百科生活 投稿
关于【高中三角函数公式】:高中三角函数公式,今天小编给您分享一下,如果对您有所帮助别忘了关注本站哦。
- 内容导航:
- 1、高中三角函数公式
- 2、高中数学三角函数必备公式大全
1、高中三角函数公式
1、高中三角函数公式主要有tana·cota=1sind·cscd=1cosa·seca=1,sind/cosd=tand=secd/csca cosa/sind=cotd=cscd/seca等。
2、三角函数是数学中属于初等函数中的超越函数的函数。它们的本质是任何角的集合与一个比值的集合的变量之间的映射。通常的三角函数是在平面直角坐标系中定义的。其定义域为整个实数域。另一种定义是在直角三角形中,但并不完全。现代数学把它们描述成无穷数列的极限和微分方程的解,将其定义扩展到复数系。
2、高中数学三角函数必备公式大全
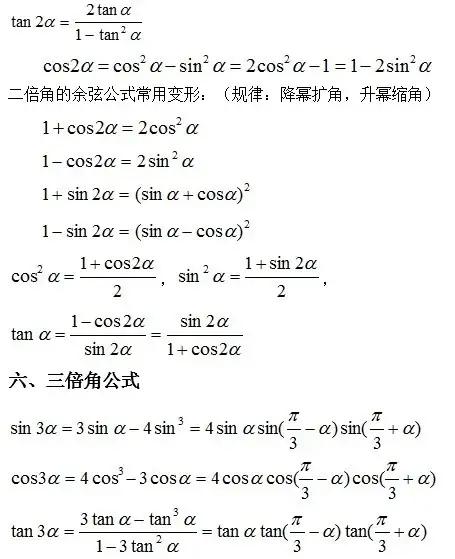
在高中数学中三角函数是公式最多,公式之间关联性最强的部分,有几十个公式需要记,今天我们来把它们归纳一下,方便学生高效记忆。其中三倍角公式在高考中用得不多,常见于竞赛,参加高考的学生,三倍角公式可暂搁置一边。其它公式希望学生能熟学熟用。三角函数公式用熟,你会发现这个部分其实很简单。




本文关键词:高中三角函数公式二倍角,三角函数相关公式高中数学,高中三角函数公式及诱导公式大全,高中三角函数公式表,高中三角函数公式半角公式。这就是关于《高中三角函数公式,高中三角函数公式归纳总结(高中数学三角函数必备公式大全)》的所有内容,希望对您能有所帮助!
- 最近发表