手机版

百科生活 投稿

收敛半径怎么求,收敛半径怎么求收敛区间(一个简单的求和问题<3>)

百科 2026-02-17 21:47:27 投稿 阅读:2418次

关于【收敛半径怎么求】:收敛半径怎么求(求收敛半径的几种方法),今天小编给您分享一下,如果对您有所帮助别忘了关注本站哦。

  • 内容导航:
  • 1、收敛半径怎么求(求收敛半径的几种方法)
  • 2、老高说数学:一个简单的求和问题(3)

1、收敛半径怎么求(求收敛半径的几种方法)

今天,小编和大家分享两个问题。这两道题是一个学校期末考试的原题。让我们看一看,顺便练习一下。

第一题考查微分方程的通解。先看二阶非齐次线性微分方程,然后根据公式求解通解y = y y。其次,然后,根据公式,找到Y,最后得到答案。

第二个问题,求收敛半径,直接上公式求极限就行了。找到收敛区域时,分别讨论端点并使用一些技巧。求和函数是一个难点。通常我们先取导数,再化简成好的形式,最后用牛顿莱布尼茨公式还原积分。

2、老高说数学:一个简单的求和问题(3)

在今天的故事开始之前,建议大家先阅读我之前写的前三篇文章做铺垫,防止今天的知识点变得突兀和难以理解。

收敛半径怎么求,收敛半径怎么求收敛区间(一个简单的求和问题<3>)

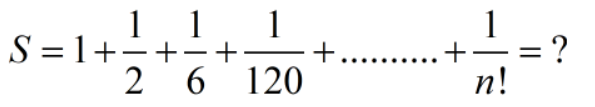
今天,我们继续来讲级数,话不多说,让我们看一个有趣的问题

收敛半径怎么求,收敛半径怎么求收敛区间(一个简单的求和问题<3>)

首先咱们说一下这个n带个感叹号是什么意思:

收敛半径怎么求,收敛半径怎么求收敛区间(一个简单的求和问题<3>)

我们n带个感叹号称为n的阶乘非常简单,咱们看一下上面这个运算就明白了。

当然这里还要个特例,大家要注意一下,它就是个人为定义的运算符号,没必要在意为什么。

收敛半径怎么求,收敛半径怎么求收敛区间(一个简单的求和问题<3>)

我们的本能是想知道上面那个级数的得数是多少,然而级数复杂之处就在于:你应该先判断它是收敛还是发散的再算也不迟,否则极有可能无功而返。(想了解收敛发散,建议大家先看我的第一篇文章)

于是,我们又要进行数学分析了:

我们把这个问题写得专业一下:

收敛半径怎么求,收敛半径怎么求收敛区间(一个简单的求和问题<3>)

我们要研究一下更加广泛的幂级数形式,来研究它的收敛半径R是多少,这一就把上面这个问题从特殊情况转化成一般情况了:

收敛半径怎么求,收敛半径怎么求收敛区间(一个简单的求和问题<3>)

拓展成幂级数,从特殊到一般

怎么求这个收敛半径呢,请出大数学家达朗贝尔来描述这个问题。

收敛半径怎么求,收敛半径怎么求收敛区间(一个简单的求和问题<3>)

达朗贝尔

达朗贝尔说道,我有一个定理,能帮你求出收敛半径R:

收敛半径怎么求,收敛半径怎么求收敛区间(一个简单的求和问题<3>)

达朗贝尔定理

于是,我们直接用上这个公式,进行计算:

收敛半径怎么求,收敛半径怎么求收敛区间(一个简单的求和问题<3>)

收敛半径怎么求,收敛半径怎么求收敛区间(一个简单的求和问题<3>)

我们把p倒过来,它就是收敛半径R:

收敛半径怎么求,收敛半径怎么求收敛区间(一个简单的求和问题<3>)

这啥意思呢:这个幂级数收敛半径R无穷大啊,说明它处处收敛我们令x=1,自然又回到了之前的那个等式,这就从一般又回到了特殊,也就是我们的实际情况

收敛半径怎么求,收敛半径怎么求收敛区间(一个简单的求和问题<3>)

上面啰嗦了一大堆,我们终于证明了上面这个级数是收敛的,它趋于一个定值。那么就简单了,老办法,我们直接上软件儿算

收敛半径怎么求,收敛半径怎么求收敛区间(一个简单的求和问题<3>)

我们发现,这个结果趋于1.71828182846......

本文关键词:收敛半径怎么求收敛区间,收敛半径怎么求,收敛半径怎么求公式,泰勒展开的收敛半径怎么求,高数收敛半径怎么求。这就是关于《收敛半径怎么求,收敛半径怎么求收敛区间(一个简单的求和问题<3>)》的所有内容,希望对您能有所帮助!

本文链接:https://bk.89qw.com/a-302481

最近发表
网站分类