百科生活 投稿
关于【1977年高考】:1977年全国统一高考考试时间,今天小编给您分享一下,如果对您有所帮助别忘了关注本站哦。
- 内容导航:
- 1、1977年高考:1977年全国统一高考考试时间
- 2、1977年,恢复高考第一年是什么样的?亲历者告诉你(内附真题)
1、1977年高考:1977年全国统一高考考试时间
1977年北京高考是12月10、11、12三天,那时高考没有全国统一试卷,命题权在各个省,考试时间也各不相同。
1977年的高考分文理两类,文科考政治、语文、数学、历史、地理,理科考政治、语文、数学、物理、化学,报考外语专业的加试外语。由省、市、自治区拟题,县或区统一组织考试。
2、1977年,恢复高考第一年是什么样的?亲历者告诉你(内附真题)
视频加载中...
张艺谋,1977年参加高考,考入北京电影学院;
罗中立,画家,1977年参加高考,考入了四川美术学院;
钱颖一,清华经管学院院长,也是1977年参加高考,考入清华大学……

资料图:1977年高考考场
1977年的12月,没有冬天,因为关闭十年的考场重新敞开大门,考生用激情和渴望驱散了寒冬。
1977年恢复高考,考生达570万,但那一年高考的入学率并不高,只有5%,但也正是从这5%开始,改变了无数人的命运。

资料图:1977年上海恢复高考时的场景。
今天故事的主人公倪文东,也是在1977年12月份参加高考,最终考入了西北大学中文系,现在的他,是北京师范大学艺术与传媒学院书法专业教授。
倪文东教授当年为何会选择高考?那时的考生是如何备战高考的?当年录取情况如何?收到录取通知书的心情怎样?去大学途中发生了哪些趣事?继续往下看揭晓答案↓↓↓↓↓
问1:
当年什么契机让您选择了参加高考?
那时的考生是如何备战高考的?
答1:
1974年高中毕业后就下乡了,在农村呆了三年,白天去劳动,晚上办夜校。那时做的最有意义的事情就是教老百姓写字,白天再苦再累,晚上都要做这件事。因为书法写得好,在下乡的最后一年被调到了公社做文书,大概半年多之后,就听到了恢复高考的消息。
我们能够凭借自己的能力上大学了,当时特别高兴,但因为白天要和老百姓一起劳动,只能晚上借着暗暗的灯光看书学习,所以当时也特别紧张,因为恢复高考心里都没底。我们好多人在一起复习看书,讨论问题,抄复印资料,觉得非常充实。
问2:
当年高考录取情况如何?
答2:
我们班差不多有30多个同学高考,最后考上的就5个人。我最后考上了西北大学中文系,哥哥考上延安卫校,弟弟考上延安林业学校,一个家出现三个学生,在我们县城还是比较有影响的。

倪家三兄弟在西北大学校门口留念
问3:
当年等待录取通知书时是什么情景?
答3:
我和另外两个同学,填的志愿基本都一样,第一个住同街的同学最先收到录取通知书,他最后进了北京广播学院采编系,当时我的通知书还没有来。后来又等,第二个同学的通知书也来了,他录取的学校是陕西师范大学中文系。我大概等了两个礼拜才收到我的通知书,我心想不错,我还是被录取了,西北大学中文系还是可以的,所以当时等着通知书的心情真是不一样的,好多人最后基本上就没有被录取,怎么办呢?第二年再考。
问4:
第一次去大学途中印象最深刻的事情是什么?
答4:
印象最深刻的是我从老家黄陵到西安坐的拉煤车,我的箱子在车上面放着,我人坐在司机楼(驾驶室),然后从我们老家到了西安市,大概经过了七八个小时,当时这个司机要把我放在西安市的骡马市口,因为我没有来过大城市,非常紧张,最后我在那一直呆了四个小时,哪儿也不敢去,他到咸阳把煤卸完以后才把我送到西北大学,当时我在校门口照了一张照片,我觉得我进了个特殊的大学。

1978年2月考入西北大学中文系
问5:
改革开放40年,“上大学”有哪些变化?
答5:
进了西北大学之后我觉得,那种学习的环境氛围特别好。当时人们有个最大的特点就是,如饥似渴地学习,好像觉得过去好多书都没有看,就拼命地看书。在教室,在图书馆,都在学习,感觉好像中外的文学历史呀,包括这个古汉语文字学,好多课都要去读,老师也有劲头,学生也有劲头,那种学习的环境和氛围真是不一样。
但现在我觉得年轻人机会更多了,现在学校录取比例也大了,和过去不一样的是,我觉得现在学生基础更扎实,学得更好,要求更高,成才的几率更高。所以我觉得整个40年来,改革开放发展非常好。
问6:
改革开放40年,“教学”有何变化?
答6:
改革开放40年,我感觉到整个教学体制、教育观念,都是随着时代的变化而变化。作为老师也是,赶上了一个好的时代,在课堂上为学生们讲我们的专业知识,同时讲我们国家的发展变化。我过去学书法,没有专业,没有老师,而现在我们的学生,学书法有了书法学这个学科,可以从本科到硕士博士,一路读上去,我觉得这是很大的一个变化。今天的教育改革,使年轻人只要努力,就可以实现自己的抱负,为国家的发展贡献自己的力量。
问7:
改革开放40年的感受和希冀?
答7:
经过40年,我们的底子基础打得非常好,我们要以这个发展为契机,因为中国还有下一个40年。但有一点,我们的文化,我们的软实力还要加强,我们整个中国人的素质要提高,人们的素质要赶上这个飞速发展的信息化时代。同时我觉得,要认真总结40年我们的发展的经验、成果,还要弘扬发展传统的文化,这一点我觉得恐怕更重要。把传统和现代结合起来,中国在世界上就会越来越强大。
前方高能预警,真题来啦↓↓↓↓↓↓
我们很多人都经历过高考,对比下面1977年的高考题,网友大呼:“太容易了!”,你觉得呢?
1977年高考语文试卷
一、给下面这句话注音,要标调(3分)将正确的答案填写到下面的横线上
对待同志要象春天般温暖。
二、回答下列问题 将正确的答案填写到下面的横线上
1.指出下面句子中加粗的词属于什么词类(2分)
雷锋为人民服务的心最红
2.指出下面复杂词组中的每个词组属于哪种类型(4分)
恢复和发扬毛主席树立的优良传统和作风
3.分析句子成分(4分)
为了实现共产主义的伟大理想,我要献出自己的毕生精力和整个生命。
4.分析多层复句的层次关系(3分)
因为我们是为人民服务的,所以,我们如果有缺点,就不怕别人批评指出。
三、什么叫拟人的修辞方法?举出一例(4分)
四、写出毛主席诗《七律·人民解放军占领南京》的中心思想(6分)
钟山风雨起苍黄,百万雄师过大江。 虎踞龙盘今胜昔,天翻地覆慨而慷。 宜将剩勇追穷寇,不可沽名学霸王。 天若有情天亦老,人间正道是沧桑。
五、将下面两段文言文译成现代汉语,标清题号(14分)
1.陈胜,吴广皆次当行,为屯长。会天大雨,道不通,度已失期。失期,法皆斩。陈胜,吴广乃谋曰:“今亡亦死,举大计亦死;等死,死国可乎?”(7分)
2.夫夷以近,则游者众;险以远,则至者少。而世之奇伟瑰怪非常之观,常在于险远,而人之所罕至焉,故非有志者不能至也。(7分)
六、作文60分
文题:一在沸腾的日子里 二谈青年时代(二题任选其一)
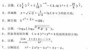
1977年高考数学试卷
一

二、过抛物线y2=4x的焦点作倾斜角为3/4π的直线,它与抛物线交于A、B两点。求A、B两点间的距离。
三、在直角三角形ABC中,∠ACB=90°,CD、CE分别为斜边AB上的高和中线(见第三题图),且∠BCD与∠ACD之比为3:1。求证 CD=DE。

四、在周长为300厘米的圆周上有甲、乙两球,以大小不等的速度作为匀速圆周运动,甲球从A点出发按逆时针方向运动,乙球从B点出发按顺时针方向运动,两球相遇于C点。相遇后,两球各自反向作匀速圆周运动,但这时甲球速度的大小是原来的2倍,乙球速度的大小是原来的一半,以后它们第二次相遇于D点。已知AmC=40厘米,BnD=20厘米(见第四题图)。求ACB的长度。

五、1.若三角形三内角成等差数列,求证必有一内角为60°;
2.若三角形三内角成等差数列,而且三边又成等比数列,求证三角形三内角都是60°。
六、在两条平行的直线AB和CD上分别取定一点M和N;在直线AB上取一定线段ME=a;在线段MN上取一点K,连结EK并延长,交CD于F(见第六题图)。试问K取在哪里△EMK与△FNK的面积之和为最小?最小值是多少?

附加题(附加题可做可不做,分数另行计算。)

1977年高考英语试卷
一、写出下列单词的变化形式(每空1分)
1.hero (名词复数)
2.enemy (名词复数)
3.railway (名词复数)
4.life (名词复数)
5.sheep (名词复数)
6.woman (名词复数)
7.stop (过去式) (过去分词) (现在分词)
8.die (过去式) (过去分词) (现在分词)
9.hurry (过去式) (过去分词) (现在分词)
10.rise (过去式) (过去分词) (现在分词)
11.win (过去式) (过去分词) (现在分词)
12.catch (过去式) (过去分词) (现在分词)
二、用英语回答下列问题(每题2分)
1.Are you a student?
2.How many people are there in your family?
3.Where were you born?
4.How old were you when you started to go to school?
5.How long have you been studying English?
6.You like to study English,don’t you?
7.What subjects did you study at middle school?
8.What did you do after you finished middle school?
三、用所给动词的适当形式填空(每空1分)
1.As soon as our Party secretary (come) back from Tachai next week,we (begin)to build a reservoir.
2.When the teacher (come)into the classroom,the pupils (leave). alt="1977年高考,1977年全国统一高考考试时间(恢复高考第一年是什么样的)" src="https://p3.toutiaoimg.com/pgc-image/c2665ec9afdd4e89a524d024b6898394~tplv-tt-large.jpeg" />
你是哪年参加的高考?
本文关键词:1977年全国高考时间是哪天,1977年的高考是在什么时间举行的,1977年恢复高考第一年的高考时间是,1977年全国统一高考考试时间安排,1977年全国统一高考考试时间是多少。这就是关于《1977年高考,1977年全国统一高考考试时间(恢复高考第一年是什么样的)》的所有内容,希望对您能有所帮助!
- 最近发表