手机版

百科生活 投稿

tanx的反函数,arctan-1等于多少(导数的定义及其几何意义、与连续性的关系以及函数的求导法则)

百科 2026-02-15 07:58:36 投稿 阅读:1637次

关于【tanx的反函数】:arctan-1等于多少,今天小编给您分享一下,如果对您有所帮助别忘了关注本站哦。

  • 内容导航:
  • 1、tanx的反函数:arctan-1等于多少
  • 2、导数的定义及其几何意义、与连续性的关系以及函数的求导法则

1、tanx的反函数:arctan-1等于多少

  arctan-1=-π/4≈-0.785。arctan指反正切函数,反正切函数是反三角函数的一种,即正切函数的反函数。

  arctan-1=-π/4

  Arctangent(即arctan)指反正切函数,即部分正切函数的反函数。反正切函数是数学术语,指函数y=tanx的反函数。计算方法:设两锐角分别为A,B,则有下列表示:若tanA=1.9/5,则A=arctan1.9/5。若tanB=5/1.9,则B=arctan5/1.9。如果求具体的角度可以查表或使用计算机计算。

  arctan是什么意思

  arctan就是反正切的意思,例如:tan45度=1,则

  arttan1=45度,就是求“逆”的运算,就好比乘法的“逆”运算是除法一样。

  类似的还有arcsin就是反正弦。

  sin30度=1/2,则arcsin1/2=30度。

  此外,还有arccos和arccot等等。

2、导数的定义及其几何意义、与连续性的关系以及函数的求导法则

大家好,我是专升本数学学霸,这次我们来讨导数的定义及其几何意义、与连续性的关系以及函数的求导法则。那你知道导数的定义及其几何意义、与连续性的关系以及函数的求导法则呢?没关系,学霸来帮你来了。

谈论导数之前,我们先看看两个例子:

直线运动的速度①取从时刻 t0到t这样一个时间价格,在这段时间内,质点从为止S0=f(t0)移动到s=f(t); (s-s0)/t-t0=f(t)-f(t0)/t-t0,质点的平均速度。②瞬时速度v=lim ( (f(t) )-(f(t0) )/(t-t0) ) (t→t0)切线问题设有曲线C及C上的一点M,在点M外另取C上一点N,作割线MN。当点N沿曲线C趋于点M时,如果各项MN绕点M旋转而趋于极限为止MT,直线MT就称为曲线C在点M处的的切线。

tan θ=(y-y0)/(x-x0)=(f(x)-f(x0))/(x-x0)

斜率k=lim (f(x)-f(x0))/(x-x0)(x→x0)

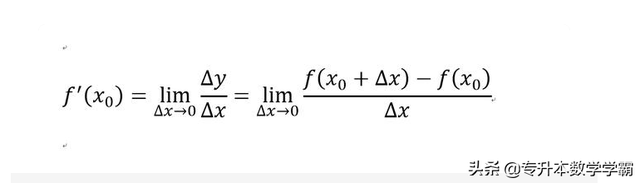
一、导数的定义

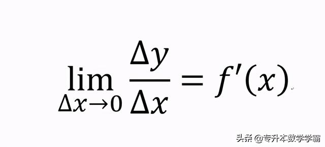
设函数 y=f(x)在点x0的某个领域内有定义,当自变量x在x0处取得增量△x(点x0+△x仍在该邻域内)时,相应地,因变量取得增量 △y=f(x0+△x)-f(x0);如果 △y与△x之比当△x→0时的极限存在,那么称函数y=f(x)在点x0处可导,并称这个极限为函数y=f(x)的在点x0处可导,并称这个极限为函数y=f(x)在点x0处的导数,记为f'(x0),即

tanx的反函数,arctan-1等于多少(导数的定义及其几何意义、与连续性的关系以及函数的求导法则)

也可记住

tanx的反函数,arctan-1等于多少(导数的定义及其几何意义、与连续性的关系以及函数的求导法则)

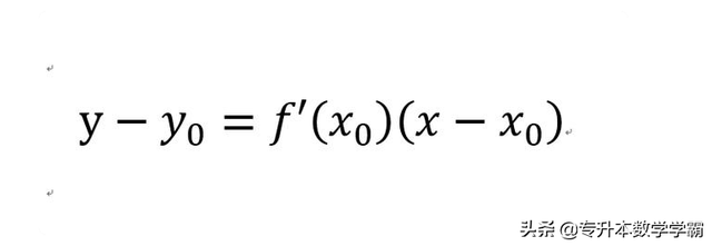
二、导数的几何意义

曲线在点(x0,y0)的切线方程:

tanx的反函数,arctan-1等于多少(导数的定义及其几何意义、与连续性的关系以及函数的求导法则)

曲线在点(x0,y0)的法线方程:

tanx的反函数,arctan-1等于多少(导数的定义及其几何意义、与连续性的关系以及函数的求导法则)

注:曲线的 切线方程的斜率 与 曲线的 法线方程的斜率 互为负倒数

三、函数的可导性与连续性的关系

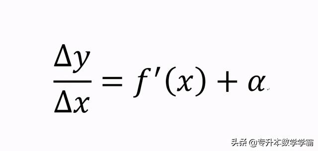
设函数y=f(x)在点x处可导,即

tanx的反函数,arctan-1等于多少(导数的定义及其几何意义、与连续性的关系以及函数的求导法则)

存在。由具有极限的函数与无穷小的关系知道

tanx的反函数,arctan-1等于多少(导数的定义及其几何意义、与连续性的关系以及函数的求导法则)

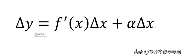
其中α为当 △x→0时的无穷小,上式两边同乘 △x 得

tanx的反函数,arctan-1等于多少(导数的定义及其几何意义、与连续性的关系以及函数的求导法则)

当 △x→0时,△y→0。函数yy=f(x)在点x处是连续的。所以,如果函数y=f(x)在点x处可导,那么函数在该点必连续。

四、函数的求导法则

①函数的和、差、积、商的求导法则

和、差: (u ± v)’=u’± v’

记:和、差的导数分别求导,再和、差。

积:(uv)=u' v+u v' , (Cu)'=C u'(C为常数)

简记:乘积的导数是 前导后不导加上后导前不导(前是指 乘积中的第一个因子,后是指 乘积中的第二个因子)。

商:(u/v)'=(u' v-u v') / v^2 (v不等于0)

简记:商的导数是 子导母不导 减去 母导子不导 最后 除以 分母的平方(子 指分子,母指 分母)。

②反函数的求导法则

如果函数 x=f(y)在区间I内单调、可导且f '(x)≠0,那么它的反函数在反函数的区间内也可导,且

tanx的反函数,arctan-1等于多少(导数的定义及其几何意义、与连续性的关系以及函数的求导法则)

记:反函数的导数 等于 原函数的导数的倒数

③复合函数的求导法则

如果u=g(x) 在点x可导,而y=f(u)在点u=g(x)可导,那么复合函数 y=f[g(x)]在点x可导,其导数为

tanx的反函数,arctan-1等于多少(导数的定义及其几何意义、与连续性的关系以及函数的求导法则)

记:复合函数的导数 等于 一层一层往里面求导,再乘积。

例如 (sin nx)'= n cos nx

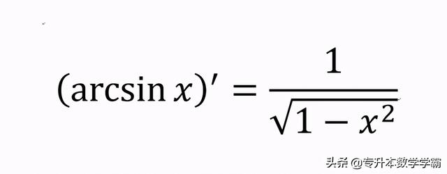
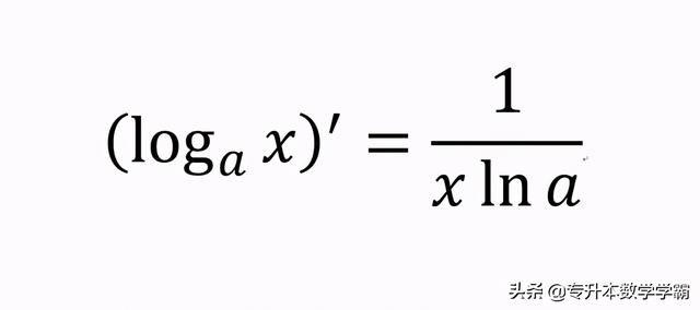
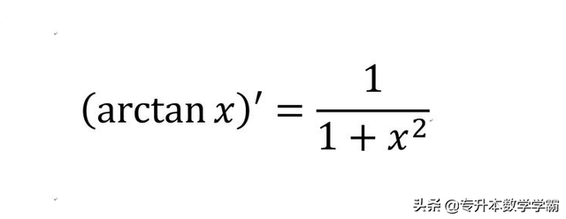
④常用的导数公式

(1)( C )'=0

(2)(x^u)'=u x^(u-1)

(3)(sin x)'= cos x

(4) (cos x)'=-sin x

(5)(tan x)'= sec(^2) x

(6)(cot x)'=-csc(^2) x

(7)(sec x)'=sec x ·tanx

(8)(csc x)'=-csc x cot x

(9)(a^x)'=(a^x) · ln a

(10)(e^x)'=e^x

(11)

tanx的反函数,arctan-1等于多少(导数的定义及其几何意义、与连续性的关系以及函数的求导法则)

(12)

tanx的反函数,arctan-1等于多少(导数的定义及其几何意义、与连续性的关系以及函数的求导法则)

(13)

tanx的反函数,arctan-1等于多少(导数的定义及其几何意义、与连续性的关系以及函数的求导法则)

(14)

tanx的反函数,arctan-1等于多少(导数的定义及其几何意义、与连续性的关系以及函数的求导法则)

(15)

tanx的反函数,arctan-1等于多少(导数的定义及其几何意义、与连续性的关系以及函数的求导法则)

(16)

tanx的反函数,arctan-1等于多少(导数的定义及其几何意义、与连续性的关系以及函数的求导法则)

不要怕,学霸来帮你来了,这几个有口诀可以帮助记忆:

口诀:

常为零,幂降次,对倒数,

指不变,正变余,余变正,

切割方,割乘切,反分式。

口诀含义:

常数的的导数为零。

幂函数的导数是指数减一,在把原指数做系数。

对数函数的导数是倒数。

指数的导数不变,在乘以 ln a。

正弦函数变余弦函数,余弦函数变正弦函数。

正切和余切的导数分别是正割的平方和余割的平方。

正割和余割的导数分别是 正割乘以正切 和 余割乘以余切

反三角函数的导数都是分式。

五、高阶导数

一般地,函数y=f(x)的导数 y'=f'(x)仍然是x的函数。我们把 y'=f'(x)的导数叫做函数y=f(x)的二阶导数,记作 y'' 或

tanx的反函数,arctan-1等于多少(导数的定义及其几何意义、与连续性的关系以及函数的求导法则)

f'(x)叫做f(x)的一阶导数,一阶导数的导数是二阶导数,二阶导数的导数是三级导数。

...一般地,(n-1)阶导数的导数叫n阶导数。

y', y'' ,y''', y^(4), . . . . . .y^(n)

本文关键词:tanx的反函数是有界函数吗,tanx的反函数图像,tanx的反函数是cotx吗,tanx的反函数,tanx的反函数的极限。这就是关于《tanx的反函数,arctan-1等于多少(导数的定义及其几何意义、与连续性的关系以及函数的求导法则)》的所有内容,希望对您能有所帮助!

本文链接:https://bk.89qw.com/a-510167

最近发表
网站分类