手机版

百科生活 投稿

聚氨酯是什么材料,聚氨酯是什么东西(炙手可热的复合材料:聚氨酯)

百科 2026-02-04 21:33:31 投稿 阅读:4858次

关于【聚氨酯是什么材料】:聚氨酯是什么(聚氨酯是什么东西),今天小编给您分享一下,如果对您有所帮助别忘了关注本站哦。

  • 内容导航:
  • 1、「元素家族——连载41」炙手可热的复合材料:聚氨酯
  • 2、聚氨酯是什么材料:聚氨酯是什么(聚氨酯是什么东西)
  • 3、聚氨脂(PU)究竟是什么?
  • 4、聚氨酯 是什么
  • 5、聚氨酯是什么材料

1、「元素家族——连载41」炙手可热的复合材料:聚氨酯

我们说到新材料,新科技,新发明,经常要提到德国,这次也不例外。

1937年,德国人奥托*拜耳(跟德国拜耳公司没关系)制取了一种聚合物,他发现这种新材料和刚刚发现的聚乙烯、聚酯等高分子材料相比,某些性能更加优异,比如它耐磨、耐温、耐酸碱、耐腐蚀,而且易于加工成各种各样的形态。由于这种聚合物中包含很多酰胺基,因此把它称为聚氨基甲酸酯,简称聚氨酯(PU)。

这种材料一经问世,立马被美国联碳、德国拜耳公司(这次是真的拜耳公司)发现商机,从20世纪60年代开始大规模生产出来,然后它的应用被不断开发,一直到现在,还不断有新的发展,堪称是最热门的复合材料之一!

聚氨酯是什么材料,聚氨酯是什么东西(炙手可热的复合材料:聚氨酯)

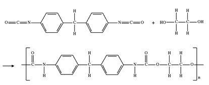
异氰酸酯(MDI)和乙二醇反应生成聚氨酯

聚氨酯是由异氰酸酯和聚醚多元醇这两种单体通过缩聚反应而生成的,其中,异氰酸酯被叫做黑料,聚醚多元醇被称为白料。通过改变黑料和白料的配比,就可以调节产品的形态和性能。

聚氨酯是什么材料,聚氨酯是什么东西(炙手可热的复合材料:聚氨酯)

黑料有毒,白料无毒,这黑白双煞就合成了聚氨酯

异氰酸酯和聚醚多元醇的反应会释放出很多二氧化碳,似乎这很让人麻烦,但是化学工程师会认为这是一个很好的机会,因为他们想办法将二氧化碳均匀释放出来,这样从宏观上就会产生比较均匀的泡沫,使最终得到的材料降低密度,让聚氨酯材料更加轻便耐用。

聚氨酯是什么材料,聚氨酯是什么东西(炙手可热的复合材料:聚氨酯)

如何将聚氨酯发泡控制的更加均匀,是一个很复杂的课题

让我们看看聚氨酯究竟在我们身边哪些地方发挥着重要的作用呢?

聚氨酯是什么材料,聚氨酯是什么东西(炙手可热的复合材料:聚氨酯)

说起床垫,大家都会想到一个词"席梦思", "席梦思"的原理是在床垫里安装弹簧,这是太初级的物理方法。化学工程师们将聚氨酯发泡以后用于生产海绵床垫,睡在这种软软的蓬松的东西上面着实让人舒服。如果现在还有谁跟你说她家是席梦思,那你可以告诉她:"你out啦!"

聚氨酯是什么材料,聚氨酯是什么东西(炙手可热的复合材料:聚氨酯)

富豪辣妹们热衷于皮草皮包,简称"皮草包"。其实真皮是有限的,为了减少对珍稀动物的杀害,化学工程师们在合成革表面涂上一层聚氨酯涂层,和真皮的表观更加接近,而且外观可以做的更加精美。真心期望富豪们不需要那么在意是真皮还是假皮,没有买卖就没有杀害。

聚氨酯是什么材料,聚氨酯是什么东西(炙手可热的复合材料:聚氨酯)

汽车的方向盘和仪表板都是用聚氨酯做的,轻便耐用

聚氨酯是什么材料,聚氨酯是什么东西(炙手可热的复合材料:聚氨酯)

将聚氨酯做成纤维,号称"氨纶",这种纤维的特点是弹性特别强,因此特别适用于做内衣和儿童衣服。这种纤维最早在20世纪50年代被美国的杜邦公司研究出来,起的名字叫Spandex,并注册商标莱卡(Lycra),因此斯潘德克斯和莱卡都是氨纶的同义词,回过头看看你的衣服里面有百分之多少的氨纶?

聚氨酯是什么材料,聚氨酯是什么东西(炙手可热的复合材料:聚氨酯)

澳大利亚游泳名将:索普,号称飞鱼,多次打破世界纪录。伴随他一起成名的还有他的战衣:鲨鱼皮,这种"鲨鱼皮"就是用氨纶来做的,由于氨纶的弹性更好,可以更加贴近皮肤,因此在水中的流体力学性能非常好,帮助运动员提高成绩。2009年,国际奥委会宣布禁止"鲨鱼皮"等高科技泳衣,"鲨鱼皮"也被称为"高科技兴奋剂",这似乎有点无厘头,你认为呢?

聚氨酯是什么材料,聚氨酯是什么东西(炙手可热的复合材料:聚氨酯)

聚氨酯还是一种被大规模使用的保温材料,家里冰箱里的隔热材料就是它

聚氨酯是什么材料,聚氨酯是什么东西(炙手可热的复合材料:聚氨酯)

聚氨酯的保温性能更多的用于外墙保温,聚氨酯、岩棉和酚醛并称三大保温材料。

2009年2月9日晚,在建的中央电视台电视文化中心(又称央视新址北配楼)发生特大火灾。火灾造成直接经济损失1.6亿元,事故后70余人受到责任追究。

2010年11月15日14时,上海余姚路胶州路一栋高层公寓起火。公寓内住着不少退休教师,至11月19日10时20分,大火已导致58人遇难。

聚氨酯是什么材料,聚氨酯是什么东西(炙手可热的复合材料:聚氨酯)

聚氨酯是什么材料,聚氨酯是什么东西(炙手可热的复合材料:聚氨酯)

这两起重大事故的起因都是因为这两栋建筑使用的保温材料是聚氨酯,聚氨酯材料不耐高温,在大火的高温下反而会燃烧,尤其是上海的高楼没有添加阻燃剂,在高温下聚氨酯甚至会分解出氰类等有害物质,就造成了更多的伤亡。

这是聚氨酯作为保温材料的弱点,当然现在研究人员正在开发出更多的方案去解决问题,比如阻燃剂,或者防火涂料等等,毕竟聚氨酯作为保温材料的成本最有优势。让我们拭目以待,看看我们的化学工作者们如何利用聚氨酯为我们的生活做出更多的新应用。

2、聚氨酯是什么材料:聚氨酯是什么(聚氨酯是什么东西)

聚氨酯是什么

  聚氨酯是什么,聚氨酯是一种新型高分子材料,由黑料已氰酸酯和白料组合聚醚混合发泡而成。
  聚氨酯从种类上分为硬泡、半硬泡、软泡。
  硬泡产品主要用于保温、隔热、防水、防腐等方面,具体使用行业有外墙、冷库、化工厂、养殖场。

3、聚氨脂(PU)究竟是什么?

  答案:聚氨酯是聚氨基甲酸酯的简称,是以异氰酸酯(A料)和聚醚多元醇(B料。聚氨脂(PU)是:全名为聚氨基甲酸酯,是一种高分子化合物,聚氨酯有聚酯型和聚醚型二大类。
  他们可制成聚氨酯塑料(以泡沫塑料为主)、聚氨酯纤维(中国称为氨纶)、聚氨酯橡胶及弹性体。
  聚氨酯主要原料包括二苯甲烷二异氰酸酯。

4、聚氨酯 是什么

  聚胺酯(英语:Polyurethane,IUPAC缩写为PUR,一般缩写为PU),是指主链中含有氨基甲酸酯特征单元的一类高分子材料。
  这种高分子材料广泛用于黏合剂,涂层,低速轮胎,垫圈,车垫等工业领域。
  在日常生活领域聚氨酯被用来制造各种。

5、聚氨酯是什么材料

  聚氨酯(英语:Polyurethane,IUPAC缩写为PUR,一般缩写为PU),是指主链中含有氨基甲酸酯特征单元的一类高分子。
  这种高分子材料广泛用于黏合剂,涂层,低速轮胎,垫圈,车垫等工业领域。
  在日常生活领域聚氨酯被用来制造各种泡沫和。

本文关键词:聚氨酯是什么材料枕头,聚氨酯是什么材料防火吗,聚氨酯是什么材料,聚氨酯是什么材料做鞋底防滑吗,聚氨酯是什么鞋底材料。这就是关于《聚氨酯是什么材料,聚氨酯是什么东西(炙手可热的复合材料:聚氨酯)》的所有内容,希望对您能有所帮助!

本文链接:https://bk.89qw.com/a-407221

最近发表
网站分类