手机版

百科生活 投稿

回归平方和计算公式,回归平方和(标准曲线的剩余标准偏差、判定系数的计算和方差齐性检验)

百科 2026-02-07 08:13:50 投稿 阅读:1746次

关于【回归平方和计算公式】:回归平方和(回归平方和计算公式),今天小编给您分享一下,如果对您有所帮助别忘了关注本站哦。

  • 内容导航:
  • 1、标准曲线的剩余标准偏差、判定系数的计算和方差齐性检验
  • 2、回归平方和(回归平方和计算公式)
  • 3、总偏差平方和,回归平方和 ,残差平方和这三者的关
  • 4、F检验法中 回归平方和的自由度为什么是1
  • 5、统计学中残差平方和、回归平方和的公式
  • 6、统计学里R^2表示什么

1、标准曲线的剩余标准偏差、判定系数的计算和方差齐性检验

先做个示例,有示例好说话。

回归平方和计算公式,回归平方和(标准曲线的剩余标准偏差、判定系数的计算和方差齐性检验)

先说什么叫残差:

定义地说:实际观察值与估计值(拟合值)之间的差。

直白地说:当直线拟合之后,拟合所用的数据和通过公式y=ax+b计算出来的数据之间的差距,下图显示的就是残差。

回归平方和计算公式,回归平方和(标准曲线的剩余标准偏差、判定系数的计算和方差齐性检验)

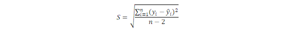
残差越小,曲线拟合程度越高,那么如何体现残差小呢?这里就用到了剩余标准偏差,即残差的标准偏差,公式如下:

回归平方和计算公式,回归平方和(标准曲线的剩余标准偏差、判定系数的计算和方差齐性检验)

既是:

(根据y=bx+a计算出的每一个y值减去原始每一个y值的差的和)的平方,(除以(参与拟合计算的数据个数-1),再开方。

公式看起来很复杂,但是Excel内置了一个函数:STEYX(y值范围,x值范围),展示如下:

回归平方和计算公式,回归平方和(标准曲线的剩余标准偏差、判定系数的计算和方差齐性检验)

一说到标准偏差,是不是就很自然地想到了X-S质控图呢?不过今天的重点不在于此,而在于如何计算,那么下面继续说一下判定系数。

说到判定系数,就不得不提三个概念:

残差平方SSE:

回归平方和计算公式,回归平方和(标准曲线的剩余标准偏差、判定系数的计算和方差齐性检验)

回归平方SSR:

回归平方和计算公式,回归平方和(标准曲线的剩余标准偏差、判定系数的计算和方差齐性检验)

离差平方SST:

回归平方和计算公式,回归平方和(标准曲线的剩余标准偏差、判定系数的计算和方差齐性检验)

同时有:

SSE=SST+SSR;

R2=SSR/SST=1-SSE/SST

到这里或许就与开始的示例有些相似了,但是还缺少方差齐性检验F值的说明,F值计算公式如下:

回归平方和计算公式,回归平方和(标准曲线的剩余标准偏差、判定系数的计算和方差齐性检验)

自由度的计算公式本例中:

分母自由度固定为1;

分子自由度为n-m-1,可以直接使用n-2。

公式都是前面提到的老朋友了,就不多说了,确定自己需要的α,分母自由度为1,分子自由度为n-2,查F值表,即可判断显著性。

附一份α=0.05的F检验表。

2、回归平方和(回归平方和计算公式)

为什么 总平方和(SST)=残差平方和(SSE)+回归平方和

  因为就是这么定义的。
   SST度量y自身的差异程度,即数据总的变动。
   SSE度量实际值与拟合值之间的差异程度,即被回归方程解释的部分。
   SSR度量因变量y的拟合值自身的差异程度,即未被回归方程解释的部分。
   在训练数据集上,R2应该是(我的理解,可。

3、总偏差平方和,回归平方和 ,残差平方和这三者的关

  求解总偏差平方和=回归平方和+残差平方和,残差平方和与总平方和的比值越小,判定系数r2的值就越大。
   第一个平方和衡量的是被解释变量(Y)波动的程度或不确定性的程度。
   第二个平方和衡量的是被解释变量(Y)不确定性程度中能被解释变量(X)解释的。

4、F检验法中 回归平方和的自由度为什么是1

  一元线性回归模型里总离差平方和的自由度是n-1,然后回归平方和的自由度是由x的个数决定的,因为一元的里面就是一个x所以自由度就是一,残差平方和就是总的离差平方和减去回归平方和的自由度就是n-2。
   用回归方程或回归线来描述变量之间的统计关。

5、统计学中残差平方和、回归平方和的公式

  残差平方和:为了明确解释变量和随机误差各产生的效应是多少,统计学上把数据点与它在回归直线上相应位置的差异 称残差,把每个残差的平方后加起来 称为残差平方和,它表示随机误差的效应. 回归平方和 总偏差平方和=回归平方和 + 残差平方和. 残差。

6、统计学里R^2表示什么

  拟合曲线的时候 最后出现了一个R^2,拟合得非常接近,R^2=0.99999,我想。统计学里R^2表示:决定系数,反应因变量的全部变异能通过回归关系被自变量解释的比例。
  如R平方为0.8,则表示回归关系可以解释因变量80%的变异。
  换句话说,如果我们能控制自变量不变,则因变量的变异程度会减少80%。
  统计学是。

本文关键词:总偏差平方和 残差平方和 回归平方和,回归平方和是指,回归平方和残差平方,回归平方和ssr,回归平方和计算公式。这就是关于《回归平方和计算公式,回归平方和(标准曲线的剩余标准偏差、判定系数的计算和方差齐性检验)》的所有内容,希望对您能有所帮助!

本文链接:https://bk.89qw.com/a-358293

最近发表
网站分类