手机版

百科生活 投稿

上海音乐学院分数线,上海音乐学院2022录取分数线是多少(上海音乐学院艺术类文化控制线及拟录取名单)

百科 2026-02-04 15:51:43 投稿 阅读:1837次

关于【上海音乐学院分数线】,上海音乐学院2022录取分数线是多少,今天小编给您分享一下,如果对您有所帮助别忘了关注本站哦。

  • 内容导航:
  • 1、上海音乐学院艺术类文化控制线及拟录取名单(外省市)
  • 2、上海音乐学院分数线:上海音乐学院2022录取分数线是多少

1、上海音乐学院艺术类文化控制线及拟录取名单(外省市)

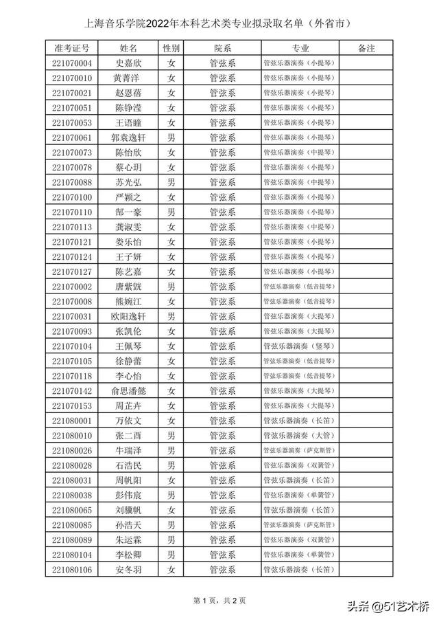
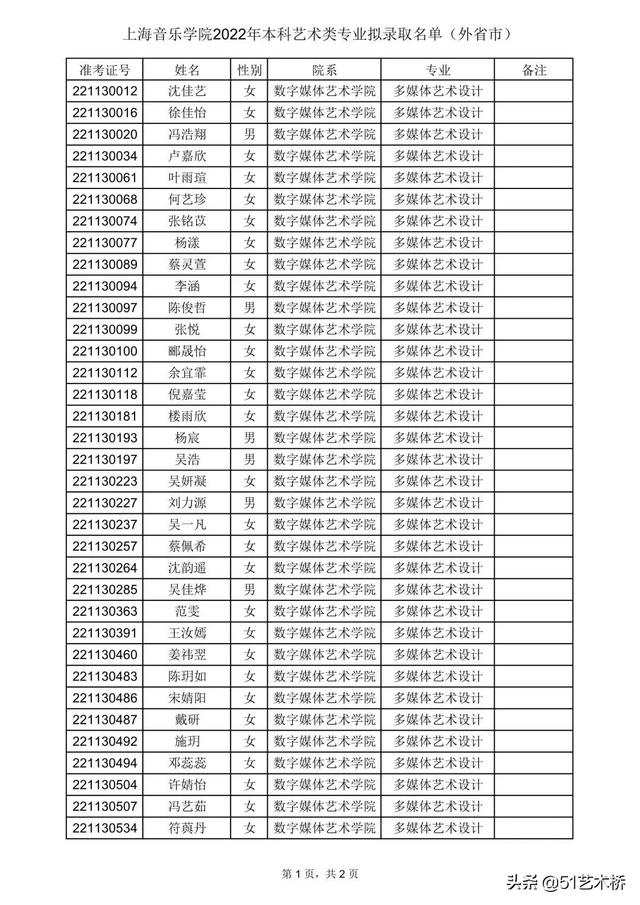
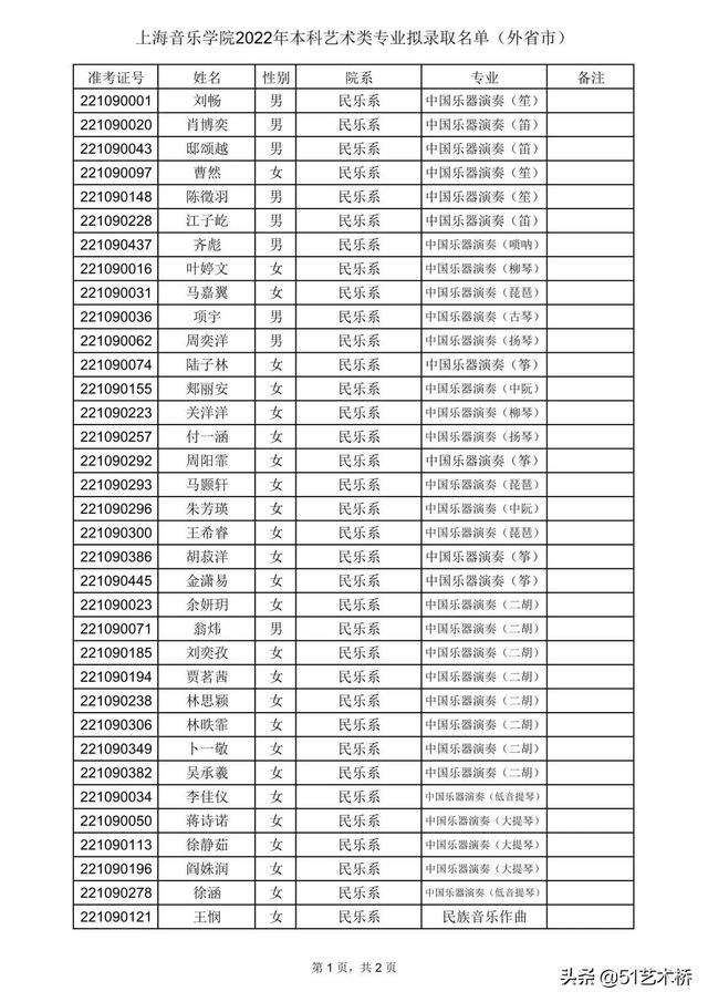
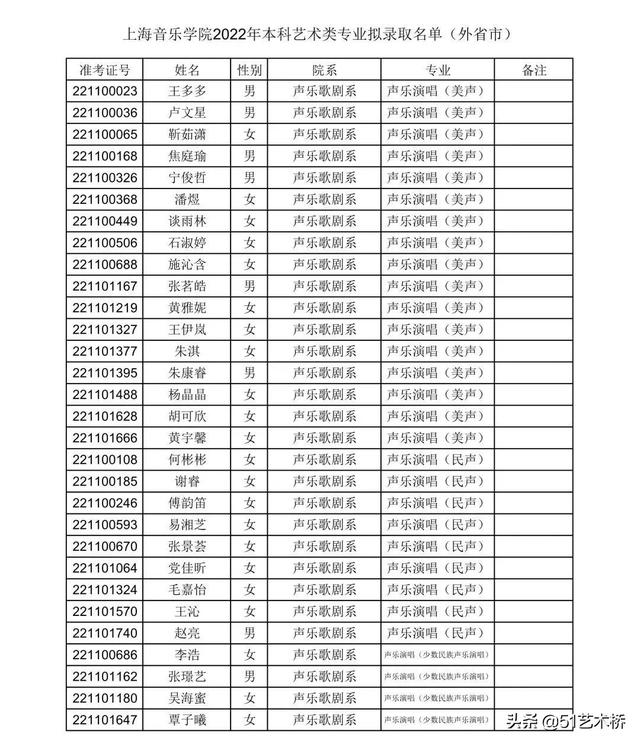
上海音乐学院分数线,上海音乐学院2022录取分数线是多少(上海音乐学院艺术类文化控制线及拟录取名单)

上海音乐学院分数线,上海音乐学院2022录取分数线是多少(上海音乐学院艺术类文化控制线及拟录取名单)

上海音乐学院分数线,上海音乐学院2022录取分数线是多少(上海音乐学院艺术类文化控制线及拟录取名单)

上海音乐学院分数线,上海音乐学院2022录取分数线是多少(上海音乐学院艺术类文化控制线及拟录取名单)

上海音乐学院分数线,上海音乐学院2022录取分数线是多少(上海音乐学院艺术类文化控制线及拟录取名单)

上海音乐学院分数线,上海音乐学院2022录取分数线是多少(上海音乐学院艺术类文化控制线及拟录取名单)

上海音乐学院分数线,上海音乐学院2022录取分数线是多少(上海音乐学院艺术类文化控制线及拟录取名单)

上海音乐学院分数线,上海音乐学院2022录取分数线是多少(上海音乐学院艺术类文化控制线及拟录取名单)

上海音乐学院分数线,上海音乐学院2022录取分数线是多少(上海音乐学院艺术类文化控制线及拟录取名单)

上海音乐学院分数线,上海音乐学院2022录取分数线是多少(上海音乐学院艺术类文化控制线及拟录取名单)

上海音乐学院分数线,上海音乐学院2022录取分数线是多少(上海音乐学院艺术类文化控制线及拟录取名单)

上海音乐学院分数线,上海音乐学院2022录取分数线是多少(上海音乐学院艺术类文化控制线及拟录取名单)

上海音乐学院分数线,上海音乐学院2022录取分数线是多少(上海音乐学院艺术类文化控制线及拟录取名单)

上海音乐学院分数线,上海音乐学院2022录取分数线是多少(上海音乐学院艺术类文化控制线及拟录取名单)

上海音乐学院分数线,上海音乐学院2022录取分数线是多少(上海音乐学院艺术类文化控制线及拟录取名单)

上海音乐学院分数线,上海音乐学院2022录取分数线是多少(上海音乐学院艺术类文化控制线及拟录取名单)

上海音乐学院分数线,上海音乐学院2022录取分数线是多少(上海音乐学院艺术类文化控制线及拟录取名单)

上海音乐学院分数线,上海音乐学院2022录取分数线是多少(上海音乐学院艺术类文化控制线及拟录取名单)

2、上海音乐学院分数线:上海音乐学院2022录取分数线是多少

今年报考上海音乐学院的考生们,肯定想了解上海音乐学院2022年各批次最低录取分数线以及专业录取分数线,本文将为同学们整理上海音乐学院2022录取分数线(附历年各专业录取分数线),希望对同学们有所帮助,仅做参考。


上海音乐学院2022录取分数线:


目前,上海音乐学院2022年录取分数线官方尚未公布,如果需要2022年上海音乐学院分数线的同学,不妨参考2021年上海音乐学院录取分数线和上海音乐学院历年录取分数线,希望对大家有所帮助,如有不同,请以郑州升达经贸管理学院官网最新公布的信息为准。

2021上海音乐学院录取分数线:





上海音乐学院是公办还是民办大学?
根据全国高等学校信息可知,上海音乐学院是公办大学。通常来说,公办大学社会认可度高,各专业学费较便宜,民办大学各专业收费较贵。


上海音乐学院简介
上海音乐学院(Shanghai Conservatory of Music),简称“上音”,由上海市人民政府举办,中华人民共和国文化和旅游部与上海市人民政府共建的全日制高等专业音乐(艺术)院校,欧洲音乐学院联盟和环太平洋音乐学院联盟成员,国家“双一流”世界一流学科建设高校,入选“国家建设高水平大学公派研究生项目”、“特色重点学科项目”、“国家文化创新工程”、“中国政府奖学金来华留学生接收院校”、“上海市外国留学生政府奖学金院校”、“上海市高水平地方高校建设学校”、“全国民族团结进步教育基地”、“上海市协同创新中心牵头单位”、“湖北省2011计划”、”社会艺术水平考级机构“,是中国现代专业音乐教育的奠基者和孵化器,被誉为“音乐家的摇篮”。
学院前身是1927年11月27日创办的“国立音乐院”,是中国第一所独立建制的国立高等音乐学府,1929年9月更名为国立音乐专科学校。中华人民共和国成立后学校曾用名“中央音乐学院华东分院”,于1956年定名为上海音乐学院,为文化部直属重点院校,现为文化和旅游部与上海市共建院校。
通过对上海音乐学院录取分数线的了解,大家大概知道了高考多少分可以上上海音乐学院,以上数据源于网络,仅供参考。

本文关键词:上海音乐学院分数线2020,上海音乐学院2022录取分数线是多少分,上海音乐学院2021录取分数线,上海音乐学院录取分数线是多少2020,上海音乐学院2022录取分数线是多少啊。这就是关于《上海音乐学院分数线,上海音乐学院2022录取分数线是多少(上海音乐学院艺术类文化控制线及拟录取名单)》的所有内容,希望对您能有所帮助!

本文链接:https://bk.89qw.com/a-513246

最近发表
网站分类