手机版

百科生活 投稿

lnx等于多少,lnx和x的大小(为什么 lnx求导是 1/x)

百科 2026-02-17 05:17:02 投稿 阅读:2890次

关于【lnx等于多少】,lnx和x的大小,今天小编给您分享一下,如果对您有所帮助别忘了关注本站哦。

  • 内容导航:
  • 1、lnx等于多少:lnx 1 x等于多少
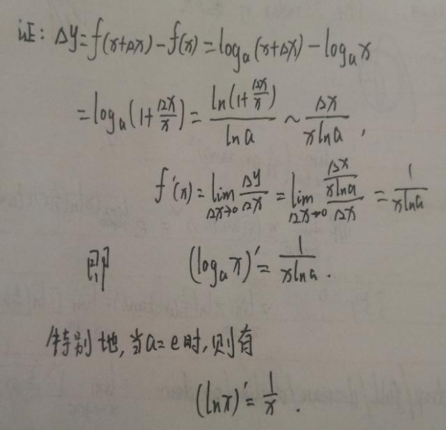
  • 2、为什么 lnx求导是 1/x?

1、lnx等于多少:lnx 1 x等于多少

lnx=1,则x=e,因为lnx=logeX。

自然对数的概念:自然对数是以常数e为底数的对数,记作lnN(N>0)。在物理学,生物学等自然科学中有重要的意义,一般表示方法为lnx。数学中也常见以logx表示自然对数。e在科学技术中用得非常多,一般不使用以10为底数的对数。以e为底数,许多式子都能得到简化,用它是最“自然”的,所以叫“自然对数”。我们可以从自然对数最早是怎么来的来说明其有多“自然”。以前人们做乘法就用乘法,很麻烦,发明了对数这个工具后,乘法可以化成加法。当然后来数学家对这个数做了无数研究,发现其各种神奇之处,在对数表中出现并非偶然,而是相当自然或必然的。因此就叫它自然对数底了。

2、为什么 lnx求导是 1/x?

我们可以从导数的定义出发,求lnx的导数

lnx等于多少,lnx和x的大小(为什么 lnx求导是 1/x)

证毕

本文关键词:lnx的泰勒展开式,lnx的等价无穷小替换,lnx和x的大小,lnx的积分,lnx图像。这就是关于《lnx等于多少,lnx和x的大小(为什么 lnx求导是 1/x)》的所有内容,希望对您能有所帮助!

本文链接:https://bk.89qw.com/a-511931

最近发表
网站分类