手机版

百科生活 投稿

怎么找间断点的技巧,间断点怎么找点(高等数学之函数间断点判断方法总结)

百科 2026-02-04 23:24:38 投稿 阅读:3338次

关于【怎么找间断点的技巧】,间断点怎么找点,今天小编给您分享一下,如果对您有所帮助别忘了关注本站哦。

  • 内容导航:
  • 1、怎么找间断点的技巧
  • 2、高等数学之函数间断点判断方法总结

1、怎么找间断点的技巧

直接找出无定义的点,就是间断点。然后用左右极限判断是第一类间断点还是第二类间断点,第一类间断点包括第一类可去间断点和第一类不可去间断点。如果该点左右极限都存在,则是第一类间断点,其中如果左右极限相等,则是第一类可去间断点,如果左右极限不相等,则是第一类不可去间断点,即第一类跳跃间断点。

间断点是指:在非连续函数y=f(x)中某点处xo处有中断现象,那么,xo就称为函数的不连续点。间断点可以分为无穷间断点和非无穷间断点,在非无穷间断点中,还分可去间断点和跳跃间断点。左右极限存在且相等是可去间断点,左右极限存在且不相等才是跳跃间断点。可去间断点:函数在该点左极限、右极限存在且相等,但不等于该点函数值或函数在该点无定义。如函数y=(x^2-1)/(x-1)在点x=1处。

2、高等数学之函数间断点判断方法总结

若f(x)函数在点X0处不连续,则称点X0为函数f(x)的不连续点或间断点,函数间断点的分类如下:

  • 第一类间断点:函数f(x)在X0处的左极限和右极限都存在

第一类间断点包含以下两类:

(1) 可去间断点:函数f(x)在X0处的左极限等于右极限;

(2) 跳跃间断点:函数f(x)在X0处的左极限不等于右极限;

  • 第二类间断点:函数f(x)在X0处的左极限和右极限至少有一个不存在。

方法总结:判断函数间断点的类型,关键在于看函数在间断点处的左右极限是否存在。

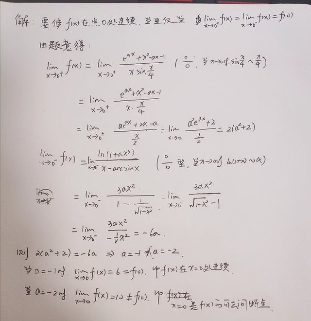
例一:

怎么找间断点的技巧,间断点怎么找点(高等数学之函数间断点判断方法总结)

分析:本题要确定参数a的值,使得当参数a为不同值时,函数在0点连续,或在0点为可去间断点。解决这一类题的方法就是严格扣住函数连续和可去间断点的定义。

解:

怎么找间断点的技巧,间断点怎么找点(高等数学之函数间断点判断方法总结)

备注:做这类题一定要扣住定义。

例2:

怎么找间断点的技巧,间断点怎么找点(高等数学之函数间断点判断方法总结)

分析:x=0为函数f(x)的第二类间断点,则当x趋于0时,函数f(x)的极限不存在;x=1为函数f(x)的可去间断点,则当x趋于1时,函数f(x)的极限存在。

解:

本文关键词:如何找出间断点,怎么去找间断点,间断点如何找,咋找间断点,间断点应该怎么找。这就是关于《怎么找间断点的技巧,间断点怎么找点(高等数学之函数间断点判断方法总结)》的所有内容,希望对您能有所帮助!

本文链接:https://bk.89qw.com/a-507230

最近发表
网站分类