手机版

百科生活 投稿

NetSarang Computer,谁能帮我了解xftp是什么吗(一文入门卷积神经网络)

百科 2026-02-06 20:56:42 投稿 阅读:4830次

关于【NetSarang Computer】:NetSarang Computer,Netsarang xshell,今天小编给您分享一下,如果对您有所帮助别忘了关注本站哦。

  • 内容导航:
  • 1、一文入门卷积神经网络:CNN通俗解析
  • 2、NetSarang Computer,Netsarang xshell
  • 3、谁能帮我了解xftp是什么吗,有什么功能
  • 4、Xshell 5.0中文破解版在哪下载,求提供一个下载地
  • 5、xftp5破解版 哪里能下载

1、一文入门卷积神经网络:CNN通俗解析

摘要:CNN基础知识介绍及TensorFlow具体实现,对于初学者或者求职者而言是一份不可多得的资料。

NetSarang Computer,谁能帮我了解xftp是什么吗(一文入门卷积神经网络)

定义:

简而言之,卷积神经网络(Convolutional Neural Networks)是一种深度学习模型或类似于人工神经网络的多层感知器,常用来分析视觉图像。卷积神经网络的创始人是着名的计算机科学家Yann LeCun,目前在Facebook工作,他是第一个通过卷积神经网络在MNIST数据集上解决手写数字问题的人。

NetSarang Computer,谁能帮我了解xftp是什么吗(一文入门卷积神经网络)

Yann LeCunn

卷积神经网络的出现是受到了生物处理过程的启发,因为神经元之间的连接模式类似于动物的视觉皮层组织。

NetSarang Computer,谁能帮我了解xftp是什么吗(一文入门卷积神经网络)

人脑的视觉结构

个体皮层神经元仅在被称为感受野的视野受限区域中对刺激作出反应,不同神经元的感受野部分重叠,使得它们能够覆盖整个视野。

NetSarang Computer,谁能帮我了解xftp是什么吗(一文入门卷积神经网络)

计算机视觉与人类视觉

正如上图所示,我们在谈论任何类型的神经网络时,都不可能不提及一点神经科学以及人体(特别是大脑)及其功能相关的知识,这些知识成为创建各种深度学习模型的主要灵感的来源。

卷积神经网络的架构:

NetSarang Computer,谁能帮我了解xftp是什么吗(一文入门卷积神经网络)

卷积神经网络架构

如上图所示,卷积神经网络架构与常规人工神经网络架构非常相似,特别是在网络的最后一层,即全连接。此外,还注意到卷积神经网络能够接受多个特征图作为输入,而不是向量。

下面让我们探索构成卷积神经网络的基本构件及相关的数学运算过程,并根据在训练过程中学到的特征和属性对图像进行可视化和分类。

输入层|Input Layer:

输入层主要是n×m×3 RGB图像,这不同于人工神经网络,人工神经网络的输入是n×1维的矢量。

NetSarang Computer,谁能帮我了解xftp是什么吗(一文入门卷积神经网络)

RGB图像

卷积层|Convolution Layer:

在卷积层中,计算输入图像的区域和滤波器的权重矩阵之间的点积,并将其结果作为该层的输出。滤波器将滑过整个图像,重复相同的点积运算。这里注意两件事:

  • 滤波器必须具有与输入图像相同数量的通道;
  • 网络越深,使用的滤波器就越多;拥有的滤波器越多,获得的边缘和特征检测就越多;

NetSarang Computer,谁能帮我了解xftp是什么吗(一文入门卷积神经网络)


前向卷积运算

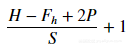
卷积层输出的尺寸:

输出宽度:

NetSarang Computer,谁能帮我了解xftp是什么吗(一文入门卷积神经网络)

输出高度:

NetSarang Computer,谁能帮我了解xftp是什么吗(一文入门卷积神经网络)

其中:

  • W :输入图像的宽度
  • H :输入图像的高度
  • Fw :滤波器或内核的宽度
  • Fh :滤波器的高度
  • P :填充
  • S :移动步幅

卷积层输出的通道数等于卷积操作期间使用的滤波器的个数。

为什么选择卷积?

有时候可能会问自己,为什么要首先使用卷积操作?为什么不从一开始就展开输入图像矩阵?在这里给出答案,如果这样做,我们最终会得到大量需要训练的参数,而且大多数人都没有能够以最快的方式解决计算成本高昂任务的能力。此外,由于卷积神经网络具有的参数会更少,因此就可以避免出现过拟合现象。

池化层|Pooling Layer:

目前,有两种广泛使用的池化操作——平均池化(average pooling)和最大池化(max pooling),其中最大池化是两者中使用最多的一个操作,其效果一般要优于平均池化。池化层用于在卷积神经网络上减小特征空间维度,但不会减小深度。当使用最大池化层时,采用输入区域的最大数量,而当使用平均池化时,采用输入区域的平均值。

NetSarang Computer,谁能帮我了解xftp是什么吗(一文入门卷积神经网络)

最大池化

为什么要池化?

池化层的核心目标之一是提供空间方差,这意味着你或机器将能够将对象识别出来,即使它的外观以某种方式发生改变,更多关于池化层的内容可以查看Yann LeCunn的文章。

非线性层|Non-linearity Layer:

在非线性层中,一般使用ReLU激活函数,而不是使用传统的Sigmoid或Tan-H激活函数。对于输入图像中的每个负值,ReLU激活函数都返回0值,而对于输入图像中的每个正值,它返回相同的值(有关激活函数的更深入说明,请查看这篇文章)。

NetSarang Computer,谁能帮我了解xftp是什么吗(一文入门卷积神经网络)

ReLU激活函数

全连接层}Fully Connected Layer:

在全连接层中,我们将最后一个卷积层的输出展平,并将当前层的每个节点与下一层的另一个节点连接起来。全连接层只是人工神经网络的另一种说法,如下图所示。全连接层中的操作与一般的人工神经网络中的操作完全相同:

NetSarang Computer,谁能帮我了解xftp是什么吗(一文入门卷积神经网络)

NetSarang Computer,谁能帮我了解xftp是什么吗(一文入门卷积神经网络)

卷积层展开

NetSarang Computer,谁能帮我了解xftp是什么吗(一文入门卷积神经网络)

全连接层

上面讨论的层和操作都是每个卷积神经网络的核心组件,现在已经讨论了卷积神经网络在前向传播中经历的操作,下面让我们跳转到卷积神经网络在反向传播中经历的操作。

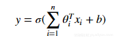
反向传播|Backpropagation:

全连接层:

在全连接层中,反向传播与任何常规人工神经网络完全相同,在反向传播中(使用梯度下降作为优化算法),使用损失函数的偏导数即损失函数关于权重的导数来更新参数,其中我们将损失函数的导数与激活输出相乘,激活输出的导数与非激活输出相乘,导数为未激活的输出与权重相对应。

数学表达式如下:

NetSarang Computer,谁能帮我了解xftp是什么吗(一文入门卷积神经网络)

NetSarang Computer,谁能帮我了解xftp是什么吗(一文入门卷积神经网络)

反向传播说明图

在计算梯度之后,我们从初始权重中减去它以得到新的优化:

NetSarang Computer,谁能帮我了解xftp是什么吗(一文入门卷积神经网络)

其中:

  • θi+ 1 :优化的权重
  • θi:初始权重
  • α :学习率
  • ∇J(θi):损失函数的梯度

NetSarang Computer,谁能帮我了解xftp是什么吗(一文入门卷积神经网络)

梯度下降

在下面的动态图中,是将梯度下降应用于线性回归的结果。从图中可以清楚地看到代价函数越小,线性模型越适合数据。

NetSarang Computer,谁能帮我了解xftp是什么吗(一文入门卷积神经网络)

梯度下降应用于线性回归

此外,请注意一点,应该谨慎地选择学习率的取值,学习率太高可能会导致梯度超过目标最小值, 学习率太低可能导致网络模型收敛速度变慢。

NetSarang Computer,谁能帮我了解xftp是什么吗(一文入门卷积神经网络)

小学习率与大学习率

在所有优化任务中,无论是在物理学、经济学还是计算机科学中,偏导数都被大量使用。偏导数主要用于计算因变量f(x, y, z)相对于其独立变量之一的变化率。例如,假设你拥有一个公司的股份,后者的股票会根据多种因素(证券、政治、销售收入等)上涨或下跌,在这种情况下通过偏导数,你会计算多少股票受到影响而其他因素保持不变,股票发生变化,则公司的价格也会发生变化。

池化层|Pooling Layer:

在最大池化特征图层中,梯度仅通过最大值反向传播,因此稍微更改它们并不会影响输出。在此过程中,我们将最大池化操作之前的最大值替换为1,并将所有非最大值设置为零,然后使用链式法则将渐变量乘以先前量以得到新的参数值。

NetSarang Computer,谁能帮我了解xftp是什么吗(一文入门卷积神经网络)

池化层反向传播

与最大池化层不同,在平均池化层中,梯度是通过所有的输入(在平均合并之前)进行传播。

卷积层|Convolution Layer:

你可能现在问自己,如果卷积层的前向传播是卷积,那么它的反向传播是什么?幸运的是,它的向后传播也是一个卷积,所以你不必担心学习新的难以掌握的数学运算。

NetSarang Computer,谁能帮我了解xftp是什么吗(一文入门卷积神经网络)

卷积层反向传播

其中:

  • ∂hij:损失函数的导数

NetSarang Computer,谁能帮我了解xftp是什么吗(一文入门卷积神经网络)

简而言之,上图表明了反向传播是如何在卷积层中起作用的。现在假设你已经对卷积神经网络有了深刻的理论理解,下面让我们用TensorFlow构建的第一个卷积神经网络吧。

TensorFlow实现卷积神经网络:

什么是Tensorflow?

NetSarang Computer,谁能帮我了解xftp是什么吗(一文入门卷积神经网络)

TensorFlow是一个使用数据流图进行数值计算的开源软件库。它最初由谷歌机器智能研究机构谷歌大脑团队开发,用于机器学习和深度神经网络的研究。

什么是张量?

张量是一个有组织的多维数组,张量的顺序是表示它所需数组的维数。

NetSarang Computer,谁能帮我了解xftp是什么吗(一文入门卷积神经网络)

张量的类型

什么是计算图?

计算图是计算代数中的一个基础处理方法,在机器学习中的神经网络和其他模型推导算法和软件包方面非常富有成效。计算图中的基本思想是表达一些模型——例如前馈神经网络,计算图作为表示计算步骤序列的一个有向图。序列中的每个步骤对应于计算图中的顶点, 每个步骤对应一个简单的操作,每个操作接受一些输入并根据其输入产生一些输出。

在下面的图示中,我们有两个输入w1 = x和w2 = y,这个输入将流经图形,其中图形中的每个节点都是数学运算,为我们提供以下输出:

  • w3 = cos(x),余弦三角函数操作
  • w4 = sin(x),正弦三角函数操作
  • w5 = w3∙w4,乘法操作
  • w6 = w1 / w2,除法操作
  • w7 = w5 + w6,加法操作

NetSarang Computer,谁能帮我了解xftp是什么吗(一文入门卷积神经网络)


现在我们了解了什么是计算图,下面让我们TensorFlow中构建自己的计算图吧。

代码:

# Import the deep learning libraryimport tensorflow as tf# Define our compuational graph W1 = tf.constant(5.0, name = "x")W2 = tf.constant(3.0, name = "y")W3 = tf.cos(W1, name = "cos")W4 = tf.sin(W2, name = "sin")W5 = tf.multiply(W3, W4, name = "mult")W6 = tf.divide(W1, W2, name = "div")W7 = tf.add(W5, W6, name = "add")# Open the sessionwith tf.Session() as sess: cos = sess.run(W3) sin = sess.run(W4) mult = sess.run(W5) div = sess.run(W6) add = sess.run(W7) # Before running TensorBoard, make sure you have generated summary data in a log directory by creating a summary writer writer = tf.summary.FileWriter("./Desktop/ComputationGraph", sess.graph) #

使用Tensorboard进行可视化:

什么是Tensorboard?

TensorBoard是一套用于检查和理解TensorFlow运行和图形的Web应用程序,这也是Google的TensorFlow比Facebook的Pytorch最大的优势之一。

NetSarang Computer,谁能帮我了解xftp是什么吗(一文入门卷积神经网络)

上面的代码在Tensorboard中进行可视化

在卷积神经网络、TensorFlow和TensorBoard有了深刻的理解,下面让我们一起构建我们的第一个使用MNIST数据集识别手写数字的卷积神经网络。

NetSarang Computer,谁能帮我了解xftp是什么吗(一文入门卷积神经网络)

MNIST数据集

我们的卷积神经网络模型将似于LeNet-5架构,由卷积层、最大池化和非线性操作层。

NetSarang Computer,谁能帮我了解xftp是什么吗(一文入门卷积神经网络)

卷积神经网络三维仿真

代码:

# Import the deep learning libraryimport tensorflow as tfimport time# Import the MNIST datasetfrom tensorflow.examples.tutorials.mnist import input_datamnist = input_data.read_data_sets("/tmp/data/", alt="NetSarang Computer,谁能帮我了解xftp是什么吗(一文入门卷积神经网络)" src="https://p3.toutiaoimg.com/pgc-image/15368227908921a0a2ffeed~tplv-tt-large.image" />

可视化卷积神经网络

NetSarang Computer,谁能帮我了解xftp是什么吗(一文入门卷积神经网络)

准确性和损失评估

结论:

卷积神经网络是一个强大的深度学习模型,应用广泛,性能优异。卷积神经网络的使用只会随着数据变大和问题变得更加复杂变得更加具有挑战性。

注意:

可以在以下位置找到本文的Jupyter笔记本:

  • https://github.com/AegeusZerium/DeepLearning/blob/master/Deep%20Learning/Demystifying%20Convolutional%20Neural%20Networks.ipynb

参考文献:

  • https://en.wikipedia.org/wiki/Convolutional_neural_network
  • https://en.wikipedia.org/wiki/Yann_LeCun
  • * http://yann.lecun.com/exdb/mnist/
  • https://opensource.com/article/17/11/intro-tensorflow
  • https://en.wikipedia.org/wiki/Tensor
  • http://www.cs.columbia.edu/~mcollins/ff2.pdf
  • https://github.com/tensorflow/tensorboard
  • http://yann.lecun.com/exdb/lenet/


作者信息

Lightning Blade,机器学习热爱者

本文由阿里云云栖社区组织翻译。

文章原标题《Demystifying Convolutional Neural Networks》,译者:海棠,审校:Uncle_LLD。

2、NetSarang Computer,Netsarang xshell

我的电脑上出现了一个“computer.”文件夹,删不掉啊!

  这是COPY的 貌似F:和G:是盘符吧
  开始--运行--CMD
  在cmd下输入
  F:
  rd computer..\ /s /q
  G:
  rd computer..\ /s /q
  这是因为使用了畸形文件名
  我可以给你一个通杀的方法
  将以下复制到记事本中,保存为“万能删除.bat”,保存类型为“所有文件”,有什么删不掉的往这个BAT上面一拖即可
  DEL /F /A /Q \\?\%1
  RD /S /Q \\?\%1

  

3、谁能帮我了解xftp是什么吗,有什么功能

  是一个基于 MSwindows平台的功能强大的SFTP、FTP文件传输软件。使用了 Xftp 以后,MS windows 用户能安全地在UNIX/Linux和 Windows PC 之间传输文件。Xftp 能同时适应初级用户和高级用户的需要。它采用了标准的 Windows 风格的向导,它简单的界面能与其他 Windows 应用程序紧密地协同工作,此外它还为高级用户提供了众多强劲地功能特性。

  同步

  它有一个同步功能,可以帮助您同步文件和文件夹、以及远程与本地文件夹的路径。 一旦你想同步远程文件夹,点击同步按钮和同步将轻松地开始。

  直接编辑

  此外,该程序有直接编辑功能,允许用户编辑远程文件与Windows记事本。 通过这种方式,您可以快速编辑文件没有下载它们。 还可以重命名,删除或创建新文件。

  多个窗格

  Xftp支持超过2窗格,每个窗格中可以有多个选项卡。 你可以传输文件到多个目的地没有经历每一个选项卡。 同时,“所有远程会话发送”功能允许您将文件发送到多个位置。

  文件交换协议支持

  File Exchange Protocol (文件交换协议)可以大大减少时间采取远程服务器之间传输文件。FXP跳过了数据从路由到本地电脑的过程,直接在两个远程FTP服务器之间传输数据。

  在单个窗口打开多个会话

  会话选项卡功能允许用户在单个Xftp窗口打开多个会话。 所有打开的会话是通过简单的会话选项卡界面之间传输和文件在不同的服务器上可以很容易地打开会话。 它不仅减少了系统资源的使用,还提供更有条理的工作环境来提高用户工作效率。

  直接编辑远程文件

  直接编辑功能允许用户直接与Windows记事本编辑远程文件。 用户可以通过节约文件下载和上传的时间编辑提高生产力。 Xftp还提供了一个选项供用户选择他们最喜欢的编辑器,而不是使用默认的Windows记事本。

  单击一个按钮启动终端会话

  Xshell与Xftp可以搭配,由NetSarang终端模拟器保证安全。 通过单击Xshell按钮,Xftp从打开的连接开始一个终端会话,而不必再通过身份验证过程。

  增加下载/上传速度

  并行传输特性允许多个连接更快的上传/下载文件。 这个特性可以增加用户的生产力,允许用户达到最大的使用带宽。即使有一个为每个网络连接下载/上传速度限制。以上就是介绍的Xftp的主要功能,更多使用技巧可以去Xmanager中文官网学习。

4、Xshell 5.0中文破解版在哪下载,求提供一个下载地

  xshell 5是一个强大的安全终端模拟软件

  Xshell 5.0中文破解版

  汉化说明

  将programfiles文件下的文件覆盖到安装目录%programfiles%\netsarang\xshell4下;
  将commonfiles文件下的文件覆盖到安装目录%programfiles%\commonfiles\netsarang下即可。
  (如果您之前安装过xshell,建议双击导入termcolors.reg,便于程序在会话属性中有个下拉选项中读取)
  ---------安装时使用以下注册信息----------------------------
  Name:任意
  Company:任意
  Serial:690313-111xxx-xx9313
  ---------------------------------------------------------------

5、xftp5破解版 哪里能下载

  软件介绍:

  xftp5破解版是一款基于MS windows平台上的使用灵活且功能强大的SFTP、FTP 文件传输软件,它可以在 UNIX/Linux 和 Windows PC 之间传输文件,使用起来非常的方便。

  所需工具:点击下载 xftp5 中文破解版

  
  

  xftp5安装破解教程

  1、在本站下载加压好安装包后,双击里面的“Xftp5.exe”,开始安装软件,点击“下一步”。

  2、安装类型选择“免费为家庭/学校”。

  3、勾选“我接受许可证协议中的条款”,点击“下一步”。

  4、选择安装目录,默认的安装目录为:C:\Program Files (x86)\NetSarang\Xftp 5。

  5、软件实际上有两种语言可,英文和中文,你可根据你自己的需求进行选择,默认为中文,点击“安装”。

  6、xftp5安装完成。

  7、打开软件,点击“帮助”-“xftp 注册”,然后将产品密钥:101210-450789-147200输入进去,即可完成破解。

  8、实际上你可以发现破解之后的软件的左上角的Free for Home/school的几样不见了,以后就可以尽情使用xftp5破解版了。

这就是关于《NetSarang Computer,谁能帮我了解xftp是什么吗(一文入门卷积神经网络)》的所有内容,希望对您能有所帮助!

本文链接:https://bk.89qw.com/a-379493

最近发表
网站分类