手机版

百科生活 投稿

分数导数求导公式,分数求导数的公式(高数求导积分公式)

百科 2026-02-08 03:23:41 投稿 阅读:5840次

关于【分数导数求导公式】:分数求导数的公式(分数求导数的公式上导下不导),今天小编给您分享一下,如果对您有所帮助别忘了关注本站哦。

  • 内容导航:
  • 1、高数求导积分公式
  • 2、分数导数求导公式:分数求导数的公式(分数求导数的公式上导下不导)
  • 3、分数的导数怎么表示
  • 4、分数的导数公式是什么?
  • 5、分数的求导公式

1、高数求导积分公式

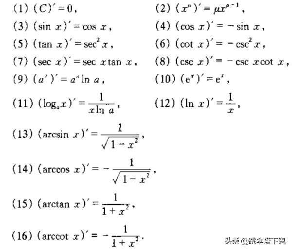
1、求导公式

分数导数求导公式,分数求导数的公式(高数求导积分公式)

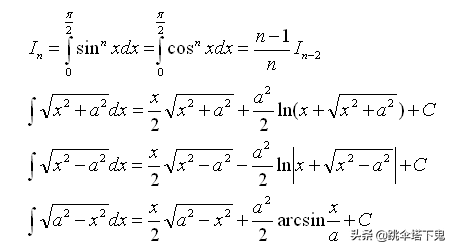
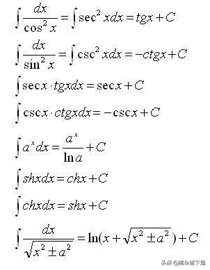
2、积分公式

分数导数求导公式,分数求导数的公式(高数求导积分公式)

分数导数求导公式,分数求导数的公式(高数求导积分公式)

分数导数求导公式,分数求导数的公式(高数求导积分公式)

2、分数导数求导公式:分数求导数的公式(分数求导数的公式上导下不导)

分数的导数怎么求,分数怎么求导

  分数的导数的求法: 。
   函数商的求导法则:[f(x)/g(x)]'=[f'(x)g(x)-f(x)g'(x)]/[g(x)]^2。
   导数是微积分中的重要基础概念。
  当函数y=f(x)的自变量x在一点x0上产生一个增量Δx时,函数输出值的增量Δy与自变量增量Δx的比值在Δx趋于0时的极限a如果。

3、分数的导数怎么表示

  dy/dx是用微分的形式表示导数的方法 dy表示对y的微分 dx表示对x的微分 导数的定义就是两个微分的商,这个写法完全没有问题 dy/dx=dy/du*du/dx 这个是复合求导法则 成立的前提是y=f(u),u=f(x)都是可导函数,具体可以见任意微积分教材 都有详细证明

4、分数的导数公式是什么?

  分数的导数公式为(U/V)'=(U'V-UV')/(V^2),导数是函数的局部性质,一个函数在某一点的导数描述了这个函数在这一点附近的变化率,导数是微积分中的重要基础概念。
   当函数y=f(来x)的自变量x在一点x0上产生一个增量Δx时,函数输出值的增量Δy与自。

5、分数的求导公式

  求救商的求导公式:(u/v)/ = (u'v-uv')/v^2

本文关键词:高中数学因式分解公式,高一数学三角函数公式,复合分数求导数的公式,初三待定系数法求函数解析式,常用导数公式表。这就是关于《分数导数求导公式,分数求导数的公式(高数求导积分公式)》的所有内容,希望对您能有所帮助!

本文链接:https://bk.89qw.com/a-400837

最近发表
网站分类