手机版

百科生活 投稿

向量的叉乘运算法则,向量的叉乘运算法则行列式怎么算(计算机图形中的向量)

百科 2025-10-22 04:35:37 投稿 阅读:4270次

关于【向量的叉乘运算法则】:向量的叉乘运算法则(向量的叉乘运算法则行列式怎么算),今天小编给您分享一下,如果对您有所帮助别忘了关注本站哦。

  • 内容导航:
  • 1、计算机图形中的向量
  • 2、向量的叉乘运算法则(向量的叉乘运算法则行列式怎么算)
  • 3、向量叉乘公式是什么?
  • 4、点乘和叉乘运算法则是什么?
  • 5、请问叉乘是如何运算的?
  • 6、向量叉乘运算公式

1、计算机图形中的向量

译者:刘鸿(lewis2012)审校:王玥亭(玥亭)

介绍

向量是具有大小和方向的实体。向量由分量组成。这些分量中的每一个表示沿着对应轴的位移。例如,表示为(2,3,1)的向量表示距离原点沿x轴两个单位的位移; 沿y轴有三个单位的位移; 沿着z轴的一个单位的位移。

向量之间可以进行加减运算。向量可以相乘以或除以一个标量。然而,与实数乘法不同,向量不能在它们之间相乘,但是存在两种特殊类型的向量乘法:向量点乘和向量叉乘。

在本节中,将学习计算机图形学中最常用的向量操作。将学习如何加减向量,如何乘以除以标量,如何计算向量点积和叉积。

向量

向量由N个分量组成。分量的数量决定了向量的维度。三维向量包含定义沿着x,y和z轴的三个分量。在数学上,三维向量定义为:

向量的叉乘运算法则,向量的叉乘运算法则行列式怎么算(计算机图形中的向量)

形象地,具有沿着x轴4个单位位移和沿y轴3个单位位移的二维向量u表示如下:

向量的叉乘运算法则,向量的叉乘运算法则行列式怎么算(计算机图形中的向量)

加/减运算

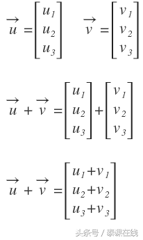
加法运算

在向量相加法中,每个向量分量被单独地添加到第二向量中对应分量。向量加法在数学上表示为:

向量的叉乘运算法则,向量的叉乘运算法则行列式怎么算(计算机图形中的向量)

例如,添加两个三维向量如下:

向量的叉乘运算法则,向量的叉乘运算法则行列式怎么算(计算机图形中的向量)

形象地,向量加法表示如下:

 向量的叉乘运算法则,向量的叉乘运算法则行列式怎么算(计算机图形中的向量)

向量的叉乘运算法则,向量的叉乘运算法则行列式怎么算(计算机图形中的向量)

减法运算

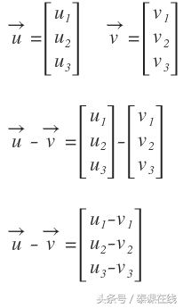
在向量减法中,向量的分量彼此相减。向量减法在数学上表示为:

向量的叉乘运算法则,向量的叉乘运算法则行列式怎么算(计算机图形中的向量)

例如,两个三维向量相减如下表示:

向量的叉乘运算法则,向量的叉乘运算法则行列式怎么算(计算机图形中的向量)

标量乘法/除法运算

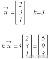
在几何上,将向量与标量相乘来修改向量的长度。将向量除以标量具有相反的效果。要将向量乘以标量,只需将每个分量乘以标量即可。注意,将向量乘以正标量仅影响其大小。然而,将向量乘以一个负标量,将会影响向量的大小也会反转向量的方向。标量乘法在数学上表示为:

向量的叉乘运算法则,向量的叉乘运算法则行列式怎么算(计算机图形中的向量)

例如,将向量缩放3倍的过程如下:

向量的叉乘运算法则,向量的叉乘运算法则行列式怎么算(计算机图形中的向量)

形象地,向量标量乘法表示如下:

向量的叉乘运算法则,向量的叉乘运算法则行列式怎么算(计算机图形中的向量)

向量乘积

与实数不同,向量不具有单个乘法运算。他们有两种不同类型的乘操作; 向量点积和向量叉积。向量点积产生标量,并且主要用于确定向量之间的角度。向量叉积产生垂直于被乘数和乘数向量的第三个向量。

向量点积

点积是计算两个向量之间的角度的向量操作。点积以两种不同的方式计算。

方式1:

向量的叉乘运算法则,向量的叉乘运算法则行列式怎么算(计算机图形中的向量)

在上面的等式中,关于向量之间的角度的信息丢失。然而,该方程的结果可以告诉我们每个向量的方向。例如,如果点积等于1,则意味着两个向量具有相同的方向。如果点积是0,则意味着两个向量彼此垂直。最后,如果点积是-1,则意味着两个向量都朝向相反方向。

方法2:

如果我们有兴趣寻找两个向量之间的角度,可以使用下面的点积方程。

向量的叉乘运算法则,向量的叉乘运算法则行列式怎么算(计算机图形中的向量)

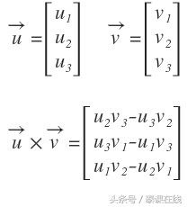
向量叉积

两个向量产生一个平面。向量叉积运算产生垂直于两个向量的向量。两个向量的叉积计算如下:

向量的叉乘运算法则,向量的叉乘运算法则行列式怎么算(计算机图形中的向量)

重要的是要记住,向量叉积只能用三维向量计算。如果向量存在于二维空间中,并且需要叉积,则向量必须转换为三维向量。

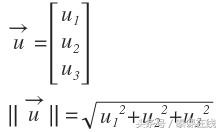
向量的大小

向量大小表示矢量的长度。向量的长度计算如下:

向量的叉乘运算法则,向量的叉乘运算法则行列式怎么算(计算机图形中的向量)

例如,向量u的大小如下:

向量的叉乘运算法则,向量的叉乘运算法则行列式怎么算(计算机图形中的向量)

形象地,向量的大小是在下面的图像中形成的三角形的斜边:

向量的叉乘运算法则,向量的叉乘运算法则行列式怎么算(计算机图形中的向量)

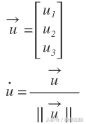
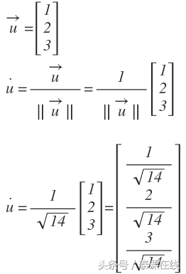
单位向量

计算机图形学中一个非常有用的概念是所谓的单位向量。单位向量是长度为一个单位的向量。将非单位向量转换为单位向量的过程称为归一化。为了归一化向量,每个分量除以向量的长度。数学上是这样的:

向量的叉乘运算法则,向量的叉乘运算法则行列式怎么算(计算机图形中的向量)

向量u的归一化如下:

向量的叉乘运算法则,向量的叉乘运算法则行列式怎么算(计算机图形中的向量)

【版权声明】

原文作者未做权利声明,视为共享知识产权进入公共领域,自动获得授权。

2、向量的叉乘运算法则(向量的叉乘运算法则行列式怎么算)

向量的叉乘运算法则

  向量叉乘如何计算 比如向量a=(1,2,3),b=(4,5,6) a叉乘b的计算过程应该是。会用行列式吗?给你一个公式: 设a=(X1,Y1,Z1),b=(X2,Y2,Z2), a×b=(Y1Z2-Y2Z1,Z1X2-Z2X1,X1Y2-X2Y1) (1,2,3)×(4,5,6)=(12-15,12-6,5-8)=(-3,6,-3)

3、向量叉乘公式是什么?

  |向量c|=|向量a×向量b|=|a||b|sin。
   向量叉乘公式原理是向量c的方向与a,b所在的平面垂直,且方向要用“右手法则”判断,用右手的四指先表示向量a的方向,然后手指朝着手心的方向摆动到向量b的方向,大拇指所指的方向就是向量c的方向。
   向量积数学。

4、点乘和叉乘运算法则是什么?

  点乘,也叫向量的内积、数量积。
  运算法则为向量a·向量b=|a||b|cos叉乘,也叫向量的外积、向量积。
  运算法则为|向量c|=|向量a×向量b|=|a||b|sin。
   运算法则 点乘 点乘,也叫向量的内积、数量积。
  顾名思义,求下来的结果是一个数。
   向量a·向量b=|a。

5、请问叉乘是如何运算的?

  为什么算出来是五倍?向量的叉乘运算法则为|向量c|=|向量a×向量b|=|a||b|sin,向量的外积不遵守乘法交换率,因为向量a×向量b=-向量b×向量a。
   点乘,也叫向量的内积、数量积。
  顾名思义,求下来的结果是一个数。
   向量a·向量b=|a||b|cos 扩展资料: 定向量的起点(A)和。

6、向量叉乘运算公式

  向量叉乘运算公式:|向量c|=|向量a×向量b|=|a||b|sin。
  叉乘也叫向量的外积、向量积。
  顾名思义,求下来的结果是一个向量,记这个向量为c。
   向量c的方向与a,b所在的平面垂直,且方向要用“右手法则”判断。
  用右手的四指先表示向量a的方向,然后手指。

本文关键词:三维向量的叉乘运算法则,向量的叉乘运算法则例题,a×b叉乘运算公式,向量的叉乘运算法则证明,向量的叉乘运算法则坐标。这就是关于《向量的叉乘运算法则,向量的叉乘运算法则行列式怎么算(计算机图形中的向量)》的所有内容,希望对您能有所帮助!

本文链接:https://bk.89qw.com/a-372426

最近发表
网站分类