百科生活 投稿
关于【什么叫调和级数】,什么叫调和级数,今天小编给您分享一下,如果对您有所帮助别忘了关注本站哦。
- 内容导航:
- 1、什么叫调和级数
- 2、欧拉发现的最深刻的数学真理之一,一个数学奇迹,揭示数字的结构
1、什么叫调和级数
调和级数定义:
调和级数是一个发散的无穷级数,这个级数名字源于泛音及泛音列一条振动的弦的泛音的波长依次是基本波长的二分之一、三分之一等等。
调和序列中,第一项之后的每一项都是相邻两项的调和平均数;而“调和平均数”一词同样地也是源自音乐。很早就有数学家研究,比如中世纪后期的数学家在1360年就证明了这个级数是发散的。后一个级数每一项对应的分数都小于调和级数中每一项,而且后面级数的括号中的数值和都为二分之一,这样的二分之一有无穷多个,所以后一个级数是趋向无穷大的,进而调和级数也是发散的。从更广泛的意义上讲,如果An是全部不为0的等差数列,则An的倒数就称为调和数列,求和所得即为调和级数,易得,所有调和级数都是发散于无穷的。
2、欧拉发现的最深刻的数学真理之一,一个数学奇迹,揭示数字的结构
这是我所见过的最美丽的数学“东西”之一,是由18世纪的数学家欧拉发现的,对于欧拉及其作品,我们做过很多介绍:
欧拉常数——最神秘的数字,调和级数的产物,至今看不清它的面貌
很多人真正爱上数学,是从欧拉公式开始的,它到底有怎样的魔力?
世界上最短的数学论文系列,关于费马大定理和欧拉猜想
调和级数——自然真理是如何隐藏在数字中的,永远不要相信直觉
又是欧拉,用代数法求解四次方程的通解,伟大头脑的一个精妙设计
这位数学家所做的很多数学工作本身就令人震惊。为了理解我所说的和文章开头的图片,我们先问自己一个简单的问题:在不考虑顺序的情况下,有多少种方式可以将一个数字写成其他数字的总和?
这是一个相当难的问题,让我们先从一些简单的例子入手,比方说4,现在所有这些所谓的 "方式 "是:
这就是所谓的4的分割(请允许我这么称呼),这些是把4分成其他正整数的方法。假设p(4)代表4的分割量,那么p(4)=5。不管你信不信,p(100)=190,569,292,这意味着有190,569,292种方法可以把100写成正整数之和。
一个数字的分割量是一个非常深刻的数学问题,欧拉发现的最深刻的真理之一,可以用来精确地根据其他数字的分割量来计算一个数字的分割量。首先让我们列出一些数字的分割量的数值:
- p(0)=1
- p(1)=1
- p(2)=2=p(1)+p(0)
- p(3)=3=p(2)+p(1)
- P(4)=5=P(3)+P(2)
- p(5)=7=p(4)+p(3)-p(0)
- p(6)=11=p(5)+p(4)-p(1)
- p(7)=15=p(6)+p(5)-p(2)-p(1)
- p(8)=22=p(7)+p(6)-p(3)-p(1)
- p(9)=30=p(8)+p(7)-p(4)-p(2)
p(数字)=p(数字-1)+p(数字-2)-p(数字-5)-p(数字-7)-…
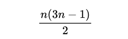
这相当有趣。现在,这些数字(1、2、5、7、12、15、22…)是什么?看看每一个奇数位置的数字(比如第1个、第3个、第5个等等),把它们列出来:1、5、12、22…,尽管它们可能只是看起来很随机,但它们确实有一个非常简单的规律,这个规律是:
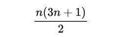
这正是它的本质,至于偶数,其中第n个数字的确切值是:
这些数字是所谓的 "五边形数",

- 五边形数是能排成五边形的多边形数。其概念类似三角形数及平方数,不过五边形数和三角形数及平方数不同,所对应的形状没有旋转对称(Rotational symmetry)的特性。
欧拉证明了,对于n是你选择的任何数字,对于p(0)=1和对于所有负数,它们的分割量是0,我们有:
这揭示了所有数字分割量的真理。
本文关键词:什么是调和级数?,什么叫调和级数?,什么叫调和级数和几何级数,调和级数还有什么级数,什么叫调和级数发散。这就是关于《什么叫调和级数,什么叫调和级数(欧拉发现的最深刻的数学真理之一)》的所有内容,希望对您能有所帮助!
- 最近发表