手机版

百科生活 投稿

根号是什么,根号是什么时候学的(二次根式化简方法整理)

百科 2026-02-08 18:44:21 投稿 阅读:5266次

关于【根号是什么】:根号是什么,今天小编给您分享一下,如果对您有所帮助别忘了关注本站哦。

  • 内容导航:
  • 1、根号是什么
  • 2、二次根式化简方法整理,题不难,学会数学思想很重要

1、根号是什么

  根号是一个数学符号,用来表示一个数或一个代数式进行开平方运算的符号。若a的n次幂等于b。那么a是b开n次方的n次方根或ha是b的n分之一次方。开n次方手写体和印刷体用来表示:被开方的数或代数式写在符号左方√的右边和符号上方一横部分的下方共同包围在区域内,而且不能出界。

2、二次根式化简方法整理,题不难,学会数学思想很重要

同学们在数学学习中一定要掌握常用的一些数学思想,利用数学思想可以解决很多复杂的数学问题,在中考试题中常见的二次根式中的化简和运算,是初中数学的重要考点之一,今天我们通过几个例子来感受一下数学思想在解决数学题中的应用。

1、整体代入的思想

根号是什么,根号是什么时候学的(二次根式化简方法整理)

点拨:如果直接把a、b的值入到所求的式子中,计算量很大,并且很繁琐。而把待求式子根号里的部分,a的平方加上b的平方利用乘法公式变形,再将a+b和ab的值整体代入,则非常简便。

根号是什么,根号是什么时候学的(二次根式化简方法整理)

2、分类讨论的思想

根号是什么,根号是什么时候学的(二次根式化简方法整理)

点拨:先根据已知条件,得出字母a和b的几种取值,再由ab>0,可以推出a和b是同号的,从而求出a和b的值,进一步求出a+b的值。

根号是什么,根号是什么时候学的(二次根式化简方法整理)

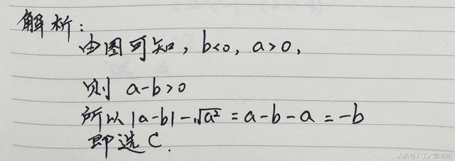
3、数学结合的思想

根号是什么,根号是什么时候学的(二次根式化简方法整理)

点拨:如果所求结果式子中出现的字母是用数轴上的点来表示的,那么我们就可以利用数轴,把数量关系直观化,确定字母的取值范围,并将所求的式子化简。

根号是什么,根号是什么时候学的(二次根式化简方法整理)

4、转化的思想

根号是什么,根号是什么时候学的(二次根式化简方法整理)

点拨:同学们在做题时,遇到不熟悉的问题可以设法把它转化为熟悉的问题,遇到复杂的问题可以设法把它转化为简单的问题,在平时的练习中,做完题后要多归纳、多总结,积累经验、解题方法和技巧。

本文关键词:根号是什么意思 计算公式,根号是什么概念,根号是什么符号,√是什么意思数学符号,根号怎么算。这就是关于《根号是什么,根号是什么时候学的(二次根式化简方法整理)》的所有内容,希望对您能有所帮助!

本文链接:https://bk.89qw.com/a-434205

最近发表
网站分类