手机版

百科生活 投稿

二氧化锰是氧化物吗,二氧化锰是不是氧化物(常用氧化剂——二氧化锰)

百科 2026-02-20 06:52:25 投稿 阅读:563次

关于【二氧化锰是氧化物吗】:二氧化锰是不是氧化物,今天小编给您分享一下,如果对您有所帮助别忘了关注本站哦。

  • 内容导航:
  • 1、二氧化锰是氧化物吗:二氧化锰是不是氧化物
  • 2、常用氧化剂——二氧化锰(MnO2)

1、二氧化锰是氧化物吗:二氧化锰是不是氧化物

  二氧化锰化学式MnO2,由锰元素和氧元素组成,氧化物的定义是指氧元素与另外一种化学元素组成的二元化合物,二氧化锰符合氧化物定义,所以是氧化物。

  并且二氧化锰是两性氧化物,因为它可以和酸也可以和碱反映。

  二氧化锰一般用作干电池去极剂,合成工业的催化剂和氧化剂,玻璃工业和搪瓷工业的着色剂、消色剂、脱铁剂等。还用于制造金属锰、特种合金、锰铁铸件、防毒面具和电子材料铁氧体等。另外,还可用于橡胶工业以增加橡胶的粘性和在化学实验中用做催化剂。

2、常用氧化剂——二氧化锰(MnO2)

二氧化锰(MnO2)

反应机理下载链接:http://chem.kingdraw.cn/Shortlink?id=20220430150426

【英文名称】Manganese Dioxide

【分子式】MnO2

【分子量】86.94

【CAS号】1313-13-9

【物理性质】深棕色粉末,mp 535 °C (分解),d 5.03g/cm3。不溶于水和有机溶剂。

【制备和商品】国内外试剂公司均有销售。

不饱和脂肪醇的氧化

用MnO2能够将烯丙基醇转化成为α,β-乙烯基醛。当醇或胺存在时,酰基氰化物会醇解或氨解得到相应的α,β-乙烯基酯和酰胺。炔丙基醇可以被MnO2氧化成为相应的醛和酮,而不稳定的炔丙基醛能进一步得到Michael产物。

二氧化锰是氧化物吗,二氧化锰是不是氧化物(常用氧化剂——二氧化锰)

苯基醇和杂环醇的氧化

苄醇可以被MnO2氧化成为相应的芳醛或芳酮,而对其它官能团却没有影响。

二氧化锰是氧化物吗,二氧化锰是不是氧化物(常用氧化剂——二氧化锰)

饱和醇的氧化

MnO2可以将饱和的脂肪醇和脂肪环醇氧化,高产率地得到饱和的醛或酮。1,2-二醇很容易被MnO2氧化为羟基醛或酮,而1,2-环二醇则反应生成二醛或者是二酮。这在很大程度上决定于反应物的结构。

二氧化锰是氧化物吗,二氧化锰是不是氧化物(常用氧化剂——二氧化锰)

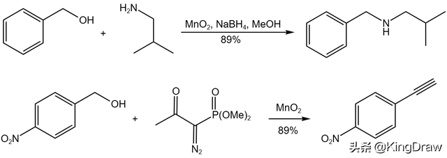
胺与炔的合成

在硼氢化钠存在下, α,β-不饱和烯醇氧化后可以与胺进一步发生还原氨化反应。伯醇在MnO2氧化后用Bestmann-Ohira试剂处理可以得到端炔。

二氧化锰是氧化物吗,二氧化锰是不是氧化物(常用氧化剂——二氧化锰)

氰基转化为酰胺

在硅胶的参与下,MnO2 能够把氰基转化为酰胺。

二氧化锰是氧化物吗,二氧化锰是不是氧化物(常用氧化剂——二氧化锰)

胺类化合物的氧化

用MnO2氧化胺可以得到甲酰胺或重氮化合物等。二烷基羟胺用MnO2氧化会得到相应的硝酮。

二氧化锰是氧化物吗,二氧化锰是不是氧化物(常用氧化剂——二氧化锰)

其它反应

MnO2也可以用来发生其它反应,例如: α-羟基酸的裂解、 二芳基甲烷的氧化、二芳基酮的转化、醛到羧酸的转化、由硫制备二硫化 物、由磷制备磷化物或是由胺制备酮。最近,在二氧化锰中添加高锰酸钾的绿色循环方法也有了广泛的应用。

二氧化锰是氧化物吗,二氧化锰是不是氧化物(常用氧化剂——二氧化锰)

本文关键词:二氧化锰是化合物还是氧化物,氢氧化二锰是氧化物吗,二氧化锰是不是氧化物离子,二氧化锰是什么性的氧化物,二氧化锰是不是氧化剂。这就是关于《二氧化锰是氧化物吗,二氧化锰是不是氧化物(常用氧化剂——二氧化锰)》的所有内容,希望对您能有所帮助!

本文链接:https://bk.89qw.com/a-504922

最近发表
网站分类