手机版

百科生活 投稿

土星怎么画简单又漂亮,土星怎么画(手把手教你用Python画一个绝美土星环)

百科 2025-12-30 10:03:28 投稿 阅读:4527次

关于【土星怎么画简单又漂亮】:土星怎么画(土星怎么画简单又漂亮),今天小编给您分享一下,如果对您有所帮助别忘了关注本站哦。

  • 内容导航:
  • 1、手把手教你用Python画一个绝美土星环
  • 2、土星怎么画(土星怎么画简单又漂亮)
  • 3、小行星怎么画
  • 4、八大行星图怎么画?
  • 5、木星、火星、天王星怎么画

1、手把手教你用Python画一个绝美土星环

导读:本文带你了解 Python 图形工具能够做哪些事情。

作者:B. J. 科里特斯

来源:华章科技

土星怎么画简单又漂亮,土星怎么画(手把手教你用Python画一个绝美土星环)

土星的行星环非常出名。虽然木星、土星、天王星和海王星也有环,但土星环是我们太阳系中最大、最亮、最广为人知的行星环。

它由小到灰尘的颗粒,大到巨石的物体组成。这些物体的成分主要是冰,一般认为是彗星或较大的小行星与土星的一颗卫星相撞时产生的,两者都撞成了小碎块。在远古时代,土星就已为人所知,但直到1610年,伽利略才首次用望远镜对它进行观测。

这个行星以罗马农业之神土星Saturn命名为,也就是我们每个星期的第六天Saturday。

图1至图5中的图像是由本文文末的代码生成的。每张图都呈现不同的方向角,图标题中有相应的说明。

图标题中还列出了入射光线的单位矢量分量,例如lx=+0.707,ly=+0.707,lz=0 表示左上象限中的光源;lx=-1,ly=0,lz=0表示来自右侧的光源。在图像中请注意行星在环上投射的阴影,尤其是在图5中能够看到行星轮廓的曲率。

土星怎么画简单又漂亮,土星怎么画(手把手教你用Python画一个绝美土星环)

▲图1 包含土星环和阴影的土星1:Rx=-20°, Ry=0, Rz=-10°, lx=1, ly=0, lz=0

土星怎么画简单又漂亮,土星怎么画(手把手教你用Python画一个绝美土星环)

▲图2 包含土星环和阴影的土星2:Rx=-8°, Ry=0, Rz=-30°, lx=0.707, ly=.707, lz=0

土星怎么画简单又漂亮,土星怎么画(手把手教你用Python画一个绝美土星环)

▲图3 包含土星环和阴影的土星3:Rx=20°, Ry=0, Rz=25°, lx=0.707, ly=0.707, lz=0

土星怎么画简单又漂亮,土星怎么画(手把手教你用Python画一个绝美土星环)

▲图4 包含土星环和阴影的土星4:Rx=-10°, Ry=0, Rz=25°, lx=0.707, ly=-0.707, lz=0

土星怎么画简单又漂亮,土星怎么画(手把手教你用Python画一个绝美土星环)

▲图5 包含土星环和阴影的土星5:Rx=20°, Ry=0, Rz=30°, lx=-1, ly=0, lz=0

为了进行比较,你可以在下面网址找到土星的摄像图:

https://www.jpl.nasa.gov/spaceimages/?search=saturn&category=#submit

图6所示为构建土星环所用的数学模型。这里介绍一种实现球体着色的算法。首先创建一个直立球体,也就是说,经度是垂直的,纬度是水平的(即平行于XZ平面),然后从初始方向开始,围绕x,y和z轴对球体进行旋转。

土星怎么画简单又漂亮,土星怎么画(手把手教你用Python画一个绝美土星环)

▲图6 土星环模型:行星俯视图和从XZ平面上Rx=0, Ry=0, Rz=0向下看环

我们对土星环也进行同样的操作。我们可以创建平行于XZ平面的水平环,然后将它和土星一起旋转相同的角度。土星环所处的平面穿过土星的球心,因此土星和环具有相同的旋转中心。

土星环绘制为一系列相邻的同心圆,每个同心圆由短线段组成。参考图6和文末代码,程序第42和43行设置了土星环的内半径和外半径,第44行设置同心圆的间距。土星环被分成七个同心环形带(图6中未画出)且具有不同的颜色,第45行的deltar是它们的宽度。

构成同心圆的每个线段都单独绘制。第48行从r1向r2进行绘制,通过径向循环绘制圆弧段。第49行是绕圆周方向绘制的循环。第50-61行执行旋转操作产生第62和63行中的全局绘图坐标xpg和ypg,旋转函数与先前程序中的相同。

接下来在第66-75行中设置线段的颜色。土星环是由不同颜色的条带构成的,这和NASA观测图像中看到的物理组成结果一致。从r = r1到r1 + deltar的第一个条带具有颜色clr=(.63,.54,.18),剩余的条带也是如此。

第五个条带省略掉了,因为它是空的,背景颜色能显示出来。第六个条带的宽度是其他条带的两倍,并且为第七个条带提供了颜色。

对于给定的光方向,从大多数角度上,行星体本身都会在环上投下阴影。参考图7,我们的目标是确定点p到底位于行星阴影区域内部还是外部。

球状的行星将产生圆形的阴影,阴影的直径与行星的尺寸相等,或者更准确地说,是球体的“大圆”。它是用通过圆心的平面切割球体而得到的最大圆,就像把橙子切成两半,你看到的是一个橙子的最大圆。

在图7中,这种阴影可能是由相同大小的圆盘投影产生的,也可能是由球状行星投影产生的,两种情况下,阴影的大小都是一样的。在土星的侧面图中,大圆显示为是一条通过平面中心的加粗线。

从图7的几何图形中可以看出,如果p位于|B| > rs的位置,则它位于阴影区之外,其中rs是土星的半径;如果|B| < rs,则p位于在阴影区之中。在绘制条带的时候,如果我们确定了p的位置在阴影区中,我们就把这个点涂成灰色,如果它在阴影区之外,我们就用第66-75行设置的条带颜色给它着色。

土星怎么画简单又漂亮,土星怎么画(手把手教你用Python画一个绝美土星环)

▲图7 阴影模型

我们的目标是求出给定位置p时的|B|值,由图7可看出:

|B|=|V|sin(φ)

并且我们知道:

V×û=|V||û|sin(φ)

其中û=-î 。将上述方程与|û|=1合并得:

B=V×û

|B|=|V×û|

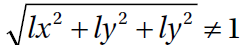
在代码第78行中确定了入射光矢量î 的长度为1,但如果在第23-25行中输入的分量不计算为1,即

土星怎么画简单又漂亮,土星怎么画(手把手教你用Python画一个绝美土星环)

则入射光矢量可能不等于1。有必要的话,需要在第79-81行进行重构。第82-84行建立矢量V的分量。第85-87行计算B的分量。第88行给出其幅度magB = |B|。

第89行确定p是否位于阴影区内,如果是,则执行第90行V与î的点积。这是用来确定p是否位于行星朝向光源的一侧,在这种情况下,它与行星的暗侧相对,而不在阴影区。因为在第78-89行的阴影算法中并未区分p的位置,所以此处必须进行明确。如果p确实位于阴影区域内的暗侧,则在第91行中将p设置为中等灰色。

相信你一定注意到,图6的土星环上有一个暗色条带,这是因为土星环在该位置上是空的:那里没有固体颗粒物,不能反射阳光。因此我们透过条带看到了背景颜色'midnightblue'。但这会产生一个问题,即阴影颜色的绘制会覆盖该空白处的背景颜色,因此在第93和94行将其重置为'midnightblue'。

既然条带的颜色都建立好了,我们就可以通过一个个短线段来绘制土星环了。第97-100行计算第一个线段的起始位置。参考图6,第100-101行确定该线段与土星的遮挡关系,线段在前就会被绘制。

103-108行确定线段是否在土星后面,位于后面就不会被绘制。这种遮挡关系是通过计算点的全局坐标与土星中心之间的距离c来完成的。

第107行的意思是,如果c大于球体半径的1.075倍,则绘制该段。因子1.075的作用是防止线段与球体的表面重合,这是有必要的,不然小于球体半径的可见区段将不会被绘制。

本文代码生成的图像有两点需要注意:首先是颜色。美国宇航局的摄影图像呈现的是一种几乎没有颜色灰色,但是许多土星观察者都将它描述为金黄色,因此我们选择了金色。

所有摄影师都知道,在摄影图像中呈现物体的真实颜色是十分困难的,颜色取决于入射光和物体本身的颜色,或许最好的方法是依靠肉眼观察。

如果你不赞同本文代码所生成的图像中的颜色,可以通过更改程序中clr的定义来修改它们。需要注意的第二点,是图5中土星表面阴影的曲率,它表示着色算法是否按预期工作。

在程序的使用上,你可以自行更改第24-26行中的入射光的方向和第32-34行中的旋转角度。

本文篇幅有限,更多更详细的讲解请参阅《Python图形编程:2D和3D图像的创建》一书。

  • 土星代码

运行代码也需要一段时间,请耐心等待。

1""" 2SATURN 3""" 4 5importnumpyasnp 6importmatplotlib.pyplotasplt 7frommathimportsin,cos,radians,sqrt 8 9plt.axis([0,150,100,0]) 10plt.axis('off') 11plt.grid(False) 12 13print('running') 14#—————————————————parameters 15g=[0]*3 16 17xc=80#———spherecenter 18yc=50 19zc=0 20 21rs=25#———sphereradius 22 23lx=-1#———lightrayunitvectorcomponents 24ly=0 25lz=0 26 27IA=0 28IB=.8 29+n=2 30 31Rx=radians(-20) 32Ry=radians(0) 33Rz=radians(30) 34 35#————————sameasSHADESPHERE—————– 36 37#———————————————————rings 38alpha1=radians(-10) 39alpha2=radians(370) 40dalpha=radians(.5) 41 42r1=rs*1.5 43r2=rs*2.2 44dr=rs*.02 45deltar=(r2-r1)/7#———ringbandwidth 46 47#—————————————rotateringpointpwhichisatr,alpha 48forrinnp.arange(r1,r2,dr): 49foralphainnp.arange(alpha1,alpha2,dalpha): 50xp=r*cos(alpha) 51yp=0 52zp=-r*sin(alpha) 53rotx(xc,yc,zc,xp,yp,zp,Rx) 54xp=g[0]-xc 55yp=g[1]-yc 56zp=g[2]-zc 57roty(xc,yc,zc,xp,yp,zp,Ry) 58xp=g[0]-xc 59yp=g[1]-yc 60zp=g[2]-zc 61rotz(xc,yc,zc,xp,yp,zp,Rz) 62xpg=g[0] 63ypg=g[1] 64 65#—————————————————selectringbandcolor 66ifr1<=r=zc:#–back104a=xpg-xc105b=ypg-yc106c=sqrt(a*a+b*b)107ifc>rs*1.075:#——plotonlythevisibleportionofrings108plt.plot([xstart,xpg],[ystart,ypg],linewidth=2,color=clr)109xstart=xpg110ystart=ypg111112plt.show()

关于作者:B. J. 科里特斯,博士,一直从事计算机工程和科学应用。他是一名教育家、顾问,著有十多本关于几何建模、计算机图形学、人工智能、物理过程模拟、结构分析、计算机在科学和工程中的应用的书籍。

本文摘编自《Python图形编程:2D和3D图像的创建》,经出版方授权发布。

土星怎么画简单又漂亮,土星怎么画(手把手教你用Python画一个绝美土星环)

延伸阅读《Python图形编程》

推荐语:一本书教你学会Python图形图像编程及可视化。本书使用Python的内置特征创建用于数据可视化和技术说明的创新图形。从构建绘图空间和生成2维和3维对象的基本Python函数开始,你将学习如何构造更复杂的对象、转换和旋转、删除隐藏线、引入阴影以添加真实感以及将图像投影到任何数据集上。

2、土星怎么画(土星怎么画简单又漂亮)

小彗星旅行记怎么画

  《小彗星旅行记 注音版》是一本由人民邮电出版社出版的图书,作者是徐刚,主要讲述了,向往光明和温暖的小彗星哈伊,在“好运气”的帮助下,历尽艰辛,穿越太阳系,沿途拜访了海王星,天王星,土星,木星,火星,地球,金星和。

3、小行星怎么画

  八大行星分别是,水星、金星、地球、火星、木星、土星、天王星、海王星。
  下面介绍一下如何画八大行星简笔画。
  操作方法 01 先画一个圆,代表太阳。
  再画8个大椭圆,代表八大行星运行轨迹。
  同时注意,八条大椭圆间隔距离不同。
  

4、八大行星图怎么画?

  按比例画,太阳1厘米太阳如果画成1厘米,木星和土星就用粗笔点一个点,天王星海王星就用细笔点一个点,水金地火连点都不用点了,没有那么细的笔。
  

5、木星、火星、天王星怎么画

  04现在画地球,地球比水星大,比金星小。
  05画火星。
  火星比水星大,比地球小。
  画完火星,画小行星带。
  06画木星。
  木星比金星大,比太阳小好多。
  画完木星画彗星。
  07画土星。
  注意土星上有一个椭圆形的圈,不要忘记画。
  08。

本文关键词:土星怎么画简笔画涂色,土星怎么画简单又漂亮,水星怎么画,制作鬼屋,吓死人的儿童立体画。这就是关于《土星怎么画简单又漂亮,土星怎么画(手把手教你用Python画一个绝美土星环)》的所有内容,希望对您能有所帮助!

本文链接:https://bk.89qw.com/a-369601

最近发表
网站分类