手机版

百科生活 投稿

伯努利定律公式,伯努利定律(但也竟然如此重要)

百科 2026-02-08 17:51:01 投稿 阅读:3379次

关于【伯努利定律公式】:伯努利定律(伯努利定律公式),今天涌涌小编给您分享一下,如果对您有所帮助别忘了关注本站哦。

  • 内容导航:
  • 1、同样都是无理数,它没有π出名,但也竟然如此重要
  • 2、伯努利定律(伯努利定律公式)
  • 3、伯努利定律的现象及原理
  • 4、伯努利定理是什么?
  • 5、什么是伯努利定律?

1、同样都是无理数,它没有π出名,但也竟然如此重要

在数学王国中,有5个数非常重要,它们所包含的内容和所承担的作用,远远超过了数值的本身,因而比一般数字显得更为神秘,这5个数就是0、1、π、i和e。

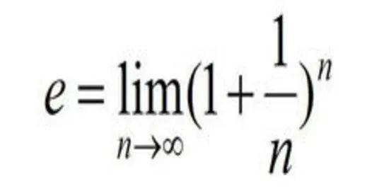
像π一样, e也是一个无理数。它的数值是e=2.718281828459…无限而不循环。

伯努利定律公式,伯努利定律(但也竟然如此重要)

在一开始,它偶然出现在计算结果里,但随着科学的发展,人们逐渐发现e的用处很多,特别是如果以它为“底”取自然对数时,可以使很多的算式得到简化,到了后来,它的应用就更加广泛了。可以说,e包罗万象!

真正把e引入到数学研究中来的是瑞士数学家雅各布·伯努利。

伯努利定律公式,伯努利定律(但也竟然如此重要)

雅各布·伯努利

1654年12月27日(这是出生时的旧历,如果按新历算应为1655年1月6日)雅各布·伯努利出生于瑞士巴塞尔的一个商人家庭。

在科学史上,伯努利这个家族可真称得上是学者云集。祖孙三代中,出了8位世界级的著名数学家。在这8人中,还兼有物理学家、天文学家和地理学家。

他们的成果包括:无限级数计算、微积分和微分方程运算的开创者,统计学概率论的开拓者、“大数定律”的创建者,在无限不确定性抉择难题中,那个令人头疼的“圣·彼得堡悖论”的提出者、流体力学“伯努利定理”的创建者,曲线研究的著名学者等。

自青少年起,雅各布就对数学和天文学产生了浓厚的兴趣。1676—1682年这6年间,为学习当时最先进的数学和科学,他游学于整个欧洲,先后跟随罗伯特·波义耳和罗伯特·胡克、克里斯蒂安·惠更斯、笛卡尔等多位大师从学,精读了弗兰斯·万·叔本华、伊萨克·巴罗和约翰·瓦利斯的论文和著作。

1687年,雅各布担任巴塞尔大学的数学教授,以后终生工作在这里。1685年,雅各布出版了逻辑学和概率学的书,1687年,又出版了一本几何学,在这部书中,他证明了任意三角形可以被两个彼此垂直的线分割成面积相等的4块。1682年和1704年,雅各布共发表了5篇关于无限数列研究的论文,1689年又发表了最重要的无限级数研究成果以及统计学中的大数定理等。

1683年在研究无限级数时,雅各布曾讨论过一个有趣的“复利”问题,竟然从结果中发现了e!

复利问题本是人们日常生活中常遇到的事,例如存入银行一笔钱,到期以后,本金加利息一并变成新的本金按原来的利息接着续存,这就叫 “复计利息”,简称“复利”。一般人可能以为,照这样存法,无限地存下去,盈利会越来越高,以致达到无穷。

伯努利定律公式,伯努利定律(但也竟然如此重要)

图源:pexls


但经雅各布计算,情况却并非如此。他把这个问题编写成一个无限级数,从中证明出,如果当初存入的钱数是1,当存的次数无限多时,盈利的总和竟然趋向一个有限的值,而这个值就是e! 1690年,伯努利把这个结果发表在他的系列论文中。

此后很多年的1731年11月25日,大数学家里昂哈德·欧拉在写给数学家克里斯蒂安·哥德巴赫的信中谈到了e这个数,并给它起了个名字,叫它“自然数”,并把它作为对数的“底”取对数,从此有了自然对数。e公开出现是1736年欧拉发表在《力学》杂志上的一篇论文里,在此以后,e开始在数学上有了自己的位置,并作为一个标准常数被引用起来。

令雅各布惊讶的是,e这个奇特的数不只出现在他所计算的“复利”中,还屡屡地出现在其他无限级数求和,例如∑(1/n)、∑(1/n的2次方)的级数求和中;此外在概率的计算中,雅各布还发现了一个无限级数求和的值是e的倒数;接着在一个被称作“帽子保管问题”的无限级数求和中,这个e值又再次出现了。

“帽子保管”问题曾是当时数学界都感兴趣的话题,由于引入了e值,使得雅各布最终把它计算出来。这个问题非常有趣,它说的是,有很多客人被邀请去参加一个聚会,每个人进屋前都要把帽子交给看门人,由他把帽子放到各自的箱子里。本来在每个箱子上都标好了客人的名字,帽子应该对号入座,但是这位看门人并不认识这些客人,他放帽子的时候就随意乱放,并没有按照名字放到该放的箱子里。

伯努利定律公式,伯努利定律(但也竟然如此重要)

图源:pexls

于是,问题就出现了,取帽子的时候,所有客人最多需要选多少次,才能把各自的帽子找出来呢?当然,第一位取帽子的人是最困难的。这也是一个级数求和的问题。当客人数趋于无限大时,在雅各布的计算结果中,惊现出了e。接着,在标准正态分布的计算中,他再次发现了e值。在雅各布数学研究的后期,他非常喜欢研究各种曲线,包括抛物线、双曲线和螺旋线等。研究双曲线函数y=1/x时,在计算曲线下所包含的面积时,又与e值相遇。

后来雅各布研究螺旋线,再一次与e不期而遇。螺旋线有5种形式,对数螺旋、阿基米德螺旋、连锁螺旋、双曲螺旋和回旋螺旋,其中对数螺旋是自然界中最普遍存在的。在研究对数螺旋线时,雅各布发现了一个非常有趣的现象,对数螺旋线的渐近线也是对数螺旋线,而在对数螺旋线各点切线的极点也构成了对数螺旋线,在一种螺旋结构中,居然蕴含着多个层次的螺旋结构,这一绝妙特点,使他惊叹不已!

对数螺旋线也深受艺术家们宠爱。英国著名画家和艺术理论家荷迦兹曾深切感到,逐渐向中心收缩的螺旋形有其难以言表的美!

螺旋线常出现在名画中或先人留下来的壁画中,它们代表了先人对整个宇宙的想象,也宣示了心中对美的感受,而主导螺旋线形体的正是e! 看来人类对螺旋线的宠爱有其内在的数学原因。

在生物学中,海螺壳的结构、向日葵种子的排序、人的指纹和发旋都呈现出螺旋的特点。

伯努利定律公式,伯努利定律(但也竟然如此重要)

海螺壳的结构

作为生命现象基础物质的蛋白质,在参与生命体的整个过程中,它的功能如此高效,其奥秘也与它的螺旋结构有关。蛋白质的多肽链条就是螺旋状的,决定遗传的物质——核酸结构也是螺旋状的,而这些螺旋结构中的奥秘都是由e在左右着。

e同样出现在物理学中,在不知不觉中掌控着自然命运的热力学第二定律中存在着e;在自然界中,从螺旋星云和螺旋星系、台风飓风的气流形,到一缕青烟袅袅上升、老鹰在空中翱翔,都有e的存在;当一首乐曲听起来很美时,仔细研究,也能从节律中找到e;乐音为人所宠爱,而“乐音”产生的空气振动也是一种螺旋尾迹;甚至人类经过漫长岁月的进化,其听觉器官内耳的结构也是螺旋状。

伯努利定律公式,伯努利定律(但也竟然如此重要)

台风飓风的气流形

似乎e包罗世界万象,无所不在。在人类所宠爱的核心中总是e在起着作用。尽管所在的处所不同,却殊途同归地都与这个自然数e挂上了钩。

1690年,在雅各布刚引入e时,他对e的估计值仅到小数点后面的第一位;到了1748年,欧拉使用这个值时,它已经精确到了小数点后的第23位;1949年,美国物理学家约翰·冯·诺依曼,利用计算机,把e计算到了小数点后第2010位;到了2010年7月5日,e向世人现出了更为清晰的面貌,到达了小数点后的第1 000 000 000 000位!有一点可以肯定,无论经过怎样的艰苦努力,人类也不可能看到它的“真值”。看来,自然界之所以不可能完全清晰地显现出它的真实面貌,其内在原因之一就蕴含在像自然数e和π这样的无理数中,这就是大自然的神秘所在!

在雅各布的一生中,他最为挚爱的就是对数螺旋线,他认为这是最具有魔力、也是最令人向往的神秘图线,他要求把这个曲线镌刻在他的墓碑上,并用拉丁语注明他的愿望:“我将变成相同的样式复现而出。”

伯努利定律公式,伯努利定律(但也竟然如此重要)

雅各布的墓碑

雅各布的“灵魂”伴随着e,隐身在他所宠爱的双曲螺旋中!

来源:《科学史上的365天》,略有删改

作者:魏凤文 武轶

编辑:张润昕

伯努利定律公式,伯努利定律(但也竟然如此重要)


转载内容仅代表作者观点

不代表中科院物理所立场

2、伯努利定律(伯努利定律公式)

伯努利定理指的是

  伯努利原理(又称伯努利定律)是流体力学中的一个定律,由瑞士流体物理学家丹尼尔·伯努利于1726年提出。
   它是水力学所采用的基本原理,即:动能+重力势能+压力势能=常数。
  其最著名的推论为:等高流动时,流速大,压力就小。
  

3、伯努利定律的现象及原理

  伯努利定律 在一个流体系统,比如气流、水流中,流速越快,流体产生的压力就越小,这就是被称为“流体力学之父”的丹尼尔·伯努利1738年发现的“伯努利定律”。
  这个压力产生的力量是巨大的,空气能够托起沉重的飞机,就是利用。

4、伯努利定理是什么?

  伯努利定理是指不可压、理想流体沿流管作定常流动时,流动速度增加,流体的静压将减小;反之,流动速度减小,流体的静压将增加。
  但是流体的静压和动压之和,称为总压始终保持不变。
  

5、什么是伯努利定律?

  在一个流体系统,比如气流、水流中,流速越快,流体产生的压力就越小,这就是被称为“流体力学之父”的丹尼尔·伯努利1738年发现的“伯努利定律”。
  这个压力产生的力量是巨大的,空气能够托起沉重的飞机,就是利用了伯努利定。

本文关键词:伯努利定理公式,伯努利定律风扇,伯努利定律的内容是什么,伯努利定理是什么意思,伯努利定理是多旋翼无人机的基本运行原理。这就是关于《伯努利定律公式,伯努利定律(但也竟然如此重要)》的所有内容,希望对您能有所帮助!

本文链接:https://bk.89qw.com/a-353904

最近发表
网站分类