手机版

百科生活 投稿

简单离子半径比较,简单离子的半径比较的方法(关于“新型高能量密度铝—石墨双离子电池技术”的解读)

百科 2026-02-28 23:02:22 投稿 阅读:2324次

关于【简单离子半径比较】:简单离子的半径比较的方法,今天小编给您分享一下,如果对您有所帮助别忘了关注本站哦。

  • 内容导航:
  • 1、简单离子半径比较:简单离子的半径比较的方法
  • 2、关于“新型高能量密度铝—石墨双离子电池技术”的解读

1、简单离子半径比较:简单离子的半径比较的方法

  方法如下:

  1、电子层数越多,半径越大。电子在原子核外按层排布,类似于洋葱,皮的层数越多,洋葱的半径自然就越大;

  2、如果电子层数相同,则比较核电荷数,核电荷数越多,半径越小。因为电子层数相同时,核电荷数越多,原子核对核外电子的吸引力越大,原子核自然将电子的距离拉的更近;

  3、如果电子层数相同,也可以比较电子数,电子数越多,半径越大。因为电子和电子之间存在一个排斥作用力,电子数越多,相互之间的排斥越强烈,自然要占据更大的空间。

2、关于“新型高能量密度铝—石墨双离子电池技术”的解读

先说几点个人觉得有意思的创新的地方,建议先读以下文章,如果作者做的东西确实属实,这里面的机制应该是很有意思的。至于商业上怎么样,没有相关背景,不敢妄断,反正暂时商业化很难就是了。

既然说到大牛戴宏杰老师组的这篇“An ultrafast rechargeable aluminium-ion battery”(Nature, 520, 324-328 | doi:10.1038/ nature14340)

我先说一下区别,

1.电解液

戴老师他们用的是离子液体,这种液体多贵么就不用我来指出了吧,而本文

这个成本的降低是显而易见的。

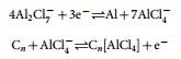
2.反应机制

本文给出的反应方程

简单离子半径比较,简单离子的半径比较的方法(关于“新型高能量密度铝—石墨双离子电池技术”的解读)

简单离子半径比较,简单离子的半径比较的方法(关于“新型高能量密度铝—石墨双离子电池技术”的解读)

与戴老师组的

简单离子半径比较,简单离子的半径比较的方法(关于“新型高能量密度铝—石墨双离子电池技术”的解读)

简单离子半径比较,简单离子的半径比较的方法(关于“新型高能量密度铝—石墨双离子电池技术”的解读)

是显而易见的不一样的,铝离子电池可以理解为以AlCl4-进行扩散和输运(其实感觉CC和Nature感觉讲的我都没有理解的很清楚,即EMI+的作用),而这里的dual-ion battery应该是Li+和PF6-,而电解液中的离子也是活性物质的一部分

3.电压平台

本文的CV图可以看到电压平台约从4-5V,

简单离子半径比较,简单离子的半径比较的方法(关于“新型高能量密度铝—石墨双离子电池技术”的解读)

戴老师组的

简单离子半径比较,简单离子的半径比较的方法(关于“新型高能量密度铝—石墨双离子电池技术”的解读)

是0.5-2.5V,充放电压平台的不同会使应用产生很大的不同。

综上,其本质并非一种铝离子电池,而更应归类为双离子电池。

——————————————————分割线1—————————————————————

双离子电池其实也是一种比较新的提法,而之前的大多是Graphite Dual-Ion Battery(我看的主要是,应该还有其他的),双离子电池中

The concept of dual-graphite chemistry operates by storing the electrolyte salt as intercalated ions in graphite electrodes.

---------Dual-graphite chemistry enabled by a high voltage electrolyte - Energy & Environmental Science (RSC Publishing)

In order to differentiate the energy storage mechanism of this battery system from the ion transfer mechanism which is known from lithium-ion batteries, we introduced the term “dual-ion cell”. This type of cell mechanism includes all cell reactions where simultaneously anions and cations react with the electrodes. In this dual-ion battery system, which also implies the dual-graphite/dual-carbon system, the electrolyte needs to be considered as an active material as well. This is in contrast to a lithium-ion cell, in which the electrolyte “only” acts as a charge carrier between the anode and the cathode and where the thickness of the electrolyte layer needs to be minimized. According to the work of Dahn and Seel in 2000, there must be a high amount of electrolyte present in the dualgraphite cell to provide enough ions which are needed during charging of the cell. In their work, they reported that an electrolyte with a high molarity is crucial to achieve a sufficiently high energy density of this system.

http://pubs.rsc.org/en/content/articlehtml/2014/ee/c4ee01873g

简而言之,区别于锂离子电池中电解质层主要充当电子传输的介质,因此需要要尽量的薄,双离子电池中电解液可以看作活性物质的一部分,需要提供充足的离子以供反应。(在体积有限的情况下,就需要极高的摩尔浓度。)

回到文章,这篇文章因为挺有意思的,我就看了下,其实这里面讲了一个很圆满的故事,可以说是有理有据有节(对大多数只看摘要的朋友们,我想提一点,一个工作的好坏,在现在版面极其有限的情况下,其实supporting information里提供的信息往往比正文对于研究者更有价值,从数据上来说,个人感觉没有什么大问题。

按照文章的说法,本文的负极采用了Al代替石墨,这样在电解液上的选择上可以不使用EC,而显然EMC电解液对高压的性能肯定是优于EMC的。

本文的反应式:

简单离子半径比较,简单离子的半径比较的方法(关于“新型高能量密度铝—石墨双离子电池技术”的解读)

这种合金确实也是存在的

简单离子半径比较,简单离子的半径比较的方法(关于“新型高能量密度铝—石墨双离子电池技术”的解读)

http://jes.ecsdl.org/content/123/11/1591.full.pdf

但是在其引文15的另两篇文献里并没有相关的Al-Li合金的生成,而仅仅是有Al-C和Al4Li9 (2235 mA h g1) or Al2Li3 (1490 mA h g1).等物质。在文章中的XRD数据确实证实了其存在,但确实个人理解还是存疑的(对Al-Li合金确实不太熟悉。)

简单离子半径比较,简单离子的半径比较的方法(关于“新型高能量密度铝—石墨双离子电池技术”的解读)

下面这几张图我就简单说说了,有时候的数据对于科研人员来说,真的怎么说很无意义(一个被AM文章误导了半年的人的经验之谈,我是怎么都不如别人数据好,做了半年有天突然发现他算的比理论容量都高)

我为啥要用Al做负极,库伦效率高。

简单离子半径比较,简单离子的半径比较的方法(关于“新型高能量密度铝—石墨双离子电池技术”的解读)

为啥用EMC+VC性能这么好,我前面说了为啥用EMC,然后添加VC可以形成较稳定的SEI膜层,能够比较好的保护Al层。

简单离子半径比较,简单离子的半径比较的方法(关于“新型高能量密度铝—石墨双离子电池技术”的解读)

加入不同浓度的VC的结果图,浓度高更有利于SEI膜的形成和稳定。

简单离子半径比较,简单离子的半径比较的方法(关于“新型高能量密度铝—石墨双离子电池技术”的解读)

但是浓度高也有问题啊,浓度高,形成的SEI膜会导致库伦效率低,使电池失效,我们还是选用适宜浓度的VC吧

简单离子半径比较,简单离子的半径比较的方法(关于“新型高能量密度铝—石墨双离子电池技术”的解读)

终于选好了,我选的性能就是棒棒哒。

简单离子半径比较,简单离子的半径比较的方法(关于“新型高能量密度铝—石墨双离子电池技术”的解读)

——————————————————分割线2————————————————————

其实,我真正比较感兴趣的,是从这里开始的

简单离子半径比较,简单离子的半径比较的方法(关于“新型高能量密度铝—石墨双离子电池技术”的解读)

文中叙述,PF6-的离子半径 4.36埃,C-C键长3.36埃,按照我们一般的思维,特别是做钠离子电池的,选择合适的离子通道供钠离子传输是十分重要的,其中一点就是离子通道要大于Na+半径,而这里显然不是。虽然可以看到上图形貌上的变化,但是你两个差异这么大的标尺给我放上来是几个意思,我这能观察到什么?文中并未给出我觉得合理的解释,如果是很高内电势形成的电场使PF6-强行的插入了C-C键,前后也应该来一个拉曼测试来表征他到底发生了什么变化,PF6-在内部结构上到底做了什么,文中并没有得到我想看到的答案。只是惯例的分析了一下元素,强调我VC多么有用,然而这并没有什么卵用。

简单离子半径比较,简单离子的半径比较的方法(关于“新型高能量密度铝—石墨双离子电池技术”的解读)

简单离子半径比较,简单离子的半径比较的方法(关于“新型高能量密度铝—石墨双离子电池技术”的解读)

按文章这张光学+SEM图,形成了AlLi,所以体积变化没有那么大,表面变化也不是很大只是变粗糙了,我没有形成高锂的Al4Li9之类的东西,所以体积基本无变化。

简单离子半径比较,简单离子的半径比较的方法(关于“新型高能量密度铝—石墨双离子电池技术”的解读)

但是我们知道,在锂离子电池里,若是半电池,锂基本也不变化但是会形成枝晶参考(锂离子电池充电时,离子嵌入石墨负极的形态是什么,锂枝晶如何形成? - zola rao 的回答中我的回答和 @土豆泥 的回答,这里并不需要太多的体积变化。)而是要证明,在反复循环之后在SEI膜两侧,AlLi合金如何形成及Li+如何脱出,在反复循环过程中为何没有形成枝晶状的AlLi或者Li,毕竟这里的电压高达近5V,表面的极化现象和液体的浓度梯度变化是十分复杂的,按照本文的解释,实在是难以让人信服,至少,也应该放一张Al片的SEM截面图,说明一下,更何况在反复充放。本文的石墨材料也是涂抹在Al片上的,这里C-Al层在高电压极化情况下有没有副反应?我觉得是有的,但是本文并没有给出详细的描述。

当然,我们不能奢求一篇文章里解决太多的科学问题,从电池的角度上来说,本文已经可以达到自圆其说的程度了,何况也是发在AEM上,从严谨性和实效性上都算是篇不错的科学论文,至于媒体的炒作什么的,不予置评。试着从商业上的角度分析,本文大大降低了制造成本,采用了商业化的电解液和较为链接的材料,但是其循环稳定性和安全性上,还有待检验,该方向应该说是不错的科学研究方向,产业还要观望观望,毕竟这里面的东西,就不是我等学生可以了解的那么深入的了。

深入讨论可访问知乎原文参与讨论:

https://www.zhihu.com/question/41953534?from=profile_question_card#rd

----------分割线------------

本文关键词:离子怎么比较半径,比较离子半径大小方法,怎么比较简单离子半径,离子半径如何比较,离子如何比较半径。这就是关于《简单离子半径比较,简单离子的半径比较的方法(关于“新型高能量密度铝—石墨双离子电池技术”的解读)》的所有内容,希望对您能有所帮助!

本文链接:https://bk.89qw.com/a-480340

最近发表
网站分类