手机版

百科生活 投稿

开普勒第三定律,开普勒第三定律k是什么(三大定律制定九重天上的秩序)

百科 2026-02-18 14:29:06 投稿 阅读:5553次

关于【开普勒第三定律】,开普勒第三定律k是什么,今天小编给您分享一下,如果对您有所帮助别忘了关注本站哦。

  • 内容导航:
  • 1、开普勒第三定律k是什么
  • 2、“天空立法者”开普勒,三大定律制定九重天上的秩序

1、开普勒第三定律k是什么

开普勒第三定律中的k是一个与行星无关的常量,只与中心体质量有关。开普勒第三定律也叫行星运动定律。开普勒第三定律的常见表述是:绕以太阳为焦点的椭圆轨道运行的所有行星,其各自椭圆轨道半长轴的立方与周期的平方之比是一个常量。

行星,通常指自身不发光,环绕着恒星的天体。其公转方向常与所绕恒星的自转方向相同。一般来说行星需具有一定质量,行星的质量要足够的大且近似于圆球状,自身不能像恒星那样发生核聚变反应。

2、“天空立法者”开普勒,三大定律制定九重天上的秩序

每次我们看到浩瀚宇宙,是不是总会有一种想要去探索星辰银河的感觉呢?如果从人类观测天体,记录天象算起,天文学的历史至少已经有五六千年了。

天文学在人类早期的文明史中,占有非常重要的地位。埃及的金字塔、欧洲的巨石阵都是很著名的史前天文遗址,而我们中国早在商代时期,就已有专门的官员负责天文历法,当时采用的是《阴阳合历》,将闰月放在岁末,称为“十三月”。

开普勒第三定律,开普勒第三定律k是什么(三大定律制定九重天上的秩序)

在欧洲,让天文学成为一门系统的学科,则要源自于开普勒,说起天文学,开普勒的地位正如物理学中的牛顿的地位一般。

开普勒和牛顿一样也是一个多面手,在光学、数学、物理学方面都做出了卓越的贡献。微积分正是在开普勒求积的不可分量思想和方法基础上产生和发展起来的。

开普勒第三定律,开普勒第三定律k是什么(三大定律制定九重天上的秩序)

而说起开普勒最巨大的贡献,当然是在天文学上,开普勒也被誉为“天空立法者”,他的开普勒三大定律制定了九重天上的秩序。

开普勒是一个富有创造性想法的人,在图宾根大学毕业后,开普勒在格拉茨研究院当了几年教授。在此期间完成了他的第一部天文学著作。虽然开普勒在该书中提出的学说完全错误,但却从中非常清楚地显露出他的数学才能和富有创见性的思想,由此得到了“星学之王”第谷的赏识。

开普勒第三定律,开普勒第三定律k是什么(三大定律制定九重天上的秩序)

不得不说,第谷也是一位奇人,脾气暴躁,和别人因为一点小事情,发生争吵,就嚷嚷着要决斗,最后,被人用剑削去了鼻子,那个时候可没有整容手术,但是难不倒第谷,他用金属给自己做了一个假鼻子。。。这个鼻子的颜色被做成了肉色,据说第谷整天带着一个小盒子,里面装了胶水,可以随时粘他的鼻子。。。

开普勒第三定律,开普勒第三定律k是什么(三大定律制定九重天上的秩序)

1599 年,开普勒有幸成为了第谷的助手,1600年,开普勒出版了《梦游》一书,这是一部纯幻想作品,由此可见,开普勒很适合做一名科幻小说家。

这本书说的是人类与月亮人的交往。书中谈到了许多不可思议的东西,像喷气推进、零重力状态、轨道惯性、宇宙服等等,人们至今不明白,近400年前的开普勒,他是根据什么想象出这些高科技成果的,从这本书也可以看到开普勒在天文学领域进行了许多的思考与想象。

后来第谷去世,开普勒很幸运地能够得到第谷 20 多年所观察与收集的非常精确的天文资料。他坚信老师的天文资料都是正确的,(幸好第谷的天文资料非常给力,不愧星学之王的美誉),所以他依靠这些天文资料想通过自己强大的数学分析能力来验证当时科学界主流的三种行星运动学说是否正确。

开普勒第三定律,开普勒第三定律k是什么(三大定律制定九重天上的秩序)

第谷和开普勒

这三种行星运动学说分别是哥白尼日心说,古老的托勒密地心说,以及第谷本人提出的“第谷理论”。

托勒密的地心说认为地球处于宇宙中心静止不动。从地球向外依次有月球、水星、金星、太阳、火星、木星和土星,在各自的轨道上绕地球运转。其中,行星的运动要比太阳、月球复杂些:行星在本轮上运动,而本轮又沿均轮绕地运行。在太阳、月球、行星之外,是镶嵌着所有恒星的天球恒星天。再外面,是推动天体运动的原动天。地心说是世界上第一个行星体系模型。托勒密的学说在中世纪成为主流。

开普勒第三定律,开普勒第三定律k是什么(三大定律制定九重天上的秩序)

而哥白尼的日心说观点如下:

1.地球是球形的。如果在船桅顶放一个光源,当船驶离海岸时,岸上的人们会看见亮光逐渐降低,直至消失。

2.地球在运动,并且24小时自转一周。因为天空比大地大的太多,如果无限大的天穹在旋转而地球不动,实在是不可想象。

3.太阳是不动的,而且在宇宙中心,地球以及其他行星都一起围绕太阳做圆周运动,只有月亮环绕地球运行。

因为害怕遭受教会的惩罚,他在临终前出版才出版记载了日心说的不朽名著《天体运行论》,而布鲁诺则因为支持日心说被烧死。

开普勒第三定律,开普勒第三定律k是什么(三大定律制定九重天上的秩序)

第谷则认为所有行星都绕太阳运动,而太阳率领众行星绕地球运动。是一种介于日心说和地心说的理论,曾经传入我国,一度非常流行。

开普勒第三定律,开普勒第三定律k是什么(三大定律制定九重天上的秩序)

第谷理论

但是卡普勒发现这三种学说都不对,要知道开普勒在图宾根大学学习期间,他听到对日心学说所做的合乎逻辑的阐述,很快就相信了这一学说。但是看到哥白尼日心说不符合第谷的数据是,开普勒还是坚信了老师的观察数据是正确的。

后来开普勒在对火星轨道的研究中进行了 70 多次的尝试,最终计算出来的结果都和第谷的观测数据有8度的角度偏差,既然第谷的观测数据没有错,自己的计算也没有错,那么肯定是对匀速圆周运动的假定,导致了角度偏差。

最终,他发现问题的所在,第谷、拉格茨·哥白尼以及所有的经典天文学家一样,都认为天体的运动是最完美的,都假定行星轨道是由圆或复合圆组成的。天体的运动是最完美的、最鹭港的匀速圆周运动。

开普勒第三定律,开普勒第三定律k是什么(三大定律制定九重天上的秩序)

哥白尼天体匀速圆周运动

开普勒得出了结论,实际上行星轨道不是圆形而是椭圆形,行星是沿着椭圆运动轨道运动。

开普勒第三定律,开普勒第三定律k是什么(三大定律制定九重天上的秩序)

第谷利用工具肉眼观星,火星位置黄经误差小于2分

在得出这样的结论之后,后来他又利用第谷的观察数据,绘制出了第一张精确的太阳系地图,得出了行星公转的速度不等恒以及地球是在不断运动的等结论。开普勒花费数月的时间来进行复杂而冗长的计算,以证实他的学说与第谷的观察相符合。

最终,他于1609年在他出版的《新天文学》科学杂志上发表了关于行星运动的两条定律,又于1618年,发现了第三条定律。开普勒三大定律的提出,彻底摧毁了托勒密复杂的宇宙体系,完善并简化了哥白尼的日心说。

开普勒三大定律分别是开普勒第一定律,也称椭圆定律、轨道定律:每一个行星都沿各自的椭圆轨道环绕太阳,而太阳则处在椭圆的一个焦点中。

开普勒第三定律,开普勒第三定律k是什么(三大定律制定九重天上的秩序)

开普勒第一定律证明过程

后来,学者们把第一定律修改成为:所有行星(和彗星)的轨道都属于圆锥曲线,而太阳则在它们的-一个焦点上。

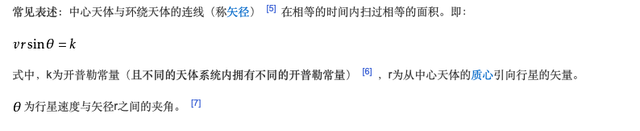
开普勒第二定律,也称等面积定律:在相等时间内,太阳和运动着的行星的连线所扫过的面积都是相等的。表述如下:

开普勒第三定律,开普勒第三定律k是什么(三大定律制定九重天上的秩序)

开普勒第二定律的应用非常广泛。比如某行星沿椭圆轨道运行,我们知道它远日点离太阳的距离,又知道近日点离太阳的距离,还知道,还知道过远日点是行星的速率,我们就可以知道过近日点时的行星速率是多少。

开普勒第二定律是对行星运动轨道更准确的描述,为哥白尼的日心说提供了有力证据,并为牛顿后来的万有引力证明提供了论据。不过第二定律只在行星质量比太阳质量小得多的情况下才是精确的。如果考虑到行星也吸引太阳,这便形成了一个二体问题。

开普勒第三定律,开普勒第三定律k是什么(三大定律制定九重天上的秩序)

二体问题

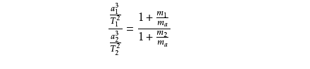
开普勒第三定律,也称周期定律:各个行星绕太阳公转周期的平方和它们的椭圆轨道的半长轴的立方成正比。论述如下:

开普勒第三定律,开普勒第三定律k是什么(三大定律制定九重天上的秩序)

后来,经过修正后的第三定律的精确公式为:

开普勒第三定律,开普勒第三定律k是什么(三大定律制定九重天上的秩序)

牛顿也曾利用开普勒第三定律推导出万有引力定律,牛顿假定太阳质量足够大,不会受到行星运动影响,因此不存在双星系统的问题;太阳和行星均为质点,有质量,无体积,并且太阳和行星的质量分布均满足密度仅与距自身质心距离相关,从而推导出了万有引力定律。

牛顿利用开普勒三大定律推导万有引力定律不是一蹴而就的,他曾在 1665~1666 年间只用离心力定律和开普勒第三定律,因而只能证明圆轨道上的而不是椭圆轨道上的引力平方反比关系。

开普勒第三定律,开普勒第三定律k是什么(三大定律制定九重天上的秩序)

到了在 1679 年,他又运用了开普勒第二定律,但还是延用原先的方法。到了1684年1月,哈雷、雷恩、胡克和牛顿都能够证明圆轨道上的引力平方反比关系,都已经知道椭圆轨道上遵守引力平方反比关系,最后只有牛顿根据开普勒第三定律、从离心力定律演化出的向心力定律和数学上的极限概念或微积分概念,用几何法最终证明了这个难题。进一步得出所有物体之间万有引力都在起作用的结论。这个引力与相互吸引的物体的质量成正比,与它们之间的距离的平方成反比。牛顿根据这个定律建立了天体力学的严密的数学理论,从而把天体的运动纳入到根据地面上的实验得出的力学原理之中。

开普勒第三定律,开普勒第三定律k是什么(三大定律制定九重天上的秩序)

牛顿的推导逻辑

开普勒三大定律的发现可以说是是天文学的一次革命,它摧毁了托勒密繁杂的本轮宇宙体系,完善和简化了哥白尼的日心宇宙体系。

哥白尼日心说的缺陷:

1.太阳并非宇宙中心,而是太阳系的中心。

2.地球并非是引力的中心。

3.天空中看到的任何运动,不全是地球运动引起的。

4.地球和其他行星的运行轨道是椭圆而不是圆,不做圆周运动。

并且从物理结构上解释了太阳系结构的动力学原因,对后人寻找出太阳系结构的奥秘具有重大的启发意义,为经典力学的建立、牛顿的万有引力定律的发现,都作出重要的提示。

开普勒定律适用于宇宙中-切绕心的天体运动。在宏观低速天体运动领域具有普遍意义。对于高速的天体运动,开普勒定律提供了其回归低速状态的方程。也就是说,开普勒第二定律及其引出的推论,不仅适用绕太阳运转的所有行星,在如今 21 世纪,开普勒三大定律不仅适用于恒星,还适用于卫星。只不过此时比值 K 是由行星质量所决定的另一恒量。

开普勒第三定律,开普勒第三定律k是什么(三大定律制定九重天上的秩序)

这也是为什么开普勒三大定律被誉为制定了九重天的秩序的原因!

本文关键词:开普勒三定律k的值,开普勒第三定律k等于多少,开普勒第三定律中的k等于什么,开普勒第三定律k表示什么,开普勒第三定律的k等于多少。这就是关于《开普勒第三定律,开普勒第三定律k是什么(三大定律制定九重天上的秩序)》的所有内容,希望对您能有所帮助!

本文链接:https://bk.89qw.com/a-504029

最近发表
网站分类