手机版

百科生活 投稿

绿矾的化学式,胆矾的化学式(有机化学期末考试试卷)

百科 2026-04-04 09:19:21 投稿 阅读:7593次

关于【绿矾的化学式】:绿矾的化学式(蓝矾的化学式怎么写),今天小编给您分享一下,如果对您有所帮助别忘了关注本站哦。

  • 内容导航:
  • 1、绿矾的化学式(蓝矾的化学式怎么写)
  • 2、有机化学期末考试试卷

1、绿矾的化学式(蓝矾的化学式怎么写)

绿矾的化学式(蓝矾的化学式怎么写)绿矾的化学式(蓝矾的化学式怎么写)

高中化学:经常把基础知识点,拿个小本子记下来!

多查查初高中知识,关注我,每天更新!

常见物质的组成和结构

普通分子(或物质)的形状和键角

(1)形状:

第五类:H2S H2O

类型:CO2、CS2、C2H2

三角型:SO3 BF3

三角形:NH3

四面体型:CH4、四氯化碳、白磷、NH4+

平面结构:C2H4,C6H6

(2)关键角度:

H2O:104.5;

BF3,C2H4,C6H6,石墨:120

白磷:60

NH3:107 18′

CH4,四氯化碳,NH4+,钻石:109 28 '

CO2、CS2、C2H2:180

普通粒子的饱和结构

①氦结构粒子(2): H-、He、Li+、Be2+;

②具有氖结构的粒子(2,8):N3-、O2-、F-、Ne、Na+、Mg2+、Al3+;

③氩结构的粒子(2,8,8): S2-、氯-、氩、钾离子、钙离子;

④具有10个核外电子的粒子:

阳离子:Na+、Mg2+、Al3+、NH4+、H3o+;

阴离子:N3-、O2-、F-、OH-、NH2-;

分子:氖、铪、H2O、氨、甲烷

⑤具有18个核外电子的粒子:

阳离子:钾离子、钙离子;

阴离子:P3-、S2-、HS-、Cl-;

分子:Ar、HCl、H2S、PH3、SiH4、F2、H2O2、C2H6、CH3OH、N2H4。

某些物质的组成特征:

(1)不含金属元素的离子化合物:铵盐

(2)含金属元素的阴离子:MnO4 -、AlO2 -、Cr2O72 -。

(3)只含阳离子而不含阴离子的材料:金属晶体。

常见物质的颜色

1.有色气体:F2(浅黄绿色)、Cl2(黄绿色)、O3(浅蓝色)

2.其他有色单质:Br2(深红色液体)、I2(紫黑色固体)、S(浅黄色固体)、Cu(紫红色固体)、Au(金黄色固体)、P(白磷为白色固体,红磷为红红色固体)、Si(灰黑色晶体)、C(黑色粉末)

3.无色气体单质:N2、O2、H2、稀有气体单质

4.有色气体化合物:NO2

5.黄色固体:S、FeS2(愚人金、金黄色)、Na2O2、Ag3PO4、AgBr、AgI

6.黑色固体:氧化铁、四氧化三铁、二氧化锰、碳、硫化铜、硫化铅、氧化铜(最常见的黑色粉末是二氧化锰和碳)

7.红色固体:Fe(OH)3、Fe2O3、Cu2O、Cu

8.蓝色固体:五水硫酸铜(胆结石或青石)化学式:

9.绿色固体:七水硫酸亚铁(绿矾)化学式:

10.紫黑色固体:高锰酸钾、碘。

1.白色沉淀:Fe2(OH)2、CaCO3、BaSO4、AgCl、BaSO3、Mg2、Al3。

12.有色离子(溶液)Cu2+(强溶液为绿色,稀溶液为蓝色)、Fe2+(浅绿色)、Fe3+(棕黄色)、MnO4 -(紫红色)、Fe(SCN)2+(血红色)

13.不溶于稀酸的白色沉淀:氯化银、硫酸钡

14.不溶于稀酸的黄色沉淀:s、AgBr、AgI

常见物质的状态

1.室温下的气体只有H2、N2、O2(O3)、F2、Cl2(稀有气体除外)。

2.室温下呈液态的简单物质:Br2,Hg

3.室温下常见的无色液体化合物:H2O H2O2

4.常见气体化合物:NH3、HX(氟、氯、溴、碘)、H2S、一氧化碳、二氧化碳、一氧化氮、二氧化氮、二氧化硫

5.有机物中气态烃CXHY(x≤4);在室温下,含氧有机化合物中只有甲醛(HCHO)为气态,卤代烃中的氯甲烷和氯乙烷为气态。

6.常见的固体单质:I2、S、P、C、Si、金属单质;

7.白色胶体沉淀[氢氧化铝,H4SiO4]]

常见物质的气味

1.臭鸡蛋味的气体:H2S

2.有刺激性气味的气体:氯气、二氧化硫、二氧化氮、HX、氨气

3.有刺鼻气味的液体:浓盐酸、浓硝酸、浓氨水、氯水、溴水。

4.许多有机物质都有气味(如苯、汽油、酒精、醛、羧酸、酯等。)

化学基本守恒关系

质量守恒:

(1)在任何化学反应中,参与反应的每种物质的质量总和必须等于生成的每种物质的质量总和。

②任何化学反应前后,元素的种类和原子的数量都不能改变。

价态守恒:

①在任何化合物中,正负化合价的代数和必须等于0。

②在任何氧化还原反应中,价态增加和减少的总数必须相等。

电子守恒:

①在任何氧化还原反应中,获得和失去的电子总数必须相等。

②在原电池和电解池的串联电路中,通过每个电极的电量必须相等(即每个电极获得和损失的电子数必须相等)。

能量守恒:

当任何化学反应在绝热环境中进行时,反应前后系统的总能量必须相等。

反应释放(或吸收)的能量=产物总能量-反应物总能量

(负的是放热反应,规则的是吸热反应)

电荷守恒:

①任何电解质溶液中阳离子的正电荷总数必须等于阴离子的负电荷总数。

②在任何离子方程式中,等号两边的正负电荷在数值和符号上都是相等的。

化学硕士

2、有机化学期末考试试卷

一、 命名法命名下列化合物或写出结构式(每小题1分,共10分)

1.

绿矾的化学式,胆矾的化学式(有机化学期末考试试卷)

2.

绿矾的化学式,胆矾的化学式(有机化学期末考试试卷)

3.

绿矾的化学式,胆矾的化学式(有机化学期末考试试卷)

4.

绿矾的化学式,胆矾的化学式(有机化学期末考试试卷)

5.

绿矾的化学式,胆矾的化学式(有机化学期末考试试卷)

6.

邻苯二甲酸二甲酯

7. 2-甲基-1,3,5-己三烯

8. 间甲基苯酚

9. 2,4–二甲基–2–戊烯

10. 环氧乙烷

二、 选择题(20分,每小题2分)

1.下列正碳离子最稳定的是( )

绿矾的化学式,胆矾的化学式(有机化学期末考试试卷)

2.下列不是间位定位基的是( )

绿矾的化学式,胆矾的化学式(有机化学期末考试试卷)

3.下列卤代烃与硝酸银的乙醇溶液作用,生成沉淀最快的是( )

绿矾的化学式,胆矾的化学式(有机化学期末考试试卷)

绿矾的化学式,胆矾的化学式(有机化学期末考试试卷)

绿矾的化学式,胆矾的化学式(有机化学期末考试试卷)

A B C

4.不与苯酚反应的是( )

A、Na B、NaHCO3

C、FeCl3 D、Br2

5. 发生SN2反应的相对速度最快的是( )

绿矾的化学式,胆矾的化学式(有机化学期末考试试卷)

6.下列哪种物质不能用来去除乙醚中的过氧化物( )

A. KI B 硫酸亚铁 C 亚硫酸钠 D 双氧水

7.以下几种化合物哪种的酸性最强( )

A 乙醇 B 水 C 碳酸 D 苯酚

8. SN1反应的特征是:(Ⅰ)生成正碳离子中间体;(Ⅱ)立体化学发生构型翻转;(Ⅲ)反应速率受反应物浓度和亲核试剂浓度的影响;(Ⅳ)反应产物为外消旋混合物( )

A. I、II B. III、IV C. I、IV D. II、IV

绿矾的化学式,胆矾的化学式(有机化学期末考试试卷)

三、 判断题(每题1分,共6分)

1、 由于烯烃具有不饱和键,其中π键容易断裂,表现出活泼的化学性质,因此其要比相应烷烃性质活泼。 ( )

2、 只要含有α氢的醛或者酮均能够发生碘仿反应。( )

3、 脂环烃中三元环张力很大,比较容易断裂,容易发生化学反应,通常比其他大环活泼些。( )

4、 醛酮化学性质比较活泼,都能被氧化剂氧化成相应的羧酸。( )

5、 环己烷通常稳定的构象是船式构象。( )

6、 凡是能与它的镜象重合的分子,就不是手性分子,就没有旋光性。( )

四、 鉴别与推断题(20分,每题10分)

1.苯酚,1-己炔,2-己炔,2-甲基戊烷,苄基溴

2. 分子式为C6H12O的A,能与苯肼作用但不发生银镜反应。A经催化得分子式为C6H14O的B,B与浓硫酸共热得C(C6H12)。C经臭氧化并水解得D与E。D能发生银镜反应,但是不起碘仿反应,而E则可发生碘仿反应而无银镜反应。写出A→E的结构式。

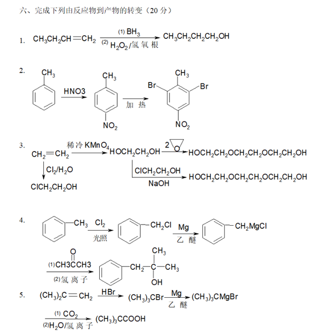
五、写出下列反应的主要产物(20分,每小题2分)

绿矾的化学式,胆矾的化学式(有机化学期末考试试卷)

绿矾的化学式,胆矾的化学式(有机化学期末考试试卷)

A卷参考答案及评分标准

特别说明:鉴于以下原因,只要给出合理答案即可给分,(1)命名可采用俗名、商品名、中文名、英文名、系统名等,结构可采用分子式、键线式、电子式、纽曼投影式、Fisher投影式等;(2)对合成同一个目标化合物来说,通常可以有多种反应原料、反应条件、反应步骤达到同样的结果,不同的路线对于生产和科研来说重要性很大,但是对于本科基础教学来说不做要求;(3)化合物鉴别方案可以依据其物理化学性质不同而可以采用多种分析测试手段,不同方案之间存有难易之分。

绿矾的化学式,胆矾的化学式(有机化学期末考试试卷)

四、鉴别题(20分,各10分)

1. (10分,各2分)加入银氨配离子,白色沉淀为1-己炔,黄色沉淀为苄基溴,加入三氯化铁溶液显色的为苯酚,加入溴水褪色的为2-己炔,没反应的为2-甲基戊烷

绿矾的化学式,胆矾的化学式(有机化学期末考试试卷)

五、写出下列反应的主要产物(20分)

绿矾的化学式,胆矾的化学式(有机化学期末考试试卷)

绿矾的化学式,胆矾的化学式(有机化学期末考试试卷)

绿矾的化学式,胆矾的化学式(有机化学期末考试试卷)

本文关键词:蓝矾的化学式怎么读,绿矾的化学式是什么,明矾的化学式,明矾胆矾绿矾的化学式,胆矾的化学式是盐吗。这就是关于《绿矾的化学式,胆矾的化学式(有机化学期末考试试卷)》的所有内容,希望对您能有所帮助!

本文链接:https://bk.89qw.com/a-382928

最近发表
网站分类