手机版

百科生活 投稿

双曲线渐近线公式,双曲线渐近线方程公式(2022年新高考全国2卷数学试题第21题双曲线渐近线点线位置关系)

百科 2026-02-09 22:48:00 投稿 阅读:7899次

关于【双曲线渐近线公式】:双曲线渐近线方程公式,今天小编给您分享一下,如果对您有所帮助别忘了关注本站哦。

  • 内容导航:
  • 1、2022年新高考全国2卷数学试题第21题双曲线渐近线点线位置关系
  • 2、双曲线渐近线公式:双曲线渐近线方程公式
  • 3、双曲线的渐近线方程公式是?
  • 4、双曲线的渐近线公式是什么?
  • 5、双曲线的渐进线方程公式是什么
  • 6、双曲线渐近线方程是什么?

1、2022年新高考全国2卷数学试题第21题双曲线渐近线点线位置关系

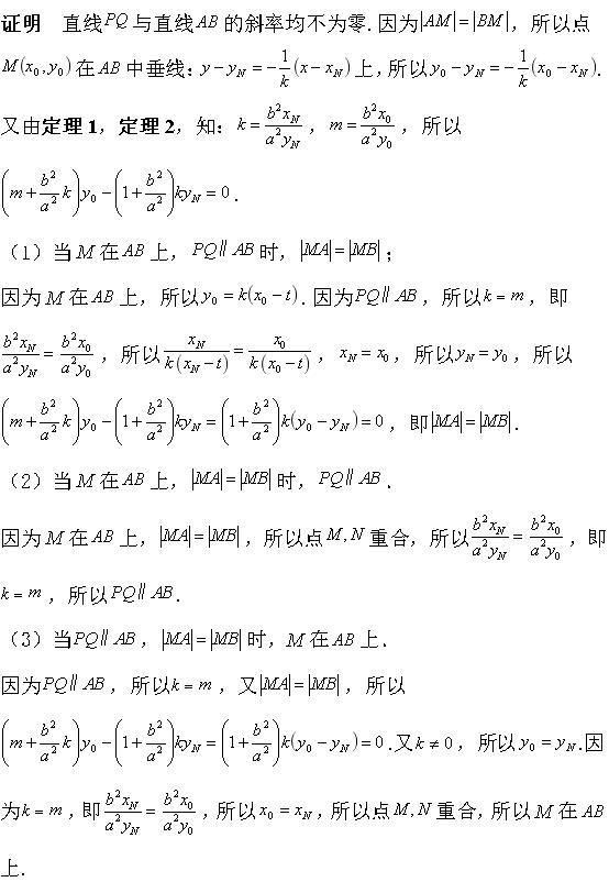
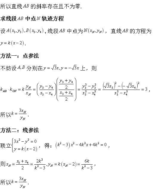
以2022年新高考全国2卷数学试题第21题为题探究与双曲线渐近线相关的点线位置关系

下文中结论是前作《一种方法,两个常数,三段影像串起多个圆锥曲线二级结论,兼谈结论在人教A版与2015-2021年高考圆锥曲线压轴题中的应用》中推论3.2.2的推论.

双曲线渐近线公式,双曲线渐近线方程公式(2022年新高考全国2卷数学试题第21题双曲线渐近线点线位置关系)

双曲线渐近线公式,双曲线渐近线方程公式(2022年新高考全国2卷数学试题第21题双曲线渐近线点线位置关系)

双曲线渐近线公式,双曲线渐近线方程公式(2022年新高考全国2卷数学试题第21题双曲线渐近线点线位置关系)

双曲线渐近线公式,双曲线渐近线方程公式(2022年新高考全国2卷数学试题第21题双曲线渐近线点线位置关系)

双曲线渐近线公式,双曲线渐近线方程公式(2022年新高考全国2卷数学试题第21题双曲线渐近线点线位置关系)

双曲线渐近线公式,双曲线渐近线方程公式(2022年新高考全国2卷数学试题第21题双曲线渐近线点线位置关系)

双曲线渐近线公式,双曲线渐近线方程公式(2022年新高考全国2卷数学试题第21题双曲线渐近线点线位置关系)

双曲线渐近线公式,双曲线渐近线方程公式(2022年新高考全国2卷数学试题第21题双曲线渐近线点线位置关系)

2、双曲线渐近线公式:双曲线渐近线方程公式

双曲线的渐近线方程公式是什么?

  双曲线的渐近线方程:y=±(b/a)x(当焦点在x轴上),y=±(a/b)x (焦点在y轴上),或令双曲线标准方程x²/a²-y²/b²=1中的1为零,即得渐近线方程。
   当焦点在x轴上时,双曲线渐近线公式为y=±(b/a)x;当焦点在y轴上时,双曲线渐近。

3、双曲线的渐近线方程公式是?

  当焦点在x轴上时,双曲线渐近线的方程是y=[+(-)b/a]x; 当焦点在y轴上时,双曲线渐近线的方程是y=[+(-)a/b]x。
   双曲线x^2/a^2-y^2/b^2 =1的简单几何性质 1、范围:|x|≥a,y∈R。
   2、对称性:双曲线的对称性与椭圆完全相同,关于x轴、y轴及原点中心对。

4、双曲线的渐近线公式是什么?

  y=±(b/a)x(当焦点在x轴上),y=±(a/b)x (焦点在y轴上)(a:双曲线的实半轴,b是虚半轴长) 几何性质 (1)范围:|x|≥a,y∈R. (2)对称性:双曲线的对称性与椭圆完全相同,关于x轴、y轴及原点中心对称. (3)顶点:两个顶点A1(-a,0),A2(a,0),两顶点。

5、双曲线的渐进线方程公式是什么

  如果渐近线方程为y=b/a*x 那么就可以设双曲线方程为m=x²/a²-y²/b²(a>0,b>0) 再根据a²+b²=c²和点与线的距离公式求解就行,要分两种情况

6、双曲线渐近线方程是什么?

  Y=±(b/a)X或Y=±(a/b)X。
   方程x²/a²-y²/b²=1(a>0,b>0)。
   c²=a²+b²。
   焦点坐标(-c,0),(c,0)。
   渐近线方程:y=±bx/a。
   方程 y²/a²-x²/b²=1(a>0,b>0)。
   c²=a²+b²。

本文关键词:双曲线渐近线方程公式变形,双曲线渐近线的方程式,双曲线渐近线方程公式是什么,双曲线渐近线方程公式bx+ay=0,双曲线渐近线方程公式推导。这就是关于《双曲线渐近线公式,双曲线渐近线方程公式(2022年新高考全国2卷数学试题第21题双曲线渐近线点线位置关系)》的所有内容,希望对您能有所帮助!

本文链接:https://bk.89qw.com/a-490354

最近发表
网站分类