百科生活 投稿
关于【大田县事业单位考试网】,福建事业单位考试专业科目考什么,今天小编给您分享一下,如果对您有所帮助别忘了关注本站哦。
- 内容导航:
- 1、速查!三明多地事业单位面试成绩出炉
- 2、大田县事业单位考试网:福建事业单位考试专业科目考什么
1、速查!三明多地事业单位面试成绩出炉
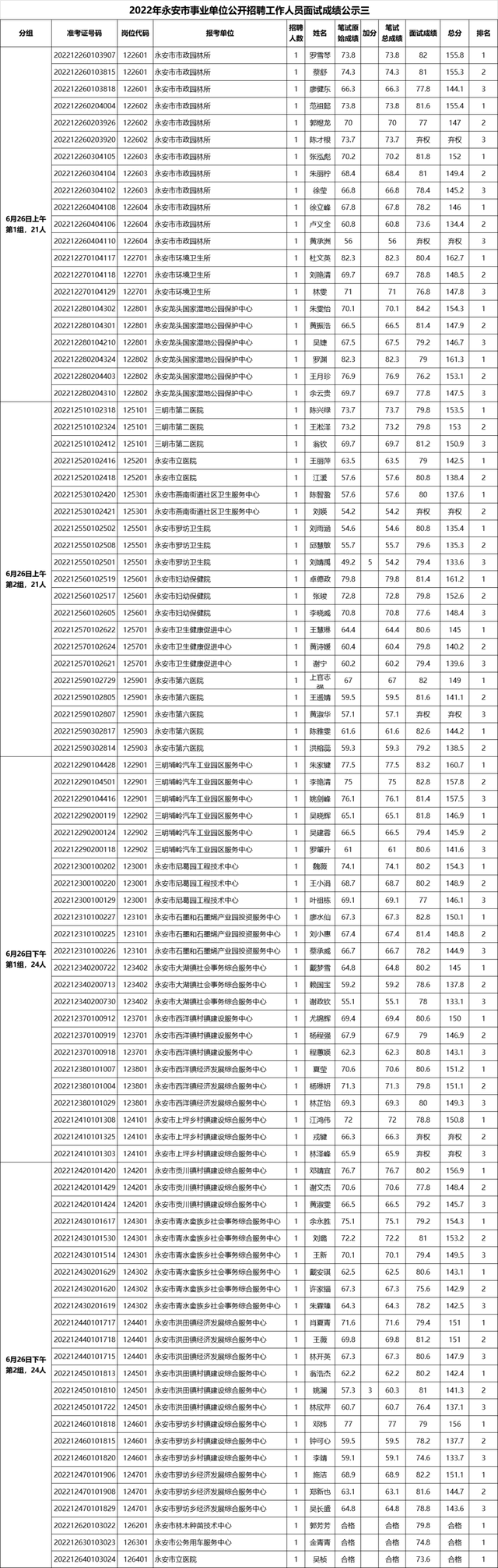
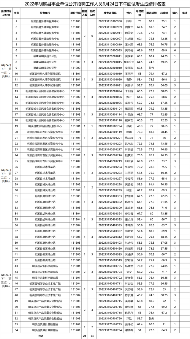
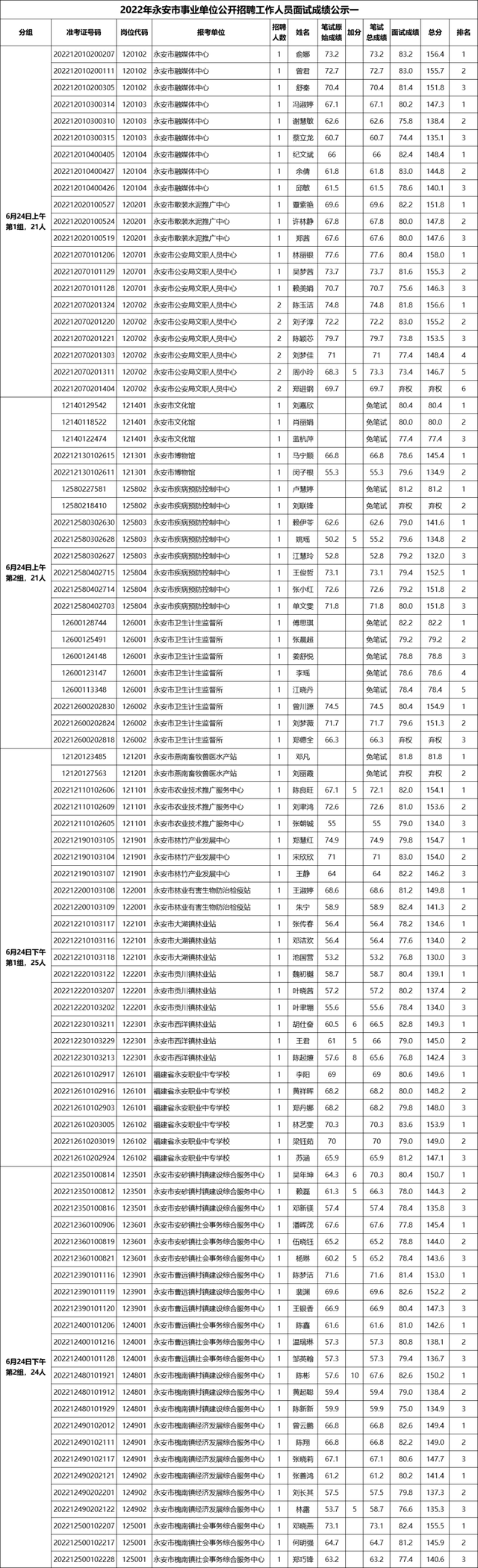
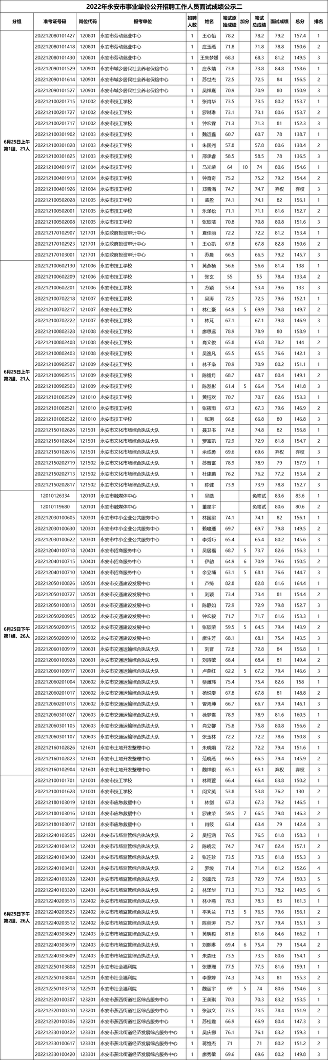
近日,
三明多地组织2022年事业单位
公开招聘考试面试
沙县区、永安市、大田县、
宁化县、清流县、明溪县、
将乐县、泰宁县、建宁县
面试成绩及总成绩
出来啦!
一起来看看
↓↓↓
沙县区
永安市
大田县
宁化县
清流县
明溪县
将乐县
泰宁县
建宁县
来源:综合各地人事考试网
2、大田县事业单位考试网:福建事业单位考试专业科目考什么
福建事业单位考试专业科目考什么?泉州市:综合基础知识、医学基础知识、护理专业知识。
三明市:
大田县:综合基础知识、医学基础知识、护理专业知识
泰宁县、建宁县:综合基础知识
市属:综合基础知识、医学基础知识、护理专业知识
尤溪县:综合基础知识、医学基础知识、护理专业知识
漳州市:《综合基础知识》、《医学基础知识》、《护理专业知识》。
福州市、龙岩市:综合基础知识。

福清市:公共基础知识、职业能力测验
泉州市永春县:各招聘岗位笔试均只考一个科目。笔试科目设置为《综合基础知识》(均为客观选择题,题型与公务员考录笔试科目《行政职业能力测试》类似)、《医学基础知识》、《护理专业知识》。
三明市:
尤溪县:各招聘岗位笔试均只考一个科目。笔试科目设置为《综合基础知识》(主要内容为政治和经济基本理论、公共管理、法律基础、职业能力、职业道德、科技和人文常识、福建省情等,题型全部为客观题),报考医学类岗位的考生考《医学基础知识》或《护理专业知识》。各岗位的笔试科目在报名系统和《岗位信息表》的“笔试科目”栏中均有标注。考试时间120分钟。
市属:笔试科目设置为《综合基础知识》(主要内容为政治和经济基本理论、公共管理、法律基础、职业能力、职业道德、科技和人文常识、福建省情等,题型全部为客观题),报考医学类岗位的考生考《医学基础知识》或《护理专业知识》
建宁县:主要内容为政治和经济基本理论、公共管理、法律基础、职业能力、职业道德、科技和人文常识、福建省情等,题型全部为客观题。
泰宁县:主要内容为政治和经济基本理论、公共管理、法律基础、职业能力、职业道德、科技和人文常识、福建省情等,题型全部为客观题
永安市、宁化县、清流县、明溪县:《综合基础知识》
将乐县:综合基础知识、医学基础知识或护理专业知识
沙县:临床医学专业知识、护理专业知识、医学基础知识
大田县:各招聘岗位笔试均只考一个科目,各职位具体笔试科目详见报名系统和《2017年大田县属事业单位公开招聘工作人员岗位信息表》的“笔试科目”栏中均有标注。考试时间《综合基础知识》、《医学基础知识》、《护理专业知识》均为120分钟,《综合基础知识A卷》为150分钟。
本文关键词:福建事业单位统考科目,福建事业单位考试考哪几科,福建事业单位考试专业科目考什么题型,福建事业单位考哪些,福建事业单位考试专业科目考什么内容。这就是关于《大田县事业单位考试网,福建事业单位考试专业科目考什么(三明多地事业单位面试成绩出炉)》的所有内容,希望对您能有所帮助!
- 最近发表