手机版

百科生活 投稿

数学题0的性质和作用是什么,数学中关于0的说法有哪些(电机与拖动期末试题及答案)

百科 2026-02-14 20:07:05 投稿 阅读:2975次

关于【数学题0的性质和作用是什么】:数学题0的性质和作用是什么,今天小编给您分享一下,如果对您有所帮助别忘了关注本站哦。

  • 内容导航:
  • 1、数学题0的性质和作用是什么
  • 2、电机与拖动期末试题及答案

1、数学题0的性质和作用是什么

  一、性质:

  1、0既不是正数也不是负数,而是正数和负数之间的一个数。

  2、当某个数X大于0时,称为正数;反之,当X小于0时,称为负数;而这个数X等于0时,这个数就是0。

  3、 0不是奇数,是偶数 0是最小的完全平方数。

  4、 0的相反数是0,即—0=0。 0的绝对值是其本身,即,∣0∣=0。

  5、0乘任何实数都等于0,除以任何非零实数都等于0,任何实数加上0等于其本身。

  6、0没有倒数和负倒数,一个非0的数除以0在实数范围内无意义,0除以0有无穷多个解。

  7、0的正数次方等于0,0的负数次方无意义,因为0没有倒数。

  二、作用:

  1、除0外,任何数的的0次方等于1。

  2、0不能做对数的底数和真数。

  3、0在多位数中起占位作用。

  4、当0不位于其他数字之前时表示一个有效数字。

2、电机与拖动期末试题及答案

《电机与拖动》试题

及答案

直流电机

一、填空题:

1、并励直流发电机自励建压的条件是_______;_______;_______。(主磁路存在剩磁;并联在电枢两端的励磁绕组极性要正确,使励磁电流产生的补充磁通方向与剩磁磁通方向相同;励磁回路的总电阻必须小于临界电阻)

2、可用下列关系来判断直流电机的运行状态,当_______时为电动机状态,当_______时为发电机状态。 (Ea〈U;Ea〉U)

3、直流发电机的绕组常用的有_______和_______两种形式,若要产生大电流,绕组常采用_______绕组。(叠绕组;波绕组;叠)

4、直流发电机电磁转矩的方向和电枢旋转方向_______,直流电动机电磁转矩的方向和电枢旋转方向_______。 (相反;相同)

5、单迭和单波绕组,极对数均为p时,并联支路数分别是_______,_______。(2p;2)

6、直流电机的电磁转矩是由_______和_______共同作用产生的。(每极气隙磁通量;电枢电流)

7、直流电机电枢反应的定义是_______,当电刷在几何中线时,电动机产生_______性质的电枢反应,其结果使_______和_______,物理中性线朝_______方向偏移。(电枢磁动势对励磁磁动势的作用;交磁;气隙磁场产生畸变;对主磁场起附加去磁作用)

二、判断题

1、一台并励直流发电机,正转能自励,若反转也能自励。( )(F)

2、一台直流发电机,若把电枢固定,而电刷与磁极同时旋转,则在电刷两端仍能得到直流电压。(T)

3、一台并励直流电动机,若改变电源极性,则电机转向也改变。(F)

4、直流电动机的电磁转矩是驱动性质的,因此稳定运行时,大的电磁转矩对应的转速就高。( ) (F)

三、选择题

1、直流发电机主磁极磁通产生感应电动势存在于( )中。 (1)

(1)电枢绕组;(2)励磁绕组;(3)电枢绕组和励磁绕组

2、直流发电机电刷在几何中线上,如果磁路不饱和,这时电械反应是( ) (3)

(1)去磁;(2)助磁;(3)不去磁也不助磁。

3、如果并励直流发电机的转速上升20%,则空载时发电机的端电压U0升高( )。(2)

(1)20%;(2)大于20%;(3)小于20%。

四、简答题

1、直流发电机的励磁方式有哪几种?

(他励;自励(包括并励,串励和复励))

2、如何确定换向极的极性,换向极绕组为什么要与电枢绕组相串联?

(使换向极产生的磁通与电枢反应磁通方向相反。对于直流发电机而言,换向极性和电枢要进入的主磁极性相同;而对于直流电动机,则换向极极性和电枢要进入的主磁极极性相反。

换向极绕组与电枢组相串联的原因是:使随着电枢磁场的变化,换向极磁场也随之变化,即任何负载情况下都能抵消电枢反应的影响。)

3、试比较他励和并励直流发电机的外特性有何不同?并说明影响曲线形状的因素。

(并励直流发电机的外特性比他励的软。

他励:影响因素有两个

(1)随着Ia增加,IaRa增加,使U下降;

(2) 随着Ia增加,电枢反应附加去磁作用增强,使磁通φ减少,电枢电动势Ea减少,最后使U下降。

并励:影响因素有三个

(1) 随着Ia增加,IaRa增加,使U下降;

(2) 随着Ia增加,电枢反应附加去磁作用增强,使磁通φ减少,电枢电动势Ea减少,最后使端电压U下降。

(3) 两端电压下降,磁通φ下降,电枢电动势Ea进一步减少,端电压U进一步下降。)

4、一台并励直流发电机并联于电网上,若原动机停止供给机械能,将发电机过渡到电动机状态工作,此时电磁转矩方向是否变?旋转方向是否改变?

(电磁转矩方向改变,电机旋转方向不变。)

五、计算题

1、一台并励直流电动机,铭牌数据如下:PN=3.5kW,UN=220V,I N=20A,nN=1000r/min,电枢电阻Ra=1Ω,△Ub=1V,励磁回路电阻R1=440Ω,空载实验:当U=220V,n=1000r/min时,I0=2A,试计算当电枢电流I a=10A时,电机的效率(不计杂散损耗)。

数学题0的性质和作用是什么,数学中关于0的说法有哪些(电机与拖动期末试题及答案)

编辑切换为居中

添加图片注释,不超过 140 字(可选)

数学题0的性质和作用是什么,数学中关于0的说法有哪些(电机与拖动期末试题及答案)

编辑切换为居中

添加图片注释,不超过 140 字(可选)

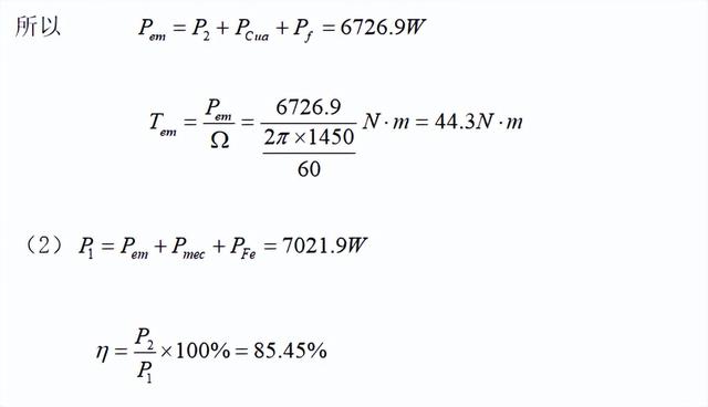
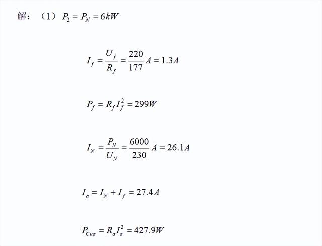
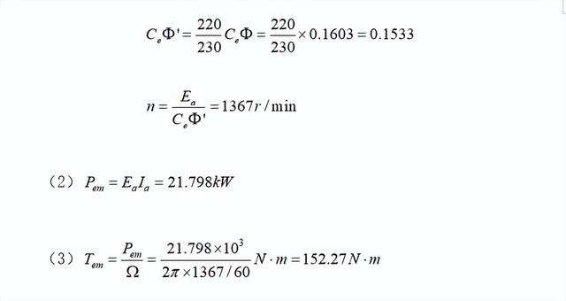
2、一台并励直流发电机,铭牌数据如下:PN=6kW,UN=230V,nN=1450r/min,Ra=0.57Ω(包括电刷接触电阻),励磁回路总电阻Rf=177Ω,额定负载时的电枢铁损PFe=234W,机械损耗为Pmec=61W,求:(1)额定负载时的电磁功率和电磁转矩。(2)额定负载时的效率。

数学题0的性质和作用是什么,数学中关于0的说法有哪些(电机与拖动期末试题及答案)

编辑切换为居中

添加图片注释,不超过 140 字(可选)

数学题0的性质和作用是什么,数学中关于0的说法有哪些(电机与拖动期末试题及答案)

编辑

添加图片注释,不超过 140 字(可选)

3、一台并励直流发电机,铭牌数据如下:PN=23kW,UN=230V,nN=1500r/min,励磁回路电阻Rf=57.5Ω,电枢电阻Ra=0.1Ω,不计电枢反应磁路饱和。现将这台电机改为并励直流电动机运行,把电枢两端和励磁绕组两端都接到220V的直流电源:运行时维持电枢电流为原额定值。求(1)转速n;(2)电磁功率;(3)电磁转矩。

解:

数学题0的性质和作用是什么,数学中关于0的说法有哪些(电机与拖动期末试题及答案)

编辑切换为居中

添加图片注释,不超过 140 字(可选)

数学题0的性质和作用是什么,数学中关于0的说法有哪些(电机与拖动期末试题及答案)

编辑切换为居中

添加图片注释,不超过 140 字(可选)

第二部分 直流电动机的电力拖动

一、填空题:

1、他励直流电动机的固有机械特性是指在_______条件下,_______和_______的关系。 (U=UN、φ=ΦN,电枢回路不串电阻;n;Tem

2、直流电动机的起动方法有____ ___。(降压起动、电枢回路串电阻起动)

3、如果不串联制动电阻,反接制动瞬间的电枢电流大约是电动状态运行时电枢电流的_______倍。 (2)

4、当电动机的转速超过_______时,出现回馈制动。(理想空载转速)

5、拖动恒转转负载进行调速时,应采_______调速方法,而拖动恒功率负载时应采用_______调速方法。(降压或电枢回路串电阻;弱磁)

二、判断题

1、直流电动机的人为特性都比固有特性软。( )(F)

2、直流电动机串多级电阻起动。在起动过程中,每切除一级起动电阻,电枢电流都将突变。( ) (T)

3、提升位能负载时的工作点在第一象限内,而下放位能负载时的工作点在第四象限内。( ) (T)

4、他励直流电动机的降压调速属于恒转矩调速方式,因此只能拖动恒转矩负载运行。( ) (F)

5、他励直流电动机降压或串电阻调速时,最大静差率数值越大,调速范围也越大。( ) (T)

三、选择题

1、电力拖动系统运动方程式中的GD2反映了:(2)

(1)旋转体的重量与旋转体直径平方的乘积,它没有任何物理意见;(2)系统机械惯性的大小,它是一个整体物理量;(3)系统储能的大小,但它不是一个整体物理量。

2、他励直流电动机的人为特性与固有特性相比,其理想空载转速和斜率均发生了变化,那么这条人为特性一定是:(3)

(1)串电阻的人为特性;(2)降压的人为特性;(3)弱磁的人为特性。

3、直流电动机采用降低电源电压的方法起动,其目的是:(2)

(1)为了使起动过程平稳;(2)为了减小起动电流;(3)为了减小起动转矩。

4、当电动机的电枢回路铜损耗比电磁功率或轴机械功率都大时,这时电动机处于:(2)(1)能耗制动状态;(2)反接制动状态;(3)回馈制动状态。

5、他励直流电动机拖动恒转矩负载进行串电阻调速,设调速前、后的电枢电流分别为I1和I2,那么:(2)

(1)I1I2。

四、简答题:

1、电力拖动系统稳定运行的条件是什么?

(电动机的机械特性与负载的转矩特性必须有交点,且在交点处,满足

数学题0的性质和作用是什么,数学中关于0的说法有哪些(电机与拖动期末试题及答案)

添加图片注释,不超过 140 字(可选)

2、何谓电动机的充分利用?

(所谓电动机的充分利用是指电动机无论在额定转速下运行,还是调速过程中处于不同转速下运行,其电枢电流都等于额定值。)

五、计算题:

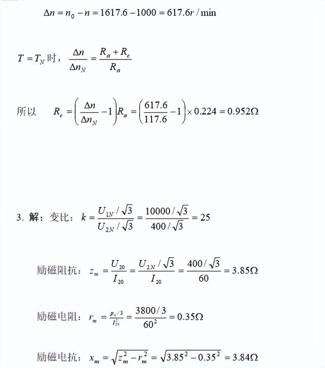
一台他励直流电动机数据为:PN=7.5kW,UN=110V,I N=79.84A,nN=1500r/min,电枢回路电阻Ra=0.1014Ω,求:(1)U=U N,Φ=ΦN条件下,电枢电流Ia=60A时转速是多少?(2) U=U N条件下,主磁通减少15%,负载转矩为TN不变时,电动机电枢电流与转速是多少?(3)U=U N,Φ=ΦN条件下,负载转矩为0.8TN,转速为(—800)r/min,电枢回路应串入多大电阻?

数学题0的性质和作用是什么,数学中关于0的说法有哪些(电机与拖动期末试题及答案)

编辑

添加图片注释,不超过 140 字(可选)

第三部分 变压器

一、填空题:

1、一台接到电源频率固定的变压器,在忽略漏阻抗压降条件下,其主磁通的大小决定于_______的大小,而与磁路的_______基本无关,其主磁通与励磁电流成_______关系。(外加电压;材质和几何尺寸;非线性)

2、变压器铁心导磁性能越好,其励磁电抗越_______,励磁电流越_______。 (越大;越小)

3、变压器带负载运行时,若负载增大,其铁损耗将_______,铜损耗将_______(忽略漏阻抗压降的影响)。 (不变;增加)

4、当变压器负载(φ2>0°)一定,电源电压下降,则空载电流I0_______,铁损耗PFe_______。( 减小;减小)

5、一台2kV·A,400/100V的单相变压器,低压侧加100V,高压侧开路测得I0=2A;P0=20W;当高压侧加400V,低压侧开路,测得I0=_______A,P0=_______W。(0.5;20)

6、变压器短路阻抗越大,其电压变化率就_______,短路电流就_______。(大;小)

7、变压器等效电路中的xm是对应于_______电抗,rm是表示_______电阻。 (主磁通的;铁心损耗的等效)

8、两台变压器并联运行,第一台先达满载,说明第一台变压器短路阻抗标么值比第二台_______。 (小)

9、三相变压器的联结组别不仅与绕组的_______和_______有关,而且还与三相绕组的_______有关。 (绕向;首末端标记;联结方式)

10、变压器空载运行时功率因数很低,这是由于___ ____。(空载时建立主、漏磁场所需无功远大于供给铁损耗和空载时铜损耗所需的有功功率)

二、判断题

1、一台变压器原边电压U1不变,副边接电阻性负载或接电感性负载,如负载电流相等,则两种情况下,副边电压也相等( )。 (F)

2、变压器在原边外加额定电压不变的条件下,副边电流大,导致原边电流也大,因此变压器的主要磁通也大( )。(F)

3、变压器的漏抗是个常数,而其励磁电抗却随磁路的饱和而减少( )。(T)

4、自耦变压器由于存在传导功率,因此其设计容量小于铭牌的额定容量( )。 (T)

5、使用电压互感器时其二次侧不允许短路,而使用电流互感器时二次侧则不允许开路( )。 (T)

三、单项选择题

1、变压器空载电流小的原因是:③

①一次绕组匝数多,电阻很大;②一次绕组的漏抗很大;③变压器的励磁阻抗很大;④变压器铁心的电阻很大。

2、变压器空载损耗: ④

①全部为铜损耗;②全部为铁损耗;

③主要为铜损耗;④主要为铁损耗

3、一台变压器原边接在额定电压的电源上,当副边带纯电组负载时,则从原边输入的功率: ③

①只包含有功功率;②只包含无功功率;

③既有有功功率,又有无功功率;④为零。

4、变压器中,不考虑漏阻抗压降和饱和的影响,若原边电压不变,铁心不变,而将匝数增加,则励磁电流:②

①增加;②减少;③不变;④基本不变。

5、一台变压器在( )时效率最高。③

①β=1;②P0/PS=常数;③PCu=PFe;④S=SN

四、简答题

1、为什么变压器的空载损耗可近似看成铁损耗,而短路损耗可近似看成为铜损耗?

(变压器铁损耗的大小决定于铁心中磁通密度的大小,铜损耗的大小决定决定于绕组中电流的大小。

变压器空载和短路时,输出功率都为零。输入功率全部变为变压器的损耗。即铜损耗与铁损耗之和。空载时,电源电压为额定值,铁心中磁通密度达到正常运行的数值,铁损耗也为正常运行时的数值。而此时二次绕组中的电流为零,没有铜损耗,一次绕组中电流仅为励磁电流,远小于正常运行的数值,它产生的铜损耗相对于这时的铁损耗可以忽略不计,因而空载损耗可近似看成为铁损耗。短路试验时,输入功率为短路损耗。此时一次、二次绕组电流均为额定值,铜损耗也达到正常运行时的数值,而电压大大低于额定电压,铁心中磁通密度也大大低于正常运行时的数值,此时铁损耗与铜损耗相比可忽略不计。因此短路损耗可近似看成铜损耗。)

2、电源频率降低,其他各量不变,试分析变压器铁心饱和程度、励磁电流、励磁电抗、漏抗的变化情况。

数学题0的性质和作用是什么,数学中关于0的说法有哪些(电机与拖动期末试题及答案)

编辑切换为居中

添加图片注释,不超过 140 字(可选)

3、变压器的原、副边额定电压都是如何定义的?

(原边额定电压是指规定加在一次侧的电压。副边额定电压是指当一次侧加上额定电压时,二次侧的开路电压。)

4、变压器并联运行的条件是什么?哪一个条件要求绝对严格?

数学题0的性质和作用是什么,数学中关于0的说法有哪些(电机与拖动期末试题及答案)

添加图片注释,不超过 140 字(可选)

数学题0的性质和作用是什么,数学中关于0的说法有哪些(电机与拖动期末试题及答案)

添加图片注释,不超过 140 字(可选)

( 变压器并联运行的条件是:(1)各变压器一、二次侧的额定电压分别相等,即变比相同;(2)各变压器的联结组别必须相同;(3)各变压器的短路阻抗(或短路电压)标幺值相等,且短路阻抗角也相等。

五、作图题

1、画相量图判定组别:如右图(a)所示

(图略,组别Y,y4)

2、画相量图判定组别: 如右图(b)所示

(图略,组别Y,d11)

六、计算题

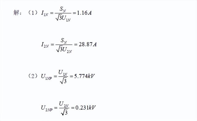
1、三相变压器额定容量为20kV·A,额定电压为10/0.4 kV,额定频率为50HZ,Y,y0联结,高压绕组匝数为3300。试求:(1)变压器高压侧和低压侧的额定电流;(2)高压和低压绕组的额定电压;(3)绘出变压器Y,y0的接线图。

数学题0的性质和作用是什么,数学中关于0的说法有哪些(电机与拖动期末试题及答案)

编辑

添加图片注释,不超过 140 字(可选)

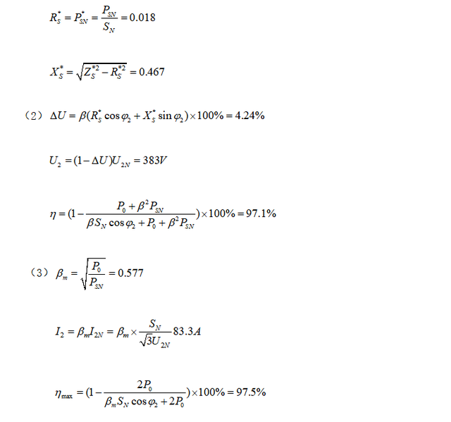
2、一台SN=100kV·A,U1N /U2N=6/0.4 kV,Y,y0联结的三相变压器,I0%=6.5%,P0=600W,us=5%,PSN=1800W,试求:(1)近似等效电路参数标么值;(2)满载及cosφ2=0.8(滞后)时的二次端电压和效率;(3)产生最大效率时的负载电流及cosφ2=0.8(φ2>0°)时的最大效率。

数学题0的性质和作用是什么,数学中关于0的说法有哪些(电机与拖动期末试题及答案)

编辑

添加图片注释,不超过 140 字(可选)

数学题0的性质和作用是什么,数学中关于0的说法有哪些(电机与拖动期末试题及答案)

编辑切换为居中

添加图片注释,不超过 140 字(可选)

第四部分 交流电机的绕组、电动势和磁动势

一、填空题:

1、一个三相对称交流绕组,2p=2,通入f=50Hz的三相对称交流电流,其合成磁通势为_______磁通势。(圆形旋转)

2、采用_______绕组和_______绕组可以有效地削弱谐波分量,同时使基波分量_______(增加、减小)。 (叠;波;增加)

3、一个脉振磁通势可以分解为两个_______和_______相同,而_______相反的旋转磁通势。 (幅值;转速;转向)

4、三相对称绕组的构成原则是_____ __;____ _;__ _ _。(各相绕组的结构相同;阻抗相等;空间位置对称(互差120度电角度))

二、是非题

1、两相对称绕组,通入两相对称交流电流,其合成磁通势为旋转磁通势。( ) (T)

2、改变电流相序,可以改变三相旋转磁通势的转向。( ) (T)

第五部分 异步电动机

一、填空题:

1、当s在_______范围内,三相异步电机运行于电动机状态,此时电磁转矩性质为_______;在_______范围内运行于发电机状态,此时电磁转矩性质为_______。(0~1;反电动势;-∞~0;制动转矩)

2、三相异步电动机根据转子结构不同可分为___ ____和__ _____两类。(笼型异步电动机和绕线型异步电动机)

3、一台6极三相异步电动机接于50HZ的三相对称电源;其s=0.05,则此时转子转速为_______r/min,定子旋转磁势相对于转子的转速为_______r/min。(950;50;0)

4、三相异步电动机的电磁转矩是由_______和_______共同作用产生的。(主磁通;转子电流的有功分量 )

5、一台三相异步电动机带恒转矩负载运行,若电源电压下降,则电动机的转速_______,定子电流_______,最大转矩_______,临界转差率_______。(减小;增大;减小;不变)

6、三相异步电动机电源电压一定,当负载转矩增加,则转速_______,定子电流_______。(减小; 增加)

7、三相异步电动机等效电路中的附加电阻是模拟_______的等值电阻。(总机械功率)

8、三相异步电动机在额定负载运行时,其转差率s一般在_______范围内。 (0.01~0.06)

9、对于绕线转子三相异步电动机,如果电源电压一定,转子回路电阻适当增大,则起动转矩_______,最大转矩_______。(增大;不变)

二、判断题

1、不管异步电机转子是旋转还是静止,定、转子磁通势都是相对静止的( )。(T)

2、三相异步电动机转子不动时,经由空气隙传递到转子侧的电磁功率全部转化为转子铜损耗( )。 (T)

3、三相异步电动机的最大电磁转矩Tm的大小与转子电阻r2阻值无关( )。(T)

4、通常三相笼型异步电动机定子绕组和转子绕组的相数不相等,而三相绕线转子异步电动机的定、转子相数则相等。( ) (T)

5、三相异步电机当转子不动时,转子绕组电流的频率与定子电流的频率相同( )。(T)

三、选择题

1、三相异步电动机带恒转矩负载运行,如果电源电压下降,当电动机稳定运行后,此时电动机的电磁转矩:①

①下降;②增大;③不变;④不定。

2、三相异步电动机的空载电流比同容量变压器大的原因:③

①异步电动机是旋转的;②异步电动机的损耗大;③异步电动机有气隙;④异步电动机有漏抗。

3、三相异步电动机空载时,气隙磁通的大小主要取决于:①

①电源电压;②气隙大小;③定、转子铁心材质;④定子绕组的漏阻抗。

4、三相异步电动机能画出像变压器那样的等效电路是由于:②

①它们的定子或原边电流都滞后于电源电压;②气隙磁场在定、转子或主磁通在原、副边都感应电动势;③它们都有主磁通和漏磁通;④它们都由电网取得励磁电流。

5、三相异步电动机在运行中,把定子两相反接,则转子的转速会:②

①升高;②下降一直到停转;③②下降至零后再反向旋转;④下降到某一稳定转速。

四、简答题

数学题0的性质和作用是什么,数学中关于0的说法有哪些(电机与拖动期末试题及答案)

编辑切换为居中

添加图片注释,不超过 140 字(可选)

3、异步电动机中的空气隙为什么做得很小?

(异步电动机气隙小的目的是为了减小其励磁电流(空载电流),从而提高电动机功率因数。因异步电动机的励磁电流是由电网供给的,故气隙越小,电网供给的励磁电流就小。而励磁电流有属于感性无功性质,故减小励磁电流,相应就能提高电机的功率因数。)

五、计算题

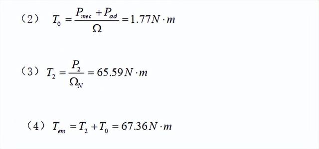
1、已知一台三相四极异步电动机的额定数据为:PN=10kW,UN=380V,IN=11.6A,定子为Y联结,额定运行时,定子铜损耗PCu1=560W,转子铜损耗PCu2=310W,机械损耗Pmec=70W,附加损耗Pad=200W,试计算该电动机在额定负载时的:(1)额定转速;(2)空载转矩;(3)转轴上的输出转矩;(4)电磁转矩。

解:

数学题0的性质和作用是什么,数学中关于0的说法有哪些(电机与拖动期末试题及答案)

编辑

添加图片注释,不超过 140 字(可选)

数学题0的性质和作用是什么,数学中关于0的说法有哪些(电机与拖动期末试题及答案)

编辑

添加图片注释,不超过 140 字(可选)

2、已知一台三相异步电动机,额定频率为150kW,额定电压为380V,额定转速为1460r/min,过载倍数为2.4,试求:(1)转矩的实用表达式;(2)问电动机能否带动额定负载起动。

数学题0的性质和作用是什么,数学中关于0的说法有哪些(电机与拖动期末试题及答案)

编辑切换为居中

添加图片注释,不超过 140 字(可选)

数学题0的性质和作用是什么,数学中关于0的说法有哪些(电机与拖动期末试题及答案)

编辑

添加图片注释,不超过 140 字(可选)

第六部分 异步电动机的电力拖动

一、填空题:

1、拖动恒转矩负载运行的三相异步电动机,其转差率s在_______范围内时,电动机都能稳定运行。 (

数学题0的性质和作用是什么,数学中关于0的说法有哪些(电机与拖动期末试题及答案)

添加图片注释,不超过 140 字(可选)

)

2、三相异步电动机的过载能力是指______。 (

数学题0的性质和作用是什么,数学中关于0的说法有哪些(电机与拖动期末试题及答案)

添加图片注释,不超过 140 字(可选)

)

3、星形一三角形降压起动时,起动电流和起动转矩各降为直接起动时的_______倍。(3)

4、三相异步电动机进行能耗制动时,直流励磁电流越大,则补始制动转距越______。(大)

5、三相异步电动机拖动恒转矩负载进行变频调速时,为了保证过载能力和主磁通不变,则U1应随f1按_______规律调节。 (正比)

二、判断题

1、由公式Tem=CTΦmI’2cosΦ2可知,电磁转矩与转子电流成正比,因为直接起动时的起动电流很大,所以起动转矩也很大。( ) (F)

2、深槽式与双笼型三相异步电动机,起动时由于集肤效应而增大了转子电阻,因此具有较高的起动转矩倍数。( ) (T)

3、三相绕线转子异步电动机转子回路串入电阻可以增大起动转矩,串入电阻值越大,起动转矩也越大。( ) (F)

4、三相绕线转子异步电动机提升位能性恒转矩负载,当转子回路串接适当的电阻值时,重物将停在空中。( ) (T)

5、三相异步电动机的变极调速只能用在笼型转子电动机上。( ) (T)

三、选择题

1、与固有机械特性相比,人为机械特性上的最大电磁转矩减小,临界转差率没变,则该人为机械特性是异步电动机的:(3)

(1)定子串接电阻的人为机械特性;(2)转子串接电阻的人为机械特性;(3)降低电压的人为机械特性。

2、 一台三相笼型异步电动机的数据为PN = 20kW,UN = 380V,λT=1.15,ki=6,定子绕组为三角形联结。当拖动额定负载转矩起动时,若供电变压器允许起动电流不超过12IN,最好的起动方法是:(1)

(1)直接起动;(2)Y—△降压起动;(3)自耦变压器降压起动。

3、一台三相异步电动机拖动额定转矩负载运行时,若电源电压下降10%,这时电动机的电磁转矩:(1)

(1)Tem=TN;(2) Tem=0.81 TN;(3) Tem=0.9TN。

4、三相绕线转子异步电动机拖动起重机的主钩,提升重物时电动机运行于正向电动状态,若在转子回路串接三相对称电阻下放重物时,电动机运行状态是:(3)

(1)能耗制动运行;(2)反向回馈制动运行;(3)倒拉反转运行。

5、三相异步电动机拖动恒转矩负载,当进行变极调速时,应采用的联结方式为:(1)(1)Y—YY;(2)△—YY;(3)正串Y—反串Y。

四、简答题

数学题0的性质和作用是什么,数学中关于0的说法有哪些(电机与拖动期末试题及答案)

编辑切换为居中

添加图片注释,不超过 140 字(可选)

2、深槽与双笼型异步电动机为什么起动转矩大而效率并不低?

(深槽式与双笼型异步电动机所以起动转矩打,是因为起动时转子电动势、电流频率较高,出现集肤效应造成了转子电阻增大所致。正常运行时集肤效应不显著,转子电阻减小为正常值。因此运行时效率仍较高。)

五、计算题

一台三相笼型异步电动机的数据为PN=40kW,UN=380V,nN=2930r/min,ηN=0.9, cosΦN=0.85,ki=5.5, kst=1.2,定子绕组为三角形联结,供电变压器允许起动电流为150A,能否在下列情况下用Y—△降压起动?

(1)负载转矩为0.25TN;(2)负载转矩为0.5TN。

数学题0的性质和作用是什么,数学中关于0的说法有哪些(电机与拖动期末试题及答案)

编辑切换为居中

添加图片注释,不超过 140 字(可选)

《电机原理及拖动》复习

一、名词解释

1、绕组元件:是两端分别与两个换向片相连接的单匝或多匝线圈。

2、直流电机的电磁转矩:是指电机在正常运行时,电枢绕组流过电流,这些载流导体在磁场中受力所形成的总转矩。

3、电力拖动系统的过渡过程:就是指拖动系统从一个稳定状态到另一个稳定状态中间的过程。

4、整流变压器:是作为整流装置的电源变压器,用来把电网电压转换成整流装置所需的电压。

5、能耗制动:能耗制动是指利用转子惯性转动切割磁力线而产生制动转矩,就是说把转子的能量消耗在转子回路的电阻上。

6、第一节距:一个元件两个有效边之间的距离,以所跨槽数表示。

7、直流电机的电枢电动势:是指直流电机正常工作时绕组切割气隙磁通产生的刷间电动势。

8、电力拖动系统:是由电动机、机械传动机构、生产机械的工作机构、电动机的控制设备以及电源等五部分组成的综合机电装置。

9、变压器的额定容量:是变压器的额定视在功率,三相变压器指的是三相总容量。

10、反接制动:反接制动是利用改变电动机定子绕组的电源相序、产生反向的制动转矩,而迫使电动机迅速停止转动的方法。

二、填空题

1、直流电动机改变线圈中电流方向是 和 完成的。

2、直流发电机把 转换成 。

3、他励直流电动机的调速方法有 、 、 。

4、三相变压器的原、副绕组都可以接成 。

5、国际上规定标志三相变压器高、低压绕组线电势的相位关系用 。

6、交流异步电动机的转子绕组有 和 两种。

7、定子三相绕组中通过三相对称交流电时在空间会产生 。

8、同步电机可分为 、 和 三类。

9、对于同步发电机,按拖动它的原动机来分有 和 发电机等。

10、通常采用 、 、 和 等方法来校验电动机的发热。

11、主磁极的作用是产生 。它由 和 组成。

12、 、 和 常数是决定机械过渡过程的三要素。

13、三相变压器组是由 按一定的方式联接起来组成的。

14、空间电角度是空间几何角度的 倍,p是 。

15、电压互感器在运行时副绕组绝对不允许 。而电流互感器在运行时副边绝对不允许 。

16、定子三相绕组中通过三相对称交流电时在空间会产生 。

17、鼠笼型电动机的起动方法有 起动、 起动两种。

18、异步电动机的调速有 、 、 调速。

19、同步电动机的结构分有 和 两种。

20、同步电动机起动的方法有 、 、 。

三、选择题

1、一台直流发电机由额定运行状态转速下降为原来的50%,而励磁电流和电枢电流保持不变,则( )

(1)电枢电势下降50% (2)电磁转矩下降50%

(3)电枢电势和电磁转矩都下降50% (4)端电压下降50%

2、一台四极直流电机电枢绕组为单叠绕组,其并联支路数和电枢电流分别为( )

(1)并联支路数为4,电枢电流等于每条支路电流

(2)并联支路数为4,电枢电流等于各支路电流之和

(3)并联支路数为2,电枢电流等于每条支路电流

(4)并联支路数为2,电枢电流等于各支路电流之和

3、直流电动机在串电阻调速过程中,若负载转矩不变,则( )

(1)输入功率不变 (2)输出功率不变

(3)总损耗功率不变 (4)电磁功率不变

4、接在运行线路中,但暂时未使用的电流互感器,其二次侧线圈应( )

(1)开路 (2)一端接地,另一端不接地

(3)两端短路 (4)两端短路而且其中一端还要接地

5、三相异步电动机铭牌上标明:“额定电压380/220V,接法丫/△”。当电网电压为380V时,这台三相异步电动机应采用( )

(1)△接法 (2)丫接法(3)△、丫都可以 (4)△、丫都不可以

6、某直流电机它的电枢与二个励磁绕组串联和并联,那么该电机为( )电机

(1)他励 (2)并励 (3)复励 (4)串励

7、某台三相变压器,容量是3000千伏安,如原边电压为10千伏,则原边电流约为( )安

(1)300 (2)86.6 (3)173.2 (4)60

8、变压器的变比与原、副边的( )

(1)电压成反比 (2)电流成正比(3)匝数成反比 (4)电压成正比

9、如果某三相异步电动机的极数为4级,同步转速为1800转/分,那么三相电流的频率为( )

(1)50赫兹 (2)60赫兹 (3)45赫兹 (4)30赫兹

10、一台他励直流电动机拖动恒转矩负载,当电枢电压降低时,电枢电流和转速将( )

(1)电枢电流减小、转速减小 (2)电枢电流减小、转速不变

(3)电枢电流不变、转速减小 (4)电枢电流不变、转速不变

11、有一电力拖动系统拖动恒转矩负载运行,已知负载转矩为150 N•m,系统损耗转矩为30 N•m,当系统匀速上升和下降时,电机的输出转矩为:( )

(1)上升时转矩为180 N•m,下降时转矩为150 N•m

(2)上升时转矩为180 N•m,下降时转矩为120 N•m

(3)上升时转矩为150 N•m,下降时转矩为150 N•m

(4)上升时转矩为150 N•m,下降时转矩为120 N•m

12、一台直流电动机起动时,励磁回路应该( )

(1)与电枢回路同时接入 (2)比电枢回路后接入

(3)比电枢回路先接入 (4)无先后次序

13、一台变压器在工作时,有可能使额定电压变化率为零,这时的负载性质可能是( )

(1电阻性负载(2电容性负载(3电阻电容性负载(4电阻电感性负载

14、一台额定运行的三相异步电动机,当电网电压降低10%时,电动机的转速将( )

(1)上升 (2)降低 (3)不变 (4)停止转动

15、当直流电机定子与电枢之间的空气隙增大时,直流电机的( )

(1)磁阻减少 (2)磁阻增大(3)磁阻不变 (4)电流减少,转矩增大

16、某直流电机2P=4,S=K=Z=17,那么它的合成节距Y=( )

(1)4 (2)2 (3)6 (4)8

17、一台单相变压器,如果它的变压比为20,当它正常工作时,副边电流为100A,那么它的原边绕组中的电流应为( )安

(1) 5 (2) 0.2 (3) 50 (4) 2.5

18、改变三相异步电动机转向的方法是( )

(1)改变电源频率 (2)改变电源电压

(3)改变定子绕组中电流的相序 (4)改变电机的工作方式

四、问答题

1、改善电机换向有哪些方法?

方法有三个,一是选用适当的电刷,更换时要用与原来牌号相同的电刷。二是移动电刷位置,这种方法只适于负载不变的电机。三是装置换向磁极。

2、电流互感器在使用时必须注意什么?

①为了安全,二次侧应牢固地接地。②二次侧不允许开路。在换接电流表时要先按下短路开关,以防二次绕组开路,否则二次绕组会产生很高的尖峰电动势。③二次绕组回路接入的阻抗不能超过允许值,否则会使电流互感器的精度下降。

3、根据什么情况决定异步电动机可以全压起动还是应该采取降压措施?

一般对于经常起动的电动机来说,如果它的容量不大于供电变压器容量的20%都可以直接起动。否则应采取降压措施。

4、什么是电枢反应?电枢反应的性质与哪些因素有关?

当定子绕组流过三相对称的电流时,将产生电枢(定子)磁场。电枢磁场对主磁场必将产生影响,这种影响就叫电枢反应。电枢反应的性质因负载的性质和大小的不同而不同,它取决于电枢磁势与励磁磁势在空间的相对位置。

5、简述建立并励直流发电机输出电压的条件。

①发电机必须有剩磁,如果无剩磁,必须用另外的直流电源充磁。②励磁绕组并联到电枢两端,线端的接法与旋转方向配合,以使励磁电源产生的磁场方向与剩磁的磁场方向一致。③励磁回路的总电阻必须小于临界电阻。

6、如何使他励直流电动机反转?

使他励直流电动机反转的方法有两种:(1)电枢绕组接线不变,将励磁绕组反接,这种方法称为磁场方向。 (2) 励磁绕组接线不变,电枢绕组反接,称为电枢反向。

7、自耦变压器有什么特点?应用时要注意什么问题?

自耦变压器的优点是节省原材料、体积小、重量轻、安装运输方便、价格低、损耗小、效率高。它的缺点是一次绕组和二次绕组有电的联系,因此,低压绕组及低压方的用电设备的绝缘强度及过电压保护等均需按高压方考虑。使用时,需把原副边的公用端接零线,外壳必须接地。

8、三相异步电动机的起动电流为什么很大?有什么危害?

由于刚起动时,旋转磁场与转子导体相对转速大,转子导体以最大转速切割磁力线,产生很大的电流。电流大的危害是(1)使线路产生很大的电压降,影响同一线路的其它负载的正常工作。严重时还可能使本电机的起动转矩太小而不能起动;(2)使电动机绕组过热,加速绝缘老化,缩短电动机的使用寿命。

数学题0的性质和作用是什么,数学中关于0的说法有哪些(电机与拖动期末试题及答案)

编辑切换为居中

添加图片注释,不超过 140 字(可选)

数学题0的性质和作用是什么,数学中关于0的说法有哪些(电机与拖动期末试题及答案)

编辑切换为居中

添加图片注释,不超过 140 字(可选)

数学题0的性质和作用是什么,数学中关于0的说法有哪些(电机与拖动期末试题及答案)

编辑切换为居中

添加图片注释,不超过 140 字(可选)

数学题0的性质和作用是什么,数学中关于0的说法有哪些(电机与拖动期末试题及答案)

编辑切换为居中

添加图片注释,不超过 140 字(可选)

数学题0的性质和作用是什么,数学中关于0的说法有哪些(电机与拖动期末试题及答案)

编辑

添加图片注释,不超过 140 字(可选)

选择题:二1. 换向器 电刷 2. 机械能 直流电能 3. 电阻串电阻调速 降低电源电压调速 减弱磁通调速 4. 星形或三角形 5.时钟表示法6.鼠笼型 绕线型7.旋转磁场8.同步发电机 同步电动机 同步补偿机9.水轮 汽轮 10.平均损耗法 等效电流法 等效转矩法 等效功率法 11.主磁通 主磁极铁心 励磁绕组 12.初始值 稳态值 机电时间 13.三台单相变压器 14.p 磁极对数15.短路 开路 16 旋转磁场 17直接 减压 18.变极 变频 改变转差率 19 电枢旋转式 磁极旋转式 20辅助电动机法 变频起动 异步起动

数学题0的性质和作用是什么,数学中关于0的说法有哪些(电机与拖动期末试题及答案)

编辑切换为居中

添加图片注释,不超过 140 字(可选)

数学题0的性质和作用是什么,数学中关于0的说法有哪些(电机与拖动期末试题及答案)

编辑

添加图片注释,不超过 140 字(可选)

数学题0的性质和作用是什么,数学中关于0的说法有哪些(电机与拖动期末试题及答案)

编辑

添加图片注释,不超过 140 字(可选)

本文关键词:0都表示什么,它在数学中有哪些作用,数学中关于0的说法有哪些,在数学中0表示什么和什么,0在数学中有什么作用,关于0的性质。这就是关于《数学题0的性质和作用是什么,数学中关于0的说法有哪些(电机与拖动期末试题及答案)》的所有内容,希望对您能有所帮助!

本文链接:https://bk.89qw.com/a-437406

最近发表
网站分类