手机版

百科生活 投稿

三阶行列式的计算方法,三阶行列式的计算方法按行展开(三阶行列式计算方法对角线法则)

百科 2026-02-05 00:08:12 投稿 阅读:1310次

关于【三阶行列式的计算方法】:三阶行列式的计算方法,三阶行列式的计算方法按行展开,中学生线性代数4——解方程到行列式,今天小编给您分享一下,如果对您有所帮助别忘了关注本站哦。

  • 内容导航:
  • 1、三阶行列式的计算方法,三阶行列式的计算方法按行展开
  • 2、中学生线性代数4——解方程到行列式

1、三阶行列式的计算方法,三阶行列式的计算方法按行展开

行列式,大家都不陌生,在数学中,行列式是一个函数,其定义域是为det的矩阵A,取值为一个标量,一般表示为det(A)或者|A|。

一般我们做题目的时候,经常会遇到一些直接让你求行列式的题目,有时候大家可能模棱两可,就没法做出这种类型的题。

那么今天,我就来再梳理一下行列式的计算。

我们常见的行列式有如下几种:二阶行列式、三阶行列式和n阶行列式

对于二阶行列式和三阶行列式而言,我们往往采用的是对角线法则的做法:

三阶行列式的计算方法,三阶行列式的计算方法按行展开(三阶行列式计算方法对角线法则)

如图所示,主对角线元素乘积减去副对角线元素乘积。

一般而言,考试中并不会出现这类简单的求二阶、三阶行列式的题目,要求必然是求更高阶的行列式。

那么对于n阶行列式来说,我们应该怎么求呢,最好的方法当然是根据定义,以及行列式的一些性质来求:n阶行列式的值等于它的第一行的所有元素与各自的代数余子式的乘积分的和。

这里涉及到两个概念:余子式和代数余子式。

三阶行列式的计算方法,三阶行列式的计算方法按行展开(三阶行列式计算方法对角线法则)

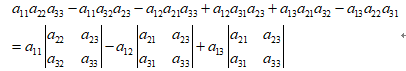
很明显,如果根据代数余子式,我们就可以得到关于三阶行列式的计算方式:

a11(a22a33-a32a23)+a12(a21a33-a31a23)+a13(a21a32-a31a22)

=a11a22a33-a11a32a23+a12a21a33-a12a31a23+a13a21a32-a13a31a22

=a11a22a33+a12a21a33+a13a21a32-a31a22a13-a32a23a11-a33a21a12(完全符合三阶行列式)

知道了用行列式的定义来解题之后,我们接下来就来做一道实际例题:

三阶行列式的计算方法,三阶行列式的计算方法按行展开(三阶行列式计算方法对角线法则)

如图所示,这道题目作为例题来讲正好。

首先,肯定是根据行列式定义来计算,一般来说这是不会错误的。

三阶行列式的计算方法,三阶行列式的计算方法按行展开(三阶行列式计算方法对角线法则)

这就是根据行列式定义进行计算,最终得到结果。

那么除了根据行列式定义计算外,我们还有其他方法吗,答案是当然有其他方法。

用逐行相加的方法,便是将后面几行中的未知数都给消掉。

三阶行列式的计算方法,三阶行列式的计算方法按行展开(三阶行列式计算方法对角线法则)

也能够得到结果。

总的来说,当我们遇到直接求行列式这类题目的时候,不要害怕,如果能根据定义做,那最好,若不能根据定义做,那么我们就用一些性质,让它变成特殊的行列式来解决。

我先列出一部分行列式的性质,关于用行列式的性质来解答题目的方法,我后面再写。

性质:1、行列式A中某行(或列)用同一数k乘,其结果等于kA。

2、行列式A等于其转置行列式A^T。(A^T的第i行是A的第j列)。

3、行列式A的某行/列的所有元素同乘k,等于用k乘该行列式。

4、行列式A中两行/列互换,行列式为-A

5、把行列式A的某行/列中各元素同乘一个数后加到另一行/列各对应元素,结果仍为A 。

6、如果行列式A有一行/列的元素全为零,则A=0。

7、如果行列式A有两行/列的元素对应成比例,则A=0。

如果还有其他性质我没提到的,欢迎大家在评论区提一下。

2、中学生线性代数4——解方程到行列式

我们在前三讲中主要讲了如下内容:

向量:就是一组量,水平排列就是行向量,竖直排列就是列向量。

我们规定了向量的内积或者数积:就是向量对位的乘积和。以此我们可以刻画向量的模,就是相同向量的内积再开根号。而向量的指向通过射影的概念,用两个向量的内积比两个向量的模来加以反映。两个向量的平行与正交也进行了定义。

矩阵:就是以列向量水平排列的行向量,反之也行。我们定义了幺阵,定义了矩阵的转置,矩阵的加减乘法,定义了矩阵的转置与矩阵的逆,这就建立了矩阵的基本运算规则。

对于向量,可以有平行关系,一般来说关系可以有相关与无关,相关的意思是:如果n个向量,其中一个向量可以用另外的向量线性组合表达出来,这n组向量就是相关的,反之是无关的。

N维空间就是指,给定n个相互独立的向量,其线性组合形成的所有向量构成一个n维向量集合,空间上可以定义向量的运算。这n个独立的向量叫做该空间的基底,空间是基底扩张形成的集合。

n维向量空间的基底如果相互正交,则表达线性空间的向量会比较方便,这涉及矩阵的正交化问题,我们后续会讲如何做。

注意到我们所涉及的内容大部分是从几何出发引申出来的,长度与方向已经有了很好的表达,但面积体积这样的概念却并没有包含在内。这涉及到向量的另外一种乘法:外积。本讲先回到线性代数的起点:解线性方程,我们讲行列式,行列式可以看成方形矩阵的自运算,用于实现矩阵值的量,国外多用determination这词来表达其与矩阵的关系。

二阶与三阶行列式

定义:矩阵的行列式对应着一个方矩阵的值,设A是个n元矩阵,

就是这个矩阵的行列式值。下面我们将利用矩阵与行列式的概念重新看看一次方程的解。

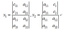
二元一次方程组可以写成

三阶行列式的计算方法,三阶行列式的计算方法按行展开(三阶行列式计算方法对角线法则)

并叫这个式子是二阶行列式的话,那么方程的解可以写成:

三阶行列式的计算方法,三阶行列式的计算方法按行展开(三阶行列式计算方法对角线法则)

方程组有解的条件也变为

三阶行列式的计算方法,三阶行列式的计算方法按行展开(三阶行列式计算方法对角线法则)

上面的做法没有特别的新意思,就是把代数运算整理成了一规整的的形式。

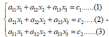
类似地对三元一次方程组

三阶行列式的计算方法,三阶行列式的计算方法按行展开(三阶行列式计算方法对角线法则)

来说解方程的过程如下,我们先不要怕麻烦,要通过代数运算找出规律来。

三阶行列式的计算方法,三阶行列式的计算方法按行展开(三阶行列式计算方法对角线法则)

三阶行列式的计算方法,三阶行列式的计算方法按行展开(三阶行列式计算方法对角线法则)

方程有解的条件为:

三阶行列式的计算方法,三阶行列式的计算方法按行展开(三阶行列式计算方法对角线法则)

注意到

三阶行列式的计算方法,三阶行列式的计算方法按行展开(三阶行列式计算方法对角线法则)

三阶行列式的计算方法,三阶行列式的计算方法按行展开(三阶行列式计算方法对角线法则)

三阶行列式的计算方法,三阶行列式的计算方法按行展开(三阶行列式计算方法对角线法则)

也是非常规整的。

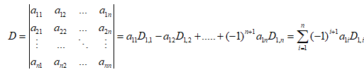
一般行列式的定义

矩阵的行列式对应着一个方矩阵的值,设A是个n元矩阵,det(A)就是这个矩阵的行列式值。

三阶行列式的计算方法,三阶行列式的计算方法按行展开(三阶行列式计算方法对角线法则)

其中:

三阶行列式的计算方法,三阶行列式的计算方法按行展开(三阶行列式计算方法对角线法则)

我们已经知道二阶,三阶行列式的计算方法了。四阶行列式的算法可以写成:

三阶行列式的计算方法,三阶行列式的计算方法按行展开(三阶行列式计算方法对角线法则)

上式中D代表n阶行列式,Dij代表删去i行j列后剩下的n-1阶行列式,也叫余子式.

三阶行列式的计算方法,三阶行列式的计算方法按行展开(三阶行列式计算方法对角线法则)

我们可以对n阶行列式做递归定义:即由n-1阶行列式描述n阶行列式

三阶行列式的计算方法,三阶行列式的计算方法按行展开(三阶行列式计算方法对角线法则)

对二三阶行列式而言有

三阶行列式的计算方法,三阶行列式的计算方法按行展开(三阶行列式计算方法对角线法则)

即任意的两行或者两列相互置换所得新的行列式差一个负号。下面我们来论证对于任意阶的行列式都有这样的性质。

三阶行列式的计算方法,三阶行列式的计算方法按行展开(三阶行列式计算方法对角线法则)

令Dij,12表示一个行列式中删去,i,j行,1,2列后剩余的行列式。

实际操作时,可以有两种方式获得Dij,12

<1>.对Di,1删掉其中对应于D的j行与2列

<2>. Dj,2删掉对应于D的i行与1列

三阶行列式的计算方法,三阶行列式的计算方法按行展开(三阶行列式计算方法对角线法则)

三阶行列式的计算方法,三阶行列式的计算方法按行展开(三阶行列式计算方法对角线法则)

将上面的1或者2用任意小于n的整数k加以替换,推导依然正确,再考虑到

三阶行列式的计算方法,三阶行列式的计算方法按行展开(三阶行列式计算方法对角线法则)

推论1

行列式D中任意两列或者任意两行的交换后得到的新行列式是原来行列式的相反数,也就是说做行或者列交换,行列式值变号。

证明:列1<->i,1<->j,j<->1

则1复原,i,j交换,依次考虑计算D的过程,三种情况D的符号变了3次,所以D变号。

推论2

如果行列式中两行或者两列相同,则行列式的值为0。

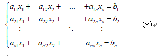
对下面的n元方程

三阶行列式的计算方法,三阶行列式的计算方法按行展开(三阶行列式计算方法对角线法则)

系数矩阵可以写成

三阶行列式的计算方法,三阶行列式的计算方法按行展开(三阶行列式计算方法对角线法则)

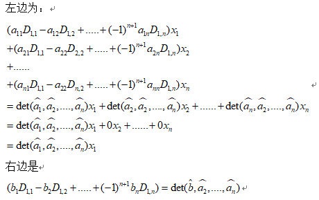
对n元方程(*)的每个方程施以运算

三阶行列式的计算方法,三阶行列式的计算方法按行展开(三阶行列式计算方法对角线法则)

三阶行列式的计算方法,三阶行列式的计算方法按行展开(三阶行列式计算方法对角线法则)

右边是

三阶行列式的计算方法,三阶行列式的计算方法按行展开(三阶行列式计算方法对角线法则)

所以n元方程有解的条件为系数行列式的值不为0,解方程的问题就变成了算行列式的问题。这就是解线性方程组的主要理论。

本文关键词:列式计算是什么,已知数列通项公式怎么求前n项和,三乘三阶行列式的计算方法,三阶行列式的计算方法代数余子式,线代三阶行列式的计算方法。这就是关于《三阶行列式的计算方法,三阶行列式的计算方法按行展开(三阶行列式计算方法对角线法则)》的所有内容,希望对您能有所帮助!

本文链接:https://bk.89qw.com/a-323831

最近发表
网站分类