手机版

百科生活 投稿

et是什么基团,ET是什么基团(蛋白质的异戊二烯化)

百科 2026-02-16 21:05:49 投稿 阅读:4108次

关于【et是什么基团】,ET是什么基团,今天小编给您分享一下,如果对您有所帮助别忘了关注本站哦。

  • 内容导航:
  • 1、et是什么基团
  • 2、蛋白质的异戊二烯化

1、et是什么基团

Et代表乙基,乙基(外文名Ethylgroup),乙烷分子中去掉一个氢原子后剩下的一价疏水性烷基官能团。由碳和氢元素组成。乙基还能构成乙醇(C₂H₅OH)、乙醚(C₂H₅OC₂H₅)、溴乙烷(C2H5Br)等有机物。乙醇是常用的燃料、溶剂和消毒剂,也用于制取其他化合物,工业酒精含有少量甲醇,医用酒精是浓度为75%左右的乙醇。乙醇与甲醚是同分异构体。

2、蛋白质的异戊二烯化

蛋白质的异戊二烯化(prenylation)是脂化修饰的一种,指在受体蛋白质上添加聚异戊二烯(萜类)修饰基团。萜类基团通过硫醚键连接在蛋白质羧基末端的半胱氨酸侧链巯基上。

人体中已经发现超过120种蛋白质被异戊二烯化修饰,包括多种异源三聚体G蛋白的γ亚基、小GTP酶的Ras超家族成员、核纤层蛋白以及几种蛋白激酶和蛋白磷酸酶。

目前发现的萜类基团有两种:15个碳(倍半萜)的法尼基(farnesyl),20个碳(二萜)的基香叶基香叶基(geranylgeranyl,也称为牻牛儿基牻牛儿基)。香叶是中药名,指香叶天竺葵(牻牛儿苗科植物)的叶子。香叶基是单萜,也叫牻牛儿基。

et是什么基团,ET是什么基团(蛋白质的异戊二烯化)

香叶天竺葵。百度图片

这两种萜类基团都来自胆固醇合成途径,以法尼基焦磷酸(FPP)或香叶基香叶基焦磷酸(GGPP)的形式参与反应。催化的酶是法尼基转移酶(FTase)和香叶基香叶基转移酶(GGTase)。GGTase有两种,GGTase-I和GGTase-II,具有不同的底物专一性。

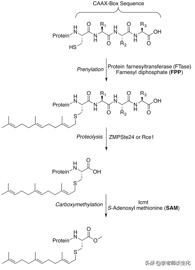
GGTase-I和FTase的底物C末端都具有CAAX共有序列,其中C为半胱氨酸,A为任何脂肪族氨基酸(除丙氨酸外),X为C末端氨基酸。异戊二烯化之后,AAX通常会被切除,C就成为羧基末端,并被羧甲基化。

et是什么基团,ET是什么基团(蛋白质的异戊二烯化)

两种萜类基团和三种异戊二烯基转移酶。ACS Chem Biol. 2015 Jan 16; 10(1): 51–62.

CaaX序列中的X残基决定了蛋白是法尼基化还是香叶基香叶基化。FTase优先选择X残基为丙氨酸、丝氨酸、蛋氨酸或谷氨酰胺的CaaX序列,而亮氨酸、异亮氨酸和苯丙氨酸是GGTase-I的首选。

这种底物特异性并非互斥,K-Ras和Rho B蛋白就表现出重叠的特异性。K-Ras蛋白的CVIM序列通常在哺乳动物细胞中被法尼基化,但当FTase被抑制时,它也可以被GGTase-I催化。Rho B的C端序列是CKVL,在细胞中是两种修饰共存的。

et是什么基团,ET是什么基团(蛋白质的异戊二烯化)

法尼基化的三个步骤。Crit Rev Biochem Mol Biol. 2018 Jun; 53(3): 279–310.

负责切除AAX残基的酶包括Ras转化酶(Rce1)和锌金属蛋白酶Ste24(ZMPSte24),在各种组织中均有表达。催化C-末端半胱氨酸羧甲基化的是异戊烯基半胱氨酸羧基甲基转移酶(isoprenylcysteine carboxyl methyltransferase,ICMT)。

GGTase-II则催化两个香叶基香叶基添加到底物蛋白C端附近的CXC或CCXX)的两个半胱氨酸残基上,之后无需酶切。

因为萜类基团来自于胆固醇合成途径,所以异戊二烯化发生在细胞质中。不过反应也不是完全在胞浆中进行,而是与内质网、高尔基体和质膜相关。异戊二烯化可以增加蛋白质对膜的亲和力,从而调节其定位和运输。

et是什么基团,ET是什么基团(蛋白质的异戊二烯化)

Ras蛋白的异戊二烯化与细胞定位。ACS Chem Biol. 2015 Jan 16; 10(1): 51–62.

以Ras蛋白为例,当其结合异戊二烯基团之后,会定位到内质网膜表面,在那里完成酶切和羧甲基化步骤。现在认为,单独的异戊二烯化修饰不足以使其与质膜结合。为此,三种Ras通过两种不同方式转运到质膜。

H-Ras和N-Ras进行额外的棕榈酰化,通过高尔基体囊泡转运到质膜。而K-Ras(指主要剪接变体K-Ras4B),则依靠法尼基和碱性六赖氨酸结构,通过不依赖于高尔基体的胞质途径锚定到质膜上。

这个转运步骤是必需的,因为Ras只有先结合到质膜上,才能激活下游信号通路,从而发挥其生物学功能。而且异戊二烯基团并非仅仅提供一个疏水锚,它还可以影响Ras的信号输出。

K-Ras与膜脂质选择性相互作用并形成决定其信号输出的“纳米簇”。异戊二烯基团在此过程中起着精细的调控作用,不同的异戊二烯链长,会导致不同种类的膜脂与蛋白相互作用这会影响纳米簇的组装,进而改变信号输出(Cell. 2017)。

et是什么基团,ET是什么基团(蛋白质的异戊二烯化)

蛋白质的异戊二烯化参与多种细胞过程。ACS Chem Biol. 2015 Jan 16; 10(1): 51–62.

异戊二烯化参与多种细胞过程,与多种生理病理想象相关。所以异戊二烯基转移酶抑制剂可以作为针对多种疾病的潜在疗法,包括肿瘤、衰老、神经退行性疾病、寄生虫病以及细菌和病毒感染等。

et是什么基团,ET是什么基团(蛋白质的异戊二烯化)

用化学蛋白质组学方法分析异戊二烯化修饰。ACS Chem Biol. 2015 Jan 16; 10(1): 51–62.

可以进行异戊二烯化修饰的蛋白都有保守序列,可以进行预测。在实验检验方面,化学蛋白质组学是有力工具。这种方法是用异戊二烯类似物对活细胞进行代谢标记,其上有活性基团,如叠氮化物或炔基。这些基团可以使用生物正交反应引入荧光或生物素标记,之后就是常规的凝胶电泳或亲和层析分离标记蛋白,质谱检测等。

参考文献:

本文关键词:ac是什么基团,有机化学et是什么基团,et是什么基团的缩写,co2et是什么基团,cooet是什么基团。这就是关于《et是什么基团,ET是什么基团(蛋白质的异戊二烯化)》的所有内容,希望对您能有所帮助!

本文链接:https://bk.89qw.com/a-510804

最近发表
网站分类