手机版

百科生活 投稿

复数的共轭复数,复数的共轭复数怎么求(高等数学基础<先修> 复数)

百科 2026-04-14 00:26:04 投稿 阅读:4332次

关于【复数的共轭复数】,复数的共轭复数怎么求,今天小编给您分享一下,如果对您有所帮助别忘了关注本站哦。

  • 内容导航:
  • 1、复数的共轭复数怎么求
  • 2、高等数学基础(先修) 复数

1、复数的共轭复数怎么求

复数的共轭复数很简单,只要把虚部取反即可,例如:复数5/3+4i的共轭复数是5/3-4i。

两个实部相等、虚部互为相反数的复数互为共轭复数。

当虚部不为零时,共轭复数就是实部相等,虚部相反;如果虚部为零,其共轭复数就是自身(当虚部不等于0时也叫共轭虚数)。

根据定义,若z=a+bi(a,b∈R),则=a-bi(a,b∈R)。

2、高等数学基础(先修) 复数

一、概念

a+bi(a,b∈R)。全体复数叫复数集。

a=b=0,实数0

b=0,实数a

a=0且b≠0,纯虚数

a≠0且b≠0,,a为实部、b为虚部。

复数可以通过Z(a,b)表示,x轴为实轴,y轴为虚轴。

当实部相等,虚部为相反数时,两个复数叫共轭复数,虚部不等于0时也叫做共轭虚数。

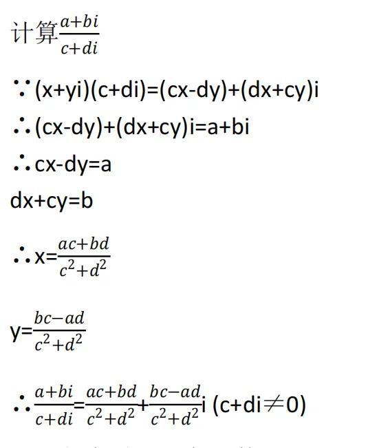
二、运算

(a+bi)+(c+di)=(a+c)+(b+d)i

复数的加法满足交换律、结合律。

(a+bi)(c+di)=(ac-bd)+(bc+ad)i

复数的乘法满足交换律、结合律以及分配律。

复数的共轭复数,复数的共轭复数怎么求(高等数学基础<先修> 复数)

本文关键词:求一个复数的共轭复数,怎样求复数的共轭复数,复数中的共轭复数,复数的共轭复数怎么算,如何求共轭复数。这就是关于《复数的共轭复数,复数的共轭复数怎么求(高等数学基础<先修>复数)》的所有内容,希望对您能有所帮助!

本文链接:https://bk.89qw.com/a-510551

最近发表
网站分类