手机版

百科生活 投稿

积分中值定理公式,推广的积分中值定理公式(详解积分中值定理)

百科 2026-02-05 02:29:42 投稿 阅读:5638次

关于【积分中值定理公式】:积分中值定理公式,今天小编给您分享一下,如果对您有所帮助别忘了关注本站哦。

  • 内容导航:
  • 1、积分中值定理公式
  • 2、详解积分中值定理

1、积分中值定理公式

  1、积分中值定理,是一种数学定律。分为积分第一中值定理和积分第二中值定理,它们各包含两个公式。其中,积分第二中值定理还包含三个常用的推论。

  2、积分中值定理揭示了一种将积分化为函数值, 或者是将复杂函数的积分化为简单函数的积分的方法, 是数学分析的基本定理和重要手段, 在求极限、判定某些性质点、估计积分值等方面应用广泛。

2、详解积分中值定理

今天是高等数学专题的第12篇,我们继续来看定积分。

之前在讲微分求导内容的时候,介绍过一系列微分中值定理的推导。既然有微分中值定理,那么自然也有积分中值定理,我们下面就来看看积分中值定理的定义。

极值定理

极值定理也叫最大最小值定理,它的含义非常直观:如果函数f(x)在区间[a,b]上连续的函数,必然存在最大值和最小值,并且取到最大值和最小值至少一次。

这是一个非常有名的定理,定理的内容很直观,也不难理解。但是证明它不太容易,是由区间套定理与B-M定理等多个定理推导得到的,这段证明过程比较复杂,由于篇幅和水平的限制,本文当中只能跳过这部分,感兴趣的同学可以自行了解。

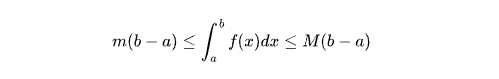
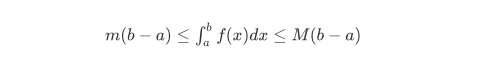
我们假设m和M分别是区间[a, b]上函数f(x)的最小值和最大值,那么根据极值定理,可以得到以下式子成立:

积分中值定理公式,推广的积分中值定理公式(详解积分中值定理)

这个式子光看可能会觉得有些复杂,但是我们把图画出来之后非常简单:

积分中值定理公式,推广的积分中值定理公式(详解积分中值定理)

上图当中灰色阴影部分就是定积分的结果,蓝色的矩形面积是m(b-a),大的矩形面积是M(b-a)。

通过几何面积的关系我们可以很容易证明结论。

数学证明也很简单,由于m和M分别是最小值和最大值,所以我们可以得到 m <= f(x) <= M。我们把常数也看成是函数,进行积分,于是可以得到:

积分中值定理公式,推广的积分中值定理公式(详解积分中值定理)

两边积分的结果就是矩形面积,于是我们就得到了证明。

积分中值定理

极值定理非常简单,但是是很多定理的基础,比如我们的积分中值定理就和它密切相关。

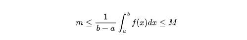
我们对上面的式子做一个简单的变形,由于b-a是常数并且大于0,所以我们在

积分中值定理公式,推广的积分中值定理公式(详解积分中值定理)

这个不等式两边同时除以b-a,可以得到:

积分中值定理公式,推广的积分中值定理公式(详解积分中值定理)

我们把

积分中值定理公式,推广的积分中值定理公式(详解积分中值定理)

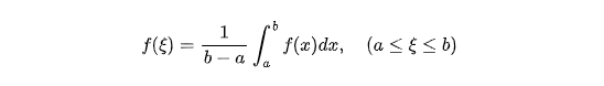
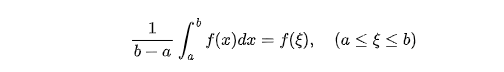
这个式子看成一个整体,它的值位于函数在区间的最大值和最小值之间。根据连续函数的介值定理,我们一定可以在[a, b]上找到一点 ξ,使得f(x)在 ξ 这点的取值与这个数值相等,也就是说:

积分中值定理公式,推广的积分中值定理公式(详解积分中值定理)

上面这个式子就是积分中值定理了,这里有两点要注意,我们先来说简单的一点,就是我们用到了连续函数介值定理。所以限定了这必须是一个连续函数,否则的话,可能刚好函数在ξ点处没有定义。这个也是定理成立的先决条件。

第二点是简单介绍一下连续函数的介值定理,它的含义是说对于一个在区间[a, b]上连续的函数,对于任一在其最大值和最小值之间的常数,我们必然可以在区间[a, b]上找到一点,使得该点的函数值等于这个常数。

积分中值定理公式,推广的积分中值定理公式(详解积分中值定理)

搞明白这些细节之后,我们再来看刚才的式子:

积分中值定理公式,推广的积分中值定理公式(详解积分中值定理)

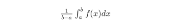
我们再把常数乘回来:

积分中值定理公式,推广的积分中值定理公式(详解积分中值定理)

右边的积分算的是什么,算的是函数围成的曲形的面积,但是现在我们转化成了一个函数值乘上了宽,所以我们可以把它看成是矩形的高,我们来看下下面这张图。

积分中值定理公式,推广的积分中值定理公式(详解积分中值定理)

也就是说以 f(ξ) 为高的矩形面积和函数围成的曲形面积相等,所以它既是矩形的高,也真的是函数在[a, b]上的平均值。

总结

中值定理是微积分领域当中最重要的定理,几乎没有之一,也是整个微积分搭建起来的脉络。我们熟悉中值定理的推导过程,对于我们对加深对于微积分的理解非常有帮助。更重要的一点是,相对来说,这两个定理的推导过程都不是很难,而且还蛮有意思的,所以推荐大家都亲自上手试一试。

本文关键词:积分中值定理,第二积分中值定理公式,积分中值定理的推广,广义积分中值定理公式,微分中值定理公式。这就是关于《积分中值定理公式,推广的积分中值定理公式(详解积分中值定理)》的所有内容,希望对您能有所帮助!

本文链接:https://bk.89qw.com/a-520779

最近发表
网站分类