手机版

百科生活 投稿

亲核反应和亲电反应区别,亲核反应和亲电反应区别在于(污水处理臭氧氧化法原理及影响因素)

百科 2026-02-14 05:55:52 投稿 阅读:9755次

关于【亲核反应和亲电反应区别】,亲核反应和亲电反应区别在于,今天小编给您分享一下,如果对您有所帮助别忘了关注本站哦。

  • 内容导航:
  • 1、亲核反应和亲电反应区别
  • 2、污水处理臭氧氧化法原理及影响因素

1、亲核反应和亲电反应区别

亲核反应通常发生于卤代烃,羟醛缩合类反应当中,羰基碳正电性强的活性强,空间阻碍小的活性强,连有吸电子基可使正电性加强,推电子基减弱,重点是亲核取代。而亲电反应一般发生在亲电加成中,并且是反式加成,加成中间体为卤桥正离子,反应是分步进行的。

2、污水处理臭氧氧化法原理及影响因素

1. 臭氧氧化法的基本原理

20 世纪末,随着高频高压电晕放电的应用,相关技术应用及产业规模快速发展。目前,臭氧氧化技术早已成为水处理领域中极具发展及应用前景的技术。臭氧氧化过程可分为直接氧化和间接氧化。由的电子结构可知:既可作为亲电试剂,也可作为亲核试剂,臭氧两端的氧原子还可发生环加成反应。 因此,臭氧直接氧化机理可分为亲电反应、亲核反应以及加成反应。直接氧化存在选择性,面对饱和脂肪族等有机物,难以直接将其氧化;并且性质不稳定,会自行分解并释放出热量,如式 (1) 所示:

亲核反应和亲电反应区别,亲核反应和亲电反应区别在于(污水处理臭氧氧化法原理及影响因素)

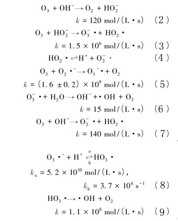
臭氧间接氧化是指在水溶液中,与等作用产生●OH,再通过●OH氧化污染物。目前,关于在水体中链式分解的解释主要有TFG 和SBH 机理。在碱性条件下,与 的反应主要以TFG 模式进行,关键步骤如式(2) ~(6) 所示;而在弱酸性及中性条件下,则主要以SBH 模式进行,关键步骤如式 (7) ~( 9) 所示。二者之间的差别在于链引发的方式不同,SBH 模式为单电子转移过程,TFG 模式为两电子转移过程。

亲核反应和亲电反应区别,亲核反应和亲电反应区别在于(污水处理臭氧氧化法原理及影响因素)

后来根据不同实验结果对这两个机理进行修正,发展出SBH-1998、SBH-2009、TFG-2009 和NGF 等机理。利用Acuchem 软件模拟了链式分解过程,当pH= 5 和pH= 7 时,C-SBH-1998 与实际结果拟合良好,当pH = 10. 5 时,C-TFG-2009 与实际结果拟合良好。

2. 臭氧氧化法的影响因素

臭氧氧化法主要受pH、温度、投加量/投加方式、淬灭剂等影响。

由反应原理可知:pH 值影响与污染物的反应机制及反应动力学,酸性条件下与污染物的反应主要以直接氧化为主,反应速率常数k 为~mol /( L·s) ,当pH<4 时,间接氧化作用可忽略不计;而在碱性条件下,主要以间接氧化为主,k 为~mol /( L·s) 。当介质处于弱酸性与中性时,间接氧化以SBH 模式为主; 当处于碱性时,间接氧化以TFG 模式为主。

温度影响在水体中的溶解度、稳定性及反应速率,升温会导致溶解度下降并加快分解,但升温有利提高反应速率。投加量直接影响污染物的降解效果。一般而言,增大投加量,污染物去除率会逐渐提高,但随着投加量的增加增幅逐渐减小,故投加量存在一个效果与经济均较佳的范围,因此要根据反应体系条件、处理目标、处理对象等确定; 另外,还需要考虑到溴酸盐、甲醛等臭氧化副产物的生成问题。

投加方式影响传质过程。常见的投加方式有预投加、中间投加等。研究表明,多点布气和增加布气点数有助于传质,但当布气点数高于3 个点时,传质效率无明显提高并容易导致出水浓度过高。介质自由基淬灭剂如、、等会与污染物分子形成竞争,降低氧化效率。在实际应用中,可以通过加强预处理减少淬灭剂含量。

本文关键词:什么是亲核反应什么是亲电反应,亲核反应和亲电反应主要区别,亲核反应和亲电反应区别自由基,亲核反应和亲电反应区别在哪,亲核反应和亲电反应区别举例。这就是关于《亲核反应和亲电反应区别,亲核反应和亲电反应区别在于(污水处理臭氧氧化法原理及影响因素)》的所有内容,希望对您能有所帮助!

本文链接:https://bk.89qw.com/a-507390

最近发表
网站分类