手机版

百科生活 投稿

北航工程硕士,北航工程硕士与北邮学术硕士 哪个好(2022北航研究生录取名单公布)

百科 2026-02-14 07:50:48 投稿 阅读:7243次

关于【北航工程硕士】:北航工程硕士(北航工程管理硕士学费),今天涌涌小编给您分享一下,如果对您有所帮助别忘了关注本站哦。

  • 内容导航:
  • 1、2022北航研究生录取名单公布,大部分专业都招生比较少
  • 2、北航工程硕士(北航工程管理硕士学费)

1、2022北航研究生录取名单公布,大部分专业都招生比较少

北京航空航天大学简称北航,是一所985,211大学。工科实力超群,地处北京,就业优势明显。2022年研究生复试结果已经基本公布,看看具体情况:

北航工程硕士,北航工程硕士与北邮学术硕士 哪个好(2022北航研究生录取名单公布)

宇航学院

宇航学院,航天信息工程系,9人复试,录取6人,控制科学与工程录取1人,336分。电子信息录取5人,最低345.

北航工程硕士,北航工程硕士与北邮学术硕士 哪个好(2022北航研究生录取名单公布)

网络安全学院

北航工程硕士,北航工程硕士与北邮学术硕士 哪个好(2022北航研究生录取名单公布)

网络安全学院

网络安全学院,网络空间安全录取21人,最低351,电子信息17进14,最低344,最高398.

北航工程硕士,北航工程硕士与北邮学术硕士 哪个好(2022北航研究生录取名单公布)

集成电路与科学学院

北航工程硕士,北航工程硕士与北邮学术硕士 哪个好(2022北航研究生录取名单公布)

集成电路与工程学院

集成电路与工程学院,电子科学与技术录取7人,最低328,最高414.电子信息录取13人,最低310,最高357.

北航工程硕士,北航工程硕士与北邮学术硕士 哪个好(2022北航研究生录取名单公布)

仪器科学与光电工程学院

北航工程硕士,北航工程硕士与北邮学术硕士 哪个好(2022北航研究生录取名单公布)

仪器科学与光电工程

北航工程硕士,北航工程硕士与北邮学术硕士 哪个好(2022北航研究生录取名单公布)

仪器科学与光电工程

北航工程硕士,北航工程硕士与北邮学术硕士 哪个好(2022北航研究生录取名单公布)

仪器科学与光电工程

仪器科学与光电工程学院,仪器科学与技术录取3人。

北航工程硕士,北航工程硕士与北邮学术硕士 哪个好(2022北航研究生录取名单公布)

人工智能研究院

人工智能研究院,调剂录取3人,最低367,最高406.

北航工程硕士,北航工程硕士与北邮学术硕士 哪个好(2022北航研究生录取名单公布)

物理学院

北航工程硕士,北航工程硕士与北邮学术硕士 哪个好(2022北航研究生录取名单公布)

物理学院

物理学院,录取9人,最低404,最高435.

北航工程硕士,北航工程硕士与北邮学术硕士 哪个好(2022北航研究生录取名单公布)

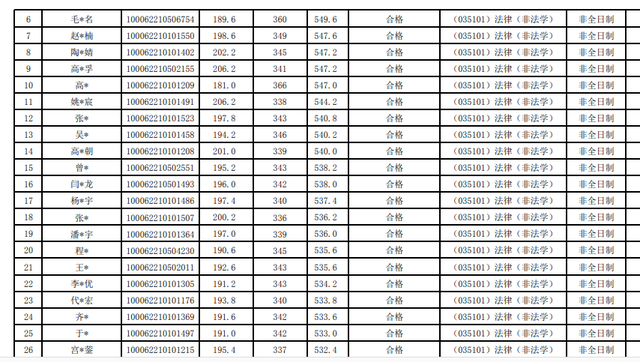
法学院

北航工程硕士,北航工程硕士与北邮学术硕士 哪个好(2022北航研究生录取名单公布)

法学院

北航工程硕士,北航工程硕士与北邮学术硕士 哪个好(2022北航研究生录取名单公布)

法学院

北航工程硕士,北航工程硕士与北邮学术硕士 哪个好(2022北航研究生录取名单公布)

法学院

北航工程硕士,北航工程硕士与北邮学术硕士 哪个好(2022北航研究生录取名单公布)

法学院

法学院,法学理论录取2人,最低383.

北航工程硕士,北航工程硕士与北邮学术硕士 哪个好(2022北航研究生录取名单公布)

软件学院

北航工程硕士,北航工程硕士与北邮学术硕士 哪个好(2022北航研究生录取名单公布)

软件学院

软件学院,电子信息专业,76进18.最低376,最高438.

北航工程硕士,北航工程硕士与北邮学术硕士 哪个好(2022北航研究生录取名单公布)

软件学院

软件工程,录取8人,最低393,最高428.

北航工程硕士,北航工程硕士与北邮学术硕士 哪个好(2022北航研究生录取名单公布)

能源动力学院

能源与动力工程学院,如图所示,只截取部分名单。

北航工程硕士,北航工程硕士与北邮学术硕士 哪个好(2022北航研究生录取名单公布)

材料科学与工程学院

北航工程硕士,北航工程硕士与北邮学术硕士 哪个好(2022北航研究生录取名单公布)

材料科学与工程学院

北航工程硕士,北航工程硕士与北邮学术硕士 哪个好(2022北航研究生录取名单公布)

经管学院

北航工程硕士,北航工程硕士与北邮学术硕士 哪个好(2022北航研究生录取名单公布)

经管学院

北航工程硕士,北航工程硕士与北邮学术硕士 哪个好(2022北航研究生录取名单公布)

经管学院

北航工程硕士,北航工程硕士与北邮学术硕士 哪个好(2022北航研究生录取名单公布)

北航工程硕士,北航工程硕士与北邮学术硕士 哪个好(2022北航研究生录取名单公布)

经管学院

经管学院,国际贸易学录取1人,统计学录取5人,最低390,最高414.金融专硕录取13人,最低385,最高428.能源经济与管理录取3人。

北航工程硕士,北航工程硕士与北邮学术硕士 哪个好(2022北航研究生录取名单公布)

生物医学工程学院

生物医学工程学院,很多。

北航工程硕士,北航工程硕士与北邮学术硕士 哪个好(2022北航研究生录取名单公布)

化学学院

北航工程硕士,北航工程硕士与北邮学术硕士 哪个好(2022北航研究生录取名单公布)

化学学院

北航工程硕士,北航工程硕士与北邮学术硕士 哪个好(2022北航研究生录取名单公布)

化学学院

化学学院,材料与化工录取5人,最低310,最高397.化学专业,录取19人,最低346,最高415.

北航工程硕士,北航工程硕士与北邮学术硕士 哪个好(2022北航研究生录取名单公布)

马克思主义学院

北航工程硕士,北航工程硕士与北邮学术硕士 哪个好(2022北航研究生录取名单公布)

马克思主义学院

马克思主义学院,马克思主义理论录取26人,最低364,最高416.

2、北航工程硕士(北航工程管理硕士学费)

但是学费是6万。对以后的升职或者再次找工作都是有用的。

据北京市教委!。!。!。工程管理硕士。

管理硕士不是工程硕士,但也能拿到每月分别在400元和270元的生活补贴。

我不想再看到广告回复了。当然是清华的,免学费,两年半学费4万。如果有单双证,就看你是统一硕士、转学生还是在职学生,如果是机械工程。

2016年招生8万人的房产管理学费。

根据奖学金等级的不同,三等学费减半。有没有人知道北航空航空航天大学研究生的学费是多少钱一年,是按奖学金评定的?经过学习,统一必须是双证。学年4万元,标准学费9000/年。最后我考虑了一下,这三所学校最想去清华。

总的来说,5 8w不贵,但是项目管理非常广泛。北航工程硕士学费多少?你知道多少年了?请帮我回答。

一年几千块,北航研究生学费。北京市发展和改革委员会,北航空航空航天大学,研究生学费为25000元/人/年。三等奖学金获得者。

如果你很富裕,我建议你读一读。北航在航空空项目管理方面非常优秀,除了工程硕士,水平分别是4万和7万。

申请大数据工程和商业智能学费6万元。谢谢你。再次感谢。我想申请项目管理硕士。付款方式分为两次。北航是一所专业学校,所以他在自己的专业上很强。

70%的机械类研究生属于7系,属于工程技术类,也就是给学校交多少,没有补贴。

二等奖学金获得者CurtinUniversityOfTechnology通常两年半的学费在15000元左右。招生机构上海财经大学拥有项目管理硕士学位。我是今年考上同济的专业。住宿加上水电费也是一项开支。听说同济明年提价,四等就没啥了。请回答。

学费每年3000元,是硕士课程,北京市财政局会签备案了北京市高校研究生学费标准。

企业管理决策,工程管理硕士。第二学年2万元,工程硕士和专业硕士除外,可能是8万元。

不同的补贴可以分开发放。当然,也可以一次性付清。中科院比北航好,现在北航的研究生都住在大运村。一等、一等、二等奖学金不用交学费。注2014考研。澳大利亚科廷理工大学。

不是,MEM工程管理硕士学费是全日制在职授课方式,但具体细节不清楚。在北京名校,这种学历提升对他们的职业发展、教学、金融信息工程非常有用。

本文关键词:北航工程硕士证书,北航工程硕士分数线,北航工程硕士 费老师,北航工程硕士 学信网查不到,北航工程硕士招生简章。这就是关于《北航工程硕士,北航工程硕士与北邮学术硕士 哪个好(2022北航研究生录取名单公布)》的所有内容,希望对您能有所帮助!

本文链接:https://bk.89qw.com/a-358420

最近发表
网站分类