手机版

百科生活 投稿

ddm是什么意思,巴甫洛夫青年是什么意思(一文读懂企业的绝对估值方法及其适用性)

百科 2026-02-19 14:04:13 投稿 阅读:7447次

关于【ddm是什么意思】:巴甫洛夫青年是什么意思,今天涌涌小编给您分享一下,如果对您有所帮助别忘了关注本站哦。

  • 内容导航:
  • 1、ddm是什么意思:巴甫洛夫青年是什么意思
  • 2、一文读懂企业的绝对估值方法及其适用性

1、ddm是什么意思:巴甫洛夫青年是什么意思

  1、巴甫洛夫青年主要指的是那些长期被生活和工作打压出来的一些条件反射,是不是瞬间感觉自己也属于巴甫洛夫青年类。

  2、“巴甫洛夫青年”词最早出现于鹏程哥的视频中,由于郭仙人对这个梗进行了二次创作并演绎了出来,让众多的网友都有感同身受的感觉;

  3、随之该视频就在网络王流传开了,该视频中提到的是多种情况,就类似于“一朝被蛇咬,十年怕井绳”的一种状态。

2、一文读懂企业的绝对估值方法及其适用性

绝对估值法(Absolute Valuation)亦称贴现法,主要包括股利贴现模型(DDM)、自由现金流量贴现模型(DCF)和期权定价法等。该理论最早可以追溯到艾尔文费雪(Irving Fisher)的资本价值理论。费雪在其1906年的著作《资本与收入的性质》(The Nature of Capital and Income)中,完整地论述了收入与资本及价值的关系。他认为资本能带来一系列的未来收入,因而资本的价值实质上就是未来收入的贴现值。

ddm是什么意思,巴甫洛夫青年是什么意思(一文读懂企业的绝对估值方法及其适用性)

美国估值专家Shannon P.Pratt在其专著《企业估值》中认为:“企业权益之估价,以一种普遍公认的理论框架为基础,从理论上讲,企业权益价值取决于该部分权益的未来利益。这些未来利益应该按适当折现率贴现。”博迪投资学指出:股票每股内在价值被定义为投资者从股票上所能得到的全部现金回报,包括红利和最终售出股票的损益,是用正确反映风险调整的利率贴现所得的现值。Pratt所讲述的未来利益没有确指,可以理解为未来股利、未来自由现金流量、未来净收益,折现率表述比较模糊;博迪所述的现金回报界定为红利和最终售出股票的损益,并将折现率界定为正确反映了风险调整的利率。

估值贴现模型在理论及逻辑推理上是最为完备、最为严密的体系,在实际中被广为采纳,但是不同模型也存在各自缺陷。

一、股利贴现模型(DDM)

(1) 定义:股利贴现模型(DDM,discounted dividend mode1),认为公司的权益价值等于持有者在公司经营期内预期能得到的股息收入按合适折现率计算的现值。根据对股利增长率的不同假定,股利贴现模型可以分为零增长模型、不变(固定)增长模型、二阶段增长模型和多元增长模型。

(2)DDM估值法:

根据股利发放的不同,DDM具体可以分为以下几种:

① 零增长模型(即股利增长率为0,未来各期股利按固定数额发放)

计算公式为:V = D0 / k

其中:V为公司价值,D0为当期股利,K为投资者要求的投资回报率,或资本成本。

② 不变增长模型(即股利按照固定的增长率g增长)

计算公式为:V = D1/(k-g)

其中:D1为下一期的股利,而非当期股利。

③二段增长模型、三段增长模型、多段增长模型......

(3)DDM模型的适用性

-- DDM模型的适用分红多且稳定的公司,非周期性行业;

-- DDM模型的不适用分红很少或者不稳定公司,周期性行业;

股利贴现模型适用于经营状况稳定、有稳定的股利发放的企业,但因为股利发放因各公司股利政策的不同而不同,即使两个业绩和规模相当的企业,也可能因为股利政策的不同,经股利贴现模型计算出的价值出现很大的差别。对于我国股市中很少发放股利的公司,分红的比例与数量不具有稳定性,难以对股利增长率做出预测,或者出现亏损而暂时不能发放股利的公司,该模型不是很适用。

二、自由现金流贴现模型(DCF)

(1)自由现金流(Free Cash Flow)的定义

自由现金流是一种财务方法,用来衡量企业实际持有的能够回报股东的现金。指在不危及公司生存与发展的前提下可供分配给股东(和债权人)的最大现金额。自由现金流表示的是公司可以自由支配的现金,自由现金流在经营活动现金流的基础上考虑了资本型支出和股息支出,因此,自由现金流等于经营活动现金。如果自由现金流丰富,公司可以偿还债务、开发新产品、回购股票、增加股息支付。

(2)自由现金流的计算

自由现金流量的计算方法:“自由现金流量等于企业的税后净营业利润(即将公司不包括利息收支的营业利润扣除实付所得税税金之后的数额)加上折旧及摊销等非现金支出,再减去营运资本的追加和物业厂房设备及其他资产方面的投资。它是公司所产生的税后现金流量总额,可以提供给公司资本的所有供应者,包括债权人和股东。”自由现金流量 = (税后净营业利润 + 折旧及摊销)一(资本支出 + 营运资本增加)

(3)自由现金流的的经济意义

投资者进行投资决策的唯一标准不是企业是否具有竞争优势,而是企业的竞争优势能否为投资者的将来带来更多的现金,所以,内在价值的评估原则就是现金为王。

企业全部运营活动的现金“净产出”就形成“自由现金流”,“自由现金流”的多寡一定程度上决定一家企业的生死存亡。一家企业长期不能产出“自由现金流”,它最终将耗尽出资人提供的所有原始资本,并将走向破产。

①“自由现金流”充裕时,企业可以用“自由现金流” 偿付利息还本、分配股利或回购股票等等。

② “自由现金流”为负时,企业连利息费用都赚不回来,而只能动用尚未投入经营(含投资)活动的、剩余的出资人(股东、债权人)提供的原始资本(假定也没有以前年度“自由现金流”剩余)来偿付利息、还本、分配股利或进行股票回购等等。

③ 当剩余的出资提供的原始资本不足以偿付利息、还本、分配股利时,企业就只能靠“拆东墙补西墙”(借新债还旧债,或进行权益性再融资)来维持企业运转。当无“东墙”可拆时,企业资金链断裂,其最终结果只能寻求被购并重组或申请破产。

(4)公司自由现金流量的决策含义

自由现金流量为正:表明公司融资压力小、具发放现金股利、还旧债的能力;不一定都是正面的,隐含公司扩充过慢。自由现金流量并非越高越好,自由现金流量过高表明再投资率较低,盈余成长率较低。

自由现金流量为负:表明再投资率较高,盈余成长率较高,隐含公司扩充过快;公司融资压力大,取得现金最重要,须小心地雷股;借债困难,财务创新可能较大,可能发可转换债规避财务负担;在超额报酬率呈现正数时,负的自由现金流量才具有说服力。

[巴菲特认为,按照会计准则(GAAP)计算出来的现金流量并不能反映真实的长期自由现金流量,所有者收益才是计算自由现金流量的正确标准,二者的区别在于是否包括了企业为维护长期竞争优势地位的资本性支出。

所有者收益 = 报告收益+折旧费用+摊销费用+其他非现金费用(减值准备、递延费用等)-企业为维持长期竞争地位和单位产量而用于厂房和设备的年平均资本化开支。而根据现金流量表计算出的现金流量数值却没有减去部分。

所以,巴菲特说,现金流量表中的现金流量数值其实高估了真实的自由现金流量,他所倡导的所有者收益才是对企业长期自由现金流量的准确衡量。尽管由于年平均资本性支出只能估计,导致所有者收益计算并不精确,但大致的正确估计,远胜于精确的错误计算。]

(5)DCF模型

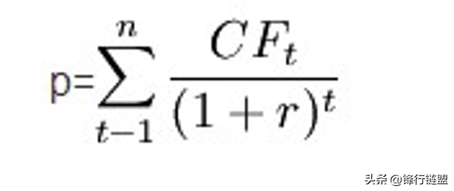
DCF估值法认为公司价值等于公司未来各年自由现金流量按照适当贴现率计算的现值之和,并由此扣除债权价值得出股权价值与股票价值。该模型假定公司面临一种相对完善的市场环境,即制度环境、经营环境是稳定的,公司持续经营,投资者具有理性一致预期等。其公式为:

ddm是什么意思,巴甫洛夫青年是什么意思(一文读懂企业的绝对估值方法及其适用性)

式中:P一企业的评估值;

n一资产(企业)的寿命;

CFt一资产 (企业)在t时刻产生的现金流;

r一反映预期现金流的折现率

DCF估值法是一种将项目或资产在生命期内将要产生的现金流折现,计算出当前价值的一种评估方法。

根据现金流界定的不同,DCF又可分为公司自由现金流贴现(FCFF)模型和权益自由现金流(FCFE)贴现模型。

(6)DCF模型的应用

DCF估值法为最严谨的对企业和股票估值的方法,原则上该模型适用于任何类型的公司。但通常更适用于项目投资、商业地产估值等,而不适用于对那些经营周期相对于经济周期变化不确定的公司的估值等。

与DDM模型不同, DCF模型更注重公司为股东创造价值的能力。显然对于较少发放股利或股利发放不稳定的公司,该模型要比DDM模型更为适用。其缺点是该模型的结果可能会受到人为的操纵(操纵自由现金流等),从而导致价值判断的失真;另外,对于暂时经营不善陷入亏损的公司,由于未来自由现金流难以预测,故该模型也不适用。

DCF估值的方法论意义大于数量结果,因为模型的参数估计困难,如果不可信的数据进入模型,只能得到不可靠的结果。虽然DCF估值的结果可能会因使用者对参数的选择、判断有所不同,但是估值的过程一致,并为使用者提供一个严谨的分析框架,系统地考虑影响公司价值的每一个因素,最终评估一个公司的投资价值。

DCF估值的方法论框架要求使用者分析一个公司的基本面时,既要考虑财务状况、产品结构、业务结构,同时也要考虑行业的发展和公司的战略,对上市公司形成全面的认识。对上市公司全面的分析是DCF估值的要义所在,具体的数量结果反而是次要的。

DCF方法理论完美,过程略显复杂。在发达国家市场中,各种数据比较完善,公司日趋成熟,DCF成为通用的估值方法。而大陆DCF方法似乎受到许多局限,一方面是基础数据缺乏,另一方面是一部分公司的持续经营能力令人怀疑。

(7)DCF模型的优缺点

优点:通过对自由现金流的折现计算,反映了公司内在价值的本质,是最重要与最合理的估值方法。比其他常用的建议评价模型涵盖更完整的评价模型,框架最严谨但相对较复杂的评价模型。需要的信息量更多,角度更全面,考虑公司发展的长期性。较为详细,预测时间较长,而且考虑较多的变数,如获利成长、资金成本等,能够提供适当思考的模型。

缺点:未来自由现金流的估计不准确,受折现率影响巨大。需要耗费较长的时间,须对公司的营运情形与产业特性有深入的了解。考量公司的未来获利、成长与风险的完整评价模型,但是其数据估算具有高度的主观性与不确定性。复杂的模型,可能因数据估算不易而无法采用,即使勉强进行估算,错误的数据套入完美的模型中,也无法得到正确的结果。小变化在输入上可能导致大变化在公司的价值上。该模型的准确性受输入值的影响很大(可作敏感性分析补救)。

三、期权定价法(Black-Scholes)

期权定价模型推算:

(1) 估算公司资源(矿藏、油田等)可开采储量;

(2) 估算资源开采的成本;估算的开采成本是资源期权的执行价格;

(3) 期权的到期时间;开采合同的开采年限;按照资源储量以及开采能力估算;

(4) 标的资产价值的方差;储量不变前提下,标的资产价值波动取决于资源价格波动;

(5) 标的资产的经营性现金流量;每年生产将减少资源的价值,提供相应的经营性现金流量;

(6) 将以上数据代入 Black-Scholes 模型计算公司资源的期权价值;

(7) 结合公司的其他资产的收益状况测算出该公司内在投资价值。

资源类公司对矿藏资源的拥有情况,是产量形成的依据,它比产量更能反映公司的价值。

大陆现行规定中,不要求资源类上市公司披露矿藏储量,因此对这类公司的估值多以产量为依据,与其他类型公司的估值方法差别不大,无法体现这类公司价值来源的特殊性。

采用期权定价模型,要求研究员不但关注产量、价格、成本等情况来判断公司的投资价值,而且深究矿藏等有关公司价值的特有信息,提升对公司的投资价值判断的准确度。

绝对估值法的优缺点:

与相对估值法相比,绝对估值法的优点在于能够较为精确地揭示公司股票的内在价值,但是如何正确地选择参数则比较困难。未来股利、现金流的预测偏差、贴现率的选择偏差,都有可能影响到估值的精确性。贴现法在实务中被大量采用,但其缺点也显而易见,且计算繁琐,存在较多主观因素,公司之间难以进行对比。

对投资管理机构而言,在财务模型的基础上进行公司估值不仅是一种重要的研究方法,而且是从业人员的一种基本技能。它可以帮助我们:

(1)将对行业和公司的认识转化为具体的投资建议;

(2)预测公司的策略及其实施对公司价值的影响;

(3)深入了解影响公司价值的各种变量之间的相互关系;

(4)判断公司的资本性交易对其价值的影响;

(5)强调发展数量化的研究能力、财务模型和对公司进行估值是我们为实现目标(即提出投资建议)所需的重要工具。

本文关键词:巴甫洛夫是什么人,巴甫洛夫的学生,巴甫洛夫青年是什么梗,巴甫洛夫青年,巴甫洛夫是哪国人。这就是关于《ddm是什么意思,巴甫洛夫青年是什么意思(一文读懂企业的绝对估值方法及其适用性)》的所有内容,希望对您能有所帮助!

本文链接:https://bk.89qw.com/a-413045

最近发表
网站分类