手机版

百科生活 投稿

向量的投影公式,向量的投影公式推导(立体几何中存在性与探索性问题的向量处理)

百科 2026-02-15 17:13:18 投稿 阅读:6421次

关于【向量的投影公式】:向量的投影公式(向量的投影公式推导),今天小编给您分享一下,如果对您有所帮助别忘了关注本站哦。

  • 内容导航:
  • 1、高中数学:立体几何中存在性与探索性问题的向量处理
  • 2、向量的投影公式(向量的投影公式推导)
  • 3、高中数学投影向量公式是什么?
  • 4、投影向量的公式是什么?
  • 5、高二数学投影向量公式

1、高中数学:立体几何中存在性与探索性问题的向量处理

向量的投影公式,向量的投影公式推导(立体几何中存在性与探索性问题的向量处理)

立体几何中存在性与探索性问题是个难点,如果用向量的方法来处理则往往可使问题化难为易,加之用向量解答此类问题的方法固定,操作简单,能避开复杂的转化与逻辑推理,因此更具可行性.

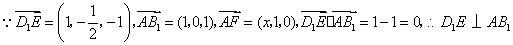
例1 在底面是菱形的四棱锥

向量的投影公式,向量的投影公式推导(立体几何中存在性与探索性问题的向量处理)

中,∠ABC=60°,PA=AC=aPB=PD=

向量的投影公式,向量的投影公式推导(立体几何中存在性与探索性问题的向量处理)

a,点EPD上,且PEED=2:1,在棱上是否存在一点,使

向量的投影公式,向量的投影公式推导(立体几何中存在性与探索性问题的向量处理)

∥平面?证明你的结论.

向量的投影公式,向量的投影公式推导(立体几何中存在性与探索性问题的向量处理)

解:以为坐标原点,直线

向量的投影公式,向量的投影公式推导(立体几何中存在性与探索性问题的向量处理)

分别为y轴、z轴,过点A垂直平面yOz的直线为x轴,建立空间直角坐标系(如图1).

由题设条件,相关各点与向量的坐标分别为

向量的投影公式,向量的投影公式推导(立体几何中存在性与探索性问题的向量处理)

向量的投影公式,向量的投影公式推导(立体几何中存在性与探索性问题的向量处理)向量的投影公式,向量的投影公式推导(立体几何中存在性与探索性问题的向量处理)

设点是棱上的点,

向量的投影公式,向量的投影公式推导(立体几何中存在性与探索性问题的向量处理)

(其中0<

向量的投影公式,向量的投影公式推导(立体几何中存在性与探索性问题的向量处理)

<1),

向量的投影公式,向量的投影公式推导(立体几何中存在性与探索性问题的向量处理)

向量的投影公式,向量的投影公式推导(立体几何中存在性与探索性问题的向量处理)

,得

向量的投影公式,向量的投影公式推导(立体几何中存在性与探索性问题的向量处理)

即当

向量的投影公式,向量的投影公式推导(立体几何中存在性与探索性问题的向量处理)

时,

向量的投影公式,向量的投影公式推导(立体几何中存在性与探索性问题的向量处理)

,亦即FPC的中点时,

向量的投影公式,向量的投影公式推导(立体几何中存在性与探索性问题的向量处理)

共面.又

向量的投影公式,向量的投影公式推导(立体几何中存在性与探索性问题的向量处理)

平面,所以当是棱的中点时,∥平面.

注:利用共面向量有关定理建立方程是动点存在性问题得以解决的关键.本题还可以求出平面的法向量n,通过

向量的投影公式,向量的投影公式推导(立体几何中存在性与探索性问题的向量处理)

nBF∥平面AEC(将线面平行转化为直线与平面的法向量垂直)时,F所在的位置,这种以“以求代证”的方法是需要掌握的.

例2 在单位正方体

向量的投影公式,向量的投影公式推导(立体几何中存在性与探索性问题的向量处理)

中,点是棱

向量的投影公式,向量的投影公式推导(立体几何中存在性与探索性问题的向量处理)

的中点,棱

向量的投影公式,向量的投影公式推导(立体几何中存在性与探索性问题的向量处理)

上是否存在一点,使得

向量的投影公式,向量的投影公式推导(立体几何中存在性与探索性问题的向量处理)

⊥平面

向量的投影公式,向量的投影公式推导(立体几何中存在性与探索性问题的向量处理)

.如存在,请确定点的位置;如不存在,请说明理由.

解:以为坐标原点,

向量的投影公式,向量的投影公式推导(立体几何中存在性与探索性问题的向量处理)

分别为

向量的投影公式,向量的投影公式推导(立体几何中存在性与探索性问题的向量处理)

轴的正方向建立空间直角坐标系,设在棱上存在且

向量的投影公式,向量的投影公式推导(立体几何中存在性与探索性问题的向量处理)

,则

向量的投影公式,向量的投影公式推导(立体几何中存在性与探索性问题的向量处理)

向量的投影公式,向量的投影公式推导(立体几何中存在性与探索性问题的向量处理)

向量的投影公式,向量的投影公式推导(立体几何中存在性与探索性问题的向量处理)

平面

向量的投影公式,向量的投影公式推导(立体几何中存在性与探索性问题的向量处理)

故有

向量的投影公式,向量的投影公式推导(立体几何中存在性与探索性问题的向量处理)

,故当F为棱CD的中点时,⊥平面.

注:利用空间向量数量积的有关性质是确定空间平行、垂直关系的一种有效方式.这种将几何问题代数化的方法真正体现了空间向量的作用.

从以上的例题可以看到,利用空间向量研究立体几何中的探索性(或存在性)问题的关键是构建向量及空间直角坐标系,然后利用空间向量的数量积、向量模的投影公式处理空间平行、垂直等位置关系问题,还可避开传统的“作———证———算”中的难点,具有较强的可操作性.

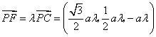
例3 如图2,已知平行六面体的底面

向量的投影公式,向量的投影公式推导(立体几何中存在性与探索性问题的向量处理)

是菱形,

向量的投影公式,向量的投影公式推导(立体几何中存在性与探索性问题的向量处理)

(1)证明

向量的投影公式,向量的投影公式推导(立体几何中存在性与探索性问题的向量处理)

(2)若

向量的投影公式,向量的投影公式推导(立体几何中存在性与探索性问题的向量处理)

,求二面角

向量的投影公式,向量的投影公式推导(立体几何中存在性与探索性问题的向量处理)

的平面角的余弦值;

(3)当

向量的投影公式,向量的投影公式推导(立体几何中存在性与探索性问题的向量处理)

的值等于多少时,能使

向量的投影公式,向量的投影公式推导(立体几何中存在性与探索性问题的向量处理)

⊥面?

向量的投影公式,向量的投影公式推导(立体几何中存在性与探索性问题的向量处理)

解:(1)略;(2)略;

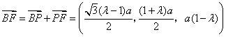
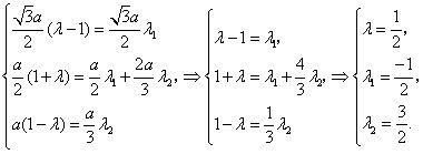
(3)不妨设

向量的投影公式,向量的投影公式推导(立体几何中存在性与探索性问题的向量处理)

⊥平面,,

向量的投影公式,向量的投影公式推导(立体几何中存在性与探索性问题的向量处理)

向量的投影公式,向量的投影公式推导(立体几何中存在性与探索性问题的向量处理)

向量的投影公式,向量的投影公式推导(立体几何中存在性与探索性问题的向量处理)

向量的投影公式,向量的投影公式推导(立体几何中存在性与探索性问题的向量处理)

注意到

向量的投影公式,向量的投影公式推导(立体几何中存在性与探索性问题的向量处理)

,可得方程

向量的投影公式,向量的投影公式推导(立体几何中存在性与探索性问题的向量处理)

,解得

向量的投影公式,向量的投影公式推导(立体几何中存在性与探索性问题的向量处理)

向量的投影公式,向量的投影公式推导(立体几何中存在性与探索性问题的向量处理)

(舍).

因此,当

向量的投影公式,向量的投影公式推导(立体几何中存在性与探索性问题的向量处理)

时能使⊥平面.

注:本题蕴涵转化思想,通过空间向量将空间中的垂直关系利用数量积转化到二次方程

向量的投影公式,向量的投影公式推导(立体几何中存在性与探索性问题的向量处理)

的正数根问题,特别是设

向量的投影公式,向量的投影公式推导(立体几何中存在性与探索性问题的向量处理)

(特殊值)的技巧值得学习!

▍ 来源:综合网络

▍ 编辑:Wordwuli

2、向量的投影公式(向量的投影公式推导)

向量投影的公式

  向量a·向量b=| a |*| b |*cosΘ(Θ为两向量夹角)。
  | a |*cosΘ叫做向量a在向量b上的投影。
  | b |*cosΘ叫做向量b在向量a上的投影。
  投影 (tóuyǐng),数学术语,指图形的影子投到一个面或一条线上。
  。

3、高中数学投影向量公式是什么?

  向量投影公式为:向量a·向量b=| a |*| b |*cosΘ (Θ为两向量夹角)。
  平面向量是在二维平面内既有方向(direction)又有大小(magnitude)的量,物理学中也称作矢量,与之相对的是只有大小、没有方向的数量(标量)。
  

4、投影向量的公式是什么?

  | a |*cosΘ叫做向量a在向量b上的投影 向量a·向量b=| a |*| b |*cosΘ(Θ为两向量夹角)| b |*cosΘ叫做向量b在向量a上的投影 投影 (tóuyǐng),数学术语,指图形的影子投到一个面或一条线上。
  

5、高二数学投影向量公式

  投影向量的计算公式:向量a·向量b=|a|*|b|*cosΘ。
  平面向量是在二维平面内既有方向又有大小的量,物理学中也称作矢量,与之相对的是只有大小、没有方向的数量。
  平面向量用a,b,c上面加一个小箭头表示,也可以用表示。

本文关键词:a在b上投影向量的公式,平面向量的投影公式,空间向量的投影公式,a向量在b向量的投影公式,向量的投影是向量还是数量。这就是关于《向量的投影公式,向量的投影公式推导(立体几何中存在性与探索性问题的向量处理)》的所有内容,希望对您能有所帮助!

本文链接:https://bk.89qw.com/a-407563

最近发表
网站分类