手机版

百科生活 投稿

什么是电磁场的格林函数,格林函数电动力学(AR模型中格林函数的作用)

百科 2026-02-08 18:57:00 投稿 阅读:8306次

关于【什么是电磁场的格林函数】,格林函数电动力学,今天小编给您分享一下,如果对您有所帮助别忘了关注本站哦。

  • 内容导航:
  • 1、AR模型中格林函数的作用
  • 2、什么是电磁场的格林函数

1、AR模型中格林函数的作用

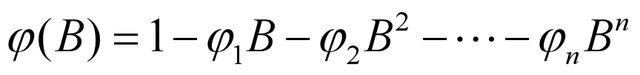
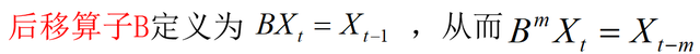
AR模型可以表示为:

什么是电磁场的格林函数,格林函数电动力学(AR模型中格林函数的作用)

其中

什么是电磁场的格林函数,格林函数电动力学(AR模型中格林函数的作用)

什么是电磁场的格林函数,格林函数电动力学(AR模型中格林函数的作用)

图2

可以分解为

什么是电磁场的格林函数,格林函数电动力学(AR模型中格林函数的作用)

图3

考虑图1的齐次方程

什么是电磁场的格林函数,格林函数电动力学(AR模型中格林函数的作用)

图4

什么是电磁场的格林函数,格林函数电动力学(AR模型中格林函数的作用)

图5

什么是电磁场的格林函数,格林函数电动力学(AR模型中格林函数的作用)

图6

注意到图3中1/G1,1/G2.......才是图4的解。

格林函数的定义:

什么是电磁场的格林函数,格林函数电动力学(AR模型中格林函数的作用)

什么是电磁场的格林函数,格林函数电动力学(AR模型中格林函数的作用)

AR(1)系统的格林函数:

什么是电磁场的格林函数,格林函数电动力学(AR模型中格林函数的作用)

格林函数与AR(n)系统的平稳性:

什么是电磁场的格林函数,格林函数电动力学(AR模型中格林函数的作用)

什么是电磁场的格林函数,格林函数电动力学(AR模型中格林函数的作用)

简单总结:

1:格林函数由AR模型的通解导出。

2:格林函数是用来描述系统记忆扰动程度的函数。

3:格林函数用来表示平稳序列很方便。

4:对于n不同的AR(n)模型,格林函数也不相同。

2、什么是电磁场的格林函数

[拼音]:diancichang de Gelin hanshu

[外文]:Green’s function of electromagnetic field

在线性媒质中,任意分布的简谐(或稳恒)源所激励的场,都可以化为单位点源所激励的场的线性组合。在确定的媒质和边界条件下,单位点源所激励的场矢量或势函数就称为该条件下场或势的格林函数。它们是场点位置矢径r和源点位置矢径r′的函数。电磁场边值问题的解可以表示成源函数与格林函数乘积的积分。

标量格林函数

在均匀无界媒质中,自由电荷密度ρ所产生的标势φ在洛伦兹规范下满足方程




(1)

式中k2=ω2εμ,该标势的格林函数G(rr′)应满足方程




(2)

式中


2r点的坐标作运算,δ(rr′)是集中作用在r′点的狄拉克δ-函数。此方程的解是




(3)

由此可得标势的解是下列对r′的坐标的积分




(4)

当媒质为分区均匀时,在分界面上G应满足与φ相同的连续性条件。设GG0+G1,其中G1表示分界面的影响,且在rr′时应为有限值。例如在理想导体平表面S的上半空间中的格林函数为




(5)

式中第一项即为G0,第二项表示导体表面的影响,r媴是r′关于平表面的镜象点。

如果均匀媒质空间V被闭曲面S0所包围,应用格林第二公式,并利用格林函数的对称性G(r′,r)=G(rr′),可得




(6)

为了消除面积分中的未知项,应当根据φ的已知边界条件来规定G的边界条件,具体来说,当已知φ





的边界值时,应相应地规定




例如,V是无限大平面S的上半空间,已知V内的源分布ρS上的φ值,利用格林函数(5)式并注意到





以及对于S上的源点ri=r,有







于是




(7)

并矢格林函数

以上的讨论也适合场或矢势的各直角坐标分量。对于矢量源函数,通常将r′点的源矢量分解为三个正交分量,分别求出在r点的场或势。于是对于电场和磁场矢量,共有 6个矢量格林函数,采用并矢记法,则可合并为两个并矢格林函数。

设在r′点放置的电流源J, 它的三个分别沿正交单位矢量e媴(i=1,2,3)的电偶极矩为




(8)

则体积V中的电流源J(r′)所产生的电场为




(9)

记电场和磁场的电并矢格林函数分别是




(10)

则(9)式可写成并矢的形式




(11)

一般情况下,沿e媴 方向的电偶极矩所产生的电场Ee(e媴)应满足方程




(12)

对应有电并矢格林函数的方程




(13)

和关系式




(14)

在无界均匀媒质中




(15)

对应有电并矢格林函数




(16)

式中


是单位并矢,

rr′时,Ee为|rr′|-3的量级,所以当J(r)厵0时,


在数学上不收敛,应当取其主值。因此,一般应使


(17)这里V0是包含r点的某种形式的微体积;


是一个并矢,V0r表示V0全部的点趋近于r点。

同样,还可以规定另一对磁并矢格林函数





,它们对应了沿e媴方向的磁偶极矩所产生的电磁场Emrr′;ei)和Hmrr′;e媴),并有关系式




(18)

它们满足方程




(19)

和关系式




(20)

参考书目
    P.M. Morse and H. Feshback,Methods of Theoretical physics,McGraw-Hill,Inc.,New York,Kōgakusha Co.,Ltd.Tokyo,1953.C. T. Tai,Dyadic Green's Functions in Electromagnetic Theory ,Intext Educational Pub.,Scranton,1971.

本文关键词:什么是电磁场的格林函数定义,格林函数的性质,格林定理在电磁场分析中的作用,电磁场格林公式,静电场的格林函数。这就是关于《什么是电磁场的格林函数,格林函数电动力学(AR模型中格林函数的作用)》的所有内容,希望对您能有所帮助!

本文链接:https://bk.89qw.com/a-521200

最近发表
网站分类