百科生活 投稿
关于【16个基本导数公式】:导数的公式(导数的公式和四则运算),今天小编给您分享一下,如果对您有所帮助别忘了关注本站哦。
- 内容导航:
- 1、19考研数学,暑期必备46个知识点04,基本求导公式表
- 2、16个基本导数公式:导数的公式(导数的公式和四则运算)
- 3、高中数学导数8个公式是什么?
- 4、16个基本导数公式是什么?
- 5、16个求导公式是什么?
- 6、数学所有的求导公式
1、19考研数学,暑期必备46个知识点04,基本求导公式表
你好,欢迎来到《46个知识点》栏目,
极限结束了,新的一章开始了,
今天将要解读的考点是:
基本求导公式表。
先吐槽一波昂:
咳咳,极限结束了,老编看了这三天的留言,真是大跌眼镜,这才三天,这么多求答案解析的啊,唉~其实,老编也不想存心难为大家,实在是这个题有点讲烂了的感觉,我们的网协班答疑也好,直播也好,都反复向学员灌输这几个题目的精髓,好,既然这个题目不会做,那么是不是说明你要复习到两点了呢?
开玩笑,没这么严重,既然不会,那就写个答案就可以了嘛,因此在这几天导数比较简单的情况下,我呢,就把前三天的题目的答案写出来,供大家参考,当然,要是还不会,请参考我们的课程相关的讲解,我的选题都是我们课程中比较重要的问题,因此关于这些问题老师的解答也是比较详细的,不会的同学千万不要错过,赶紧补补课~
言归正传:
七种未定式例题:

Emmm…这倒是给我出了一个难题,
这么简单的考点怎么解读?
于是乎……
问题索引:
- 上课的同学基本求导公式表都记住了,看文章的你记住了吗?
- 除了基本求导公式表之外,还有那些求导公式需要记忆?
下面,开始背!

(听老编的话,找张纸把它默写一遍,加深印象~)
那么除了这个求导公式之外,其实还有一些很实用的函数求导你需要记忆,一旦记住了,将会对解题有很大帮助。
例题:
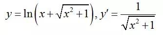
反双曲正弦:

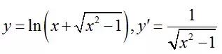
反双曲余弦:

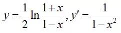
反双曲正切:

在这里,老编特意把这几个函数的真实姓名写了出来,虽说反双曲函数是超纲知识点,但是这些函数隐姓埋名,经常会出现在考研的试卷中,如果不知道结论的话,靠手算?你就慢了~
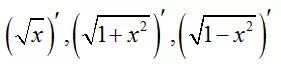
思考题:手算例题中的三个导数,并再算如下三个导数,把结果背下来(不给答案自己算)

——END——
本文来自张宇考研数学
2、16个基本导数公式:导数的公式(导数的公式和四则运算)
导数公式是什么?八个公式:y=c(c为常数) y'=0;y=x^n y'=nx^(n-1);y=a^x y'=a^xlna y=e^x y'=e^x;y=logax y'=logae/x y=lnx y'=1/x ;y=sinx y'=cosx ;y=cosx y'=-sinx ;y=tanx y'=1/cos^。
3、高中数学导数8个公式是什么?
常用导数公式:1、y=c(c为常数) y'=0 2、y=x^n y'=nx^(n-1)3、y=a^x y'=a^xlna,y=e^x y'=e^x 4、y=logax y'=logae/x,y=lnx y'=1/x 5、y=sinx y'=cosx 6、y=cosx y'=-sinx 7、。
4、16个基本导数公式是什么?
16个基本导数公式(y:原函数;y':导函数):1、y=c,y'=0(c为常数)。
2、y=x^μ,y'=μx^(μ-1)(μ为常数且μ≠0)。
3、y=a^x,y'=a^x lna;y=e^x,y'=e^x。
4、y=logax,y'=1/(xlna。
5、16个求导公式是什么?
十六个基本导数公式 (y:原函数;y':导函数):1、y=c,y'=0(c为常数)2、y=x^μ,y'=μx^(μ-1)(μ为常数且μ≠0)。
3、y=a^x,y'=a^x lna;y=e^x,y'=e^x。
4、y=logax, y'=1/(。
6、数学所有的求导公式
数学所有的求导公式 1、原函数:y=c(c为常数)导数: y'=0 2、原函数:y=x^n 导数:y'=nx^(n-1)3、原函数:y=tanx 导数: y'=1/cos^2x 4、原函数:y=cotx 导数:y'=-1/sin^2x 5、原函数:y=sinx 。
本文关键词:高阶导数的公式,导数的公式法则,有关导数的公式,常用导数公式表,函数导数的公式。这就是关于《16个基本导数公式,导数的公式(暑期必备46个知识点04)》的所有内容,希望对您能有所帮助!
- 最近发表