手机版

百科生活 财讯

定期存款利率计算,定期存款的利率是怎么算的(利息以及年金是如何计算的)

百科 2026-02-26 02:28:03 财讯 阅读:6619次

关于【定期存款利率计算】:定期存款利率 定期存款的利率是怎么算的,今天小编给您分享一下,如果对您有所帮助别忘了关注本站哦。

  • 内容导航:
  • 1、定期存款利率计算:定期存款利率 定期存款的利率是怎么算的
  • 2、利率是如何确定的?利息以及年金是如何计算的?

1、定期存款利率计算:定期存款利率 定期存款的利率是怎么算的

如何计算定期存款利率?定期存款的利率公式为:利率=利息金额/本金金额*存款时间,利息=存入银行的原始金额*存款时间*利率。关于定期存款的利率,实际上是将钱存入银行,银行在一定时间内向存款人支付定期存款的收益率。小边会给你一个简单的理解。

定期存款的利率介绍

定期存款是指银行和存款人在存款期就期限和利率达成协议并提取本息的存款。通常,最短存款期为3个月,最长存款期为5年。还有很多选择,利息收入也非常稳定。

利息算法公式是银行存款利息和贷款利息的基本计算方法,在银行的日常结算和人们的日常生活中起着关键作用,其作用将变得越来越重要。

单位和个人定期存款的利息。根据存款期限。在存款到期日,利息将与本金一起偿还。单位存款利息不需要缴纳利息税。

以上就是小编为大家分享的关于定期存款利率的具体介绍。

2、利率是如何确定的?利息以及年金是如何计算的?


利率是如何确定的?

利率,指一定期间内,利息与本金的比率。

利率的确定公式为:利率r=r*+IP+DRP+LRP+MRP;

r*为纯粹利率(pure rate of interest),也称真实无风险利率,指在没有通货膨胀、无风险情况下资金市场的平均利率。

在没有通货膨胀的情况下,一般可以将短期政府债券的利率当作纯粹利率。

IP为通货膨胀溢价(inflation premium),指为了弥补通货膨胀造成的货币购买力下降,而给予的补偿。

名义无风险利率=纯粹利率+通货膨胀溢价

DRP为违约风险溢价(default risk premium),指因存在债务人到期不能按约足额偿还本金和支付利息的风险,而给予的补偿。

债务人的违约风险越大,债权人要求的利率就越高;所以市场上,垃圾债的利率是相对较高的,因为里面包含了大量的违约风险溢价。

LRP为流动性风险溢价(liquidity risk premium),指因存在不能在短期内快速变现的风险,而给予的补偿。

MRP为期限风险溢价(maturity risk premium),指为避免市场利率上升导致债权人损失,而给予的补偿。


风险与利率是相对应的,高风险=高利率,低风险=低利率,无风险=无风险利率,所谓的风险指的就是上述四项风险。


利息是如何计算的?

利息的计算方式主要有两种:(1)单利计息;(2)复利计息;

(1)单利计息

单利计息,指在所有的计息周期内,仅以本金计息。

单利计息公式:F=P*i*n


(2)复利计息

复利计息,指每经过一个计息周期,都要将所生利息加入本金后,再合并计算新的利息,即俗称的“利滚利”。

复利计息公式:F={p*(1+i)^n}-p


tips1:p为本金;i为计息周期的利率;n为计息周期数;计息周期,指相邻两次计息的时间间隔,如按年计息、按月计息、按日计息等。

tips2:在复利计息中,计息周期越短,计息的次数就越多,最终支付的利息就会越多。

tips3:根据《中华人民共和国民法典》第670条规定,借款的利息不得预先在本金中扣除。利息预先在本金中扣除的,应当按照实际借款数额返还借款并计算利息。即:我国法律是不支持“砍头息”的。


年金是如何计算的?

年金,指等额、定期的系列收支。年金主要有四种类型:(1)普通年金;(2)预付年金;(3)递延年金;(4)永续年金。


(1)普通年金,每期期末收支的年金:

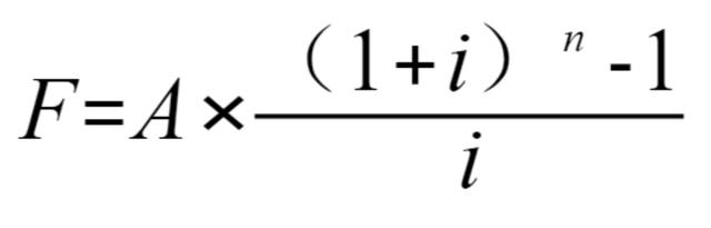
普通年金终值=年金额*普通年金终值系数

F=A*(F/A,i,n)

定期存款利率计算,定期存款的利率是怎么算的(利息以及年金是如何计算的)


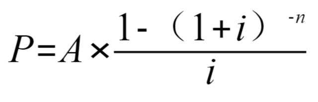
普通年金现值=年金额*普通年金现值系数

P=A*(P/A,i,n)

定期存款利率计算,定期存款的利率是怎么算的(利息以及年金是如何计算的)


(2)预付年金,每期期初收支的年金

预付年金终值=年金额*预付年金终值系数

F=A*{(F/A,i,n+1)-1}

F=A*(F/A,i,n)*(1+i)


预付年金现值=年金额*预付年金现值系数

P=A*{(P/A,i,n-1)+1}

P=A*(P/A,i,n)*(1+i)


tips1:普通年金与预付年金其实两者就相差一期,故在普通年金的计算公式基础之上,乘以(1+i),就可以得出预付年金的计算公式。


(3)递延年金,是从第m期以后收支的年金

递延年金终值:

F=A*(F/A,i,n)-A*(F/A,i,m)

递延年金现值:

P=A*(P/A,i,n)-A*(P/A,i,m)


tips1:递延年金的计算原理:先将递延年金视为n期的普通年金计算,再减去m期的普通年金。


(4)永续年金:无限期的普通年金

永续年金没有终止


永续年金现值=年金额/折现率

P=A/i


案例计算分析

某保险公司推出了一项养老金保险,每年年初向保险公司缴纳保险费6000元,连续缴纳30年,期限届满后,保险公司每年年末支付养老金10000元,直至投保人死亡。小明现在30岁,我国人均寿命为80岁,小明的期望收益率是6%。请问:

(1)该养老金保险是否值得购买?

养老金投保的现值:6000*(P/A,6%,30)*(1+6%)=87544.33元

养老金收益的现值:10000*(P/A,6%,50)-10000*(P/A,6%,30)=19970.29元

投保的现值>收益的现值

养老金保险未能达到小明的期望收益率,不值得购买。


(2)要达到小明的期望收益率,保险公司每年年末至少要支付多少养老金?

87544.33=A*(P/A,6%,50)-A*(P/A,6%,30)

A=43837.27元


大家以后买保险、买理财产品时,都可以用本文中的利息、年金计算公式,计算出相关保险、理财产品的收益率,以免一不小心就被坑了哈~

本文关键词:定期存款利率2022最新利率表计算器,定期存款利率2022哪个银行高,定期存款利率哪个银行利率最高,定期存款利率怎么算,定期存款利率会随着银行利率变动吗。这就是关于《定期存款利率计算,定期存款的利率是怎么算的(利息以及年金是如何计算的)》的所有内容,希望对您能有所帮助!

本文链接:https://bk.89qw.com/a-423138

最近发表
网站分类