行四边形边长的总和。

在欧几里得几何中,平行四边形是一个简单的(非自相交的)四边形,有两对平行的边。平行四边形的对边或对边长度相同,平行四边形的对角相等。相比之下,只有一对平行边的四边形才是梯形。平行四边形的三维对应是平行六面体。

平行四边形的面积等于相邻两条边的积乘以夹角的正弦值;如果用a b表示相邻两条边的长度,a是两条边的夹角,s是平行四边形的面积,那么s平行四边形=ab*sina。

2、最全《平行四边形、矩形菱形、正方形》计算类典型题汇总

最全《平行四边形、矩形菱形、正方形》计算类典型题汇总

一、平行四边形中,边(周长)的计算

例1:在平行四边形ABCD中,对角线AC,BD交于点O,AC=10,BD=8,则AD的取值范围是_________.

平行四边形的周长,平行四边形的周长怎么计算(最全《平行四边形、矩形菱形、正方形》计算类典型题汇总)

解析:利用平行四边形的性质,对角线互相平分,得AO=5,DO=4.借助三角形三边关系,AO-DO<AD<AO+DO,则1<AD<9

变式:

1.已知平行四边形ABCD的周长是12,AC,BD交于点O,△ABO的周长比△BOC的周长大1,求AB,BC的长.

解析:对照上图,我们知道AO=CO,BO为公共边,则△ABO的周长与△BOC的周长之差就是AB与BC之差,设AB=x,BC=x-1,根据周长=12,可得2(x+x-1)=12,x=3.5,AB=3.5,BC=2.5

例2:如图,平行四边形ABCD的周长为16,AC,BD相交于点O,OE⊥AC于O,则△BCE的周长为_________.

平行四边形的周长,平行四边形的周长怎么计算(最全《平行四边形、矩形菱形、正方形》计算类典型题汇总)

解析:由OE⊥BD,BO=DO,可知OE垂直平分BD,则BE=DE,C△BCE=BC+CE+BE= BC+CE+DE=BC+CD=8

变式:如图,EF过平行四边形ABCD对角线的交点O,分别交AD于E,交BC于点F,若OE=5,四边形CDEF的周长为25,则平行四边形ABCD的周长为________.

平行四边形的周长,平行四边形的周长怎么计算(最全《平行四边形、矩形菱形、正方形》计算类典型题汇总)

解析:首先,可证△AEO≌△CFO,则OE=OF.

(事实上,经过平行四边形对称中心的线段,既平分平行四边形的周长,也平分面积.)

EF=2OE=10,AE=CF,C四边形CDEF=CD+DE+CF+EF=CD+DE+AE+EF=CD+DA+EF=25

CD+DA=15,C平行四边形ABCD=30

例3:在平行四边形ABCD中,AD=11,∠A、∠D的角平分线分别交BC于E、F,EF=3,则AB=__________.

解析:

本题是典型的易错题,极易漏解,我们应该想到,AE,DF必然相交,且夹角为90°,但交点可以在平行四边形内,也可在形外.故而要分类讨论.

同时,这里面隐藏着一个常见的基本模型,平行+角平分,构造等腰,△ABE和△FCD是等腰三角形,且腰相同,AB=BE=DC=CF.

平行四边形的周长,平行四边形的周长怎么计算(最全《平行四边形、矩形菱形、正方形》计算类典型题汇总)

如图,当AE,DF交于形内,BE+CF-EF=11,2BE-3=11,BE=7,AB=7

平行四边形的周长,平行四边形的周长怎么计算(最全《平行四边形、矩形菱形、正方形》计算类典型题汇总)

如图,当AE,DF交于形外,BE+CF+EF=11,2BE+3=11,BE=4,AB=4

综上,AB=7或4

变式:

1.平行四边形ABCD的周长为32, ∠ABC的角平分线交边AD所在直线于点E,且AE:ED=3:2,则AB=______.

解析:看到"所在直线" 这样的字眼,第一时间应该想到两解了吧.

平行四边形的周长,平行四边形的周长怎么计算(最全《平行四边形、矩形菱形、正方形》计算类典型题汇总)

如图,AD<AB,则E在AD延长线上,AE=AB,

∵AE:ED=3:2,

∴AE:AD=3:1,AB:AD=3:1,

设AD=x,AB=3x,3x+x=16,

x=4,AB=3x=12.

平行四边形的周长,平行四边形的周长怎么计算(最全《平行四边形、矩形菱形、正方形》计算类典型题汇总)

如图,AD>AB,则E在AD上,AE=AB,

∵AE:ED=3:2,

∴AE:AD=3:5,AB:AD=3:5,

设AB=3x,AD=5x,3x+5x=16,

x=2,AB=3x=6.

综上,AB=6或12.

二、平行四边形面积类问题

例1:平行四边形ABCD中, DE⊥AB,DF⊥BC,若DE=2,DF=3,四边形ABCD的周长是30,求其面积.

解析:本题其实早在小学阶段,可能就有同学做过,知道平行四边形周长,则知道了邻边之和为其一半,有了2条高,自然想到面积,用等积法解决.

平行四边形的周长,平行四边形的周长怎么计算(最全《平行四边形、矩形菱形、正方形》计算类典型题汇总)

如图,设AB=x,BC=15-x,

2x=3(15-x),x=9,S=2x=18

例2:如图,M、N是平行四边形ABCD的边AB、AD的中点, 连接MN、MC,若阴影四边形的面积为10,则图中空白部分的面积是____________.

平行四边形的周长,平行四边形的周长怎么计算(最全《平行四边形、矩形菱形、正方形》计算类典型题汇总)

解析:面对一般四边形的面积问题,我们通常转化为熟悉的平行四边形求面积,或者将四边形分割成2个小三角形,分别求面积,再求和.

本题显然不能转化,尝试分割,若连接NC,则△NMC的面积不好求,所以连接MD.

平行四边形的周长,平行四边形的周长怎么计算(最全《平行四边形、矩形菱形、正方形》计算类典型题汇总)

平行四边形的周长,平行四边形的周长怎么计算(最全《平行四边形、矩形菱形、正方形》计算类典型题汇总)

例3:

平行四边形的周长,平行四边形的周长怎么计算(最全《平行四边形、矩形菱形、正方形》计算类典型题汇总)

平行四边形的周长,平行四边形的周长怎么计算(最全《平行四边形、矩形菱形、正方形》计算类典型题汇总)

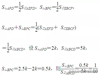
解析:初次拿到这样的题目,很难下手,没有具体的底边和高长,我们求不出各图形的面积,但既然平行四边形对边平行,我们不妨过点P再作一次平行.

如图,过点P作EF∥AD,则EF∥BC,四边形AEFD,四边形EBCF均为平行四边形.

平行四边形的周长,平行四边形的周长怎么计算(最全《平行四边形、矩形菱形、正方形》计算类典型题汇总)

平行四边形的周长,平行四边形的周长怎么计算(最全《平行四边形、矩形菱形、正方形》计算类典型题汇总)

本题重要结论:S1+S3=S2+S4

平行四边形的周长,平行四边形的周长怎么计算(最全《平行四边形、矩形菱形、正方形》计算类典型题汇总)

三、矩形正方形线段和的计算、菱形中面积,最值类问题

例1:在矩形ABCD中,AB=3, BC=4,对角线AC,BD交于点O,点P是BC边上的一点,PE⊥BO,PF⊥CO,求PE+PF=_________.

平行四边形的周长,平行四边形的周长怎么计算(最全《平行四边形、矩形菱形、正方形》计算类典型题汇总)

解析:拿到题目,有些同学立刻反应,说是"将军饮马"问题,但这里是求值,是定值,而将军饮马属于求最值问题.PE,PF分别是高,则想到面积,这才应该是第一反应.

如图,连接OP

平行四边形的周长,平行四边形的周长怎么计算(最全《平行四边形、矩形菱形、正方形》计算类典型题汇总)

平行四边形的周长,平行四边形的周长怎么计算(最全《平行四边形、矩形菱形、正方形》计算类典型题汇总)

变式:

1.如图,正方形ABCD的对角线AC,BD交于点O,对角线长为10,P是BC边上的一点, PE⊥BO,PF⊥CO,求PE+PF=_________.

平行四边形的周长,平行四边形的周长怎么计算(最全《平行四边形、矩形菱形、正方形》计算类典型题汇总)

解析:

本题同样也能用上题思路,

PE+PF=BO=5,

也能证明四边形EPFO是矩形,

PF=EO,∠EBP=∠EPB=45°,

则BE=PE,

PE+PF=BE+EO=BO=5

例2:已知菱形ABCD的周长为20,面积为20,求对角线AC,BD的长.

解析:由周长为20,我们可以知道,边长是5,由面积是20,我们可以知道对角线乘积的一半是20,因此,不妨设AC=2x,BD=2y,x>y,

平行四边形的周长,平行四边形的周长怎么计算(最全《平行四边形、矩形菱形、正方形》计算类典型题汇总)

平行四边形的周长,平行四边形的周长怎么计算(最全《平行四边形、矩形菱形、正方形》计算类典型题汇总)

例3:如图,菱形ABCD的两条对角线分别长6和8,点P是AC上的一个动点,点M、N分别是边AB、BC的中点,则PM+PN的最小值是________.

平行四边形的周长,平行四边形的周长怎么计算(最全《平行四边形、矩形菱形、正方形》计算类典型题汇总)

解析:这才是标准的将军饮马问题,作点M关于AC的对称点M',则PM+PN=P M'+PN≥M'N(当M',P,N三点共线时可取等号),则最小值即为M'N=5

平行四边形的周长,平行四边形的周长怎么计算(最全《平行四边形、矩形菱形、正方形》计算类典型题汇总)

变式:

1.如图,菱形ABCD的两条对角线分别长6和8,点P、N是AC,BC上的一个动点,点M是边AB的中点,则PM+PN的最小值是________.

平行四边形的周长,平行四边形的周长怎么计算(最全《平行四边形、矩形菱形、正方形》计算类典型题汇总)

解析:变成了一定(点M)一动问题(点N),方法与之前一致,确定AD边上的点M',则当M'N⊥BC时,M'N最短,过点M'作M'Q⊥BC,利用面积法,S菱形ABCD=24,BC=5,M'Q=4.8,PM+PN的最小值是4.8

本文关键词:平行四边形的周长怎么计算三年级,平行四边形的周长怎么计算方法,平行四边形周长怎样计算,平行四边形的周长是怎么计算,平行四边形的周长怎么样计算。这就是关于《平行四边形的周长,平行四边形的周长怎么计算(最全《平行四边形、矩形菱形、正方形》计算类典型题汇总)》的所有内容,希望对您能有所帮助!

本文链接:https://bk.89qw.com/a-289595

最近发表
网站分类