手机版

百科生活 投稿

FPT是什么意思,cia是什么意思(<10-2/10>渐开线圆柱齿轮的偏差和公差)

百科 2026-02-10 05:45:32 投稿 阅读:8523次

关于【FPT是什么意思】:cia是什么意思,今天小编给您分享一下,如果对您有所帮助别忘了关注本站哦。

  • 内容导航:
  • 1、FPT是什么意思:cia是什么意思
  • 2、公差配合与测量技术(10-2/10)渐开线圆柱齿轮的偏差和公差

1、FPT是什么意思:cia是什么意思

  1、解释:国际注册内部审计师;美国中央情报局;中央情报局;美国中情局;中情局。

  2、双语例句:Congress passed the National Security Act, and the CIA was born

  国会通过了《国家安全法》,中央情报局由此而诞生。

  Shes alt="FPT是什么意思,cia是什么意思(<10-2/10>渐开线圆柱齿轮的偏差和公差)" src="https://p3.toutiaoimg.com/tos-cn-i-qvj2lq49k0/9d06227d1c1d40668d1867ce83a3eabd~tplv-tt-large.image" />

切向综合总偏差曲线

FPT是什么意思,cia是什么意思(<10-2/10>渐开线圆柱齿轮的偏差和公差)

切向综合总偏差

单啮仪测量的主要优点:测量过程较接近齿轮的实际工作状态,故齿轮综合测量能较好地反映齿轮的使用质量,能连续测量被测齿轮全部啮合点的误差,是一种综合测量,各单项误差可以相互抵消,避免把合格品当作废品的失误,且测量效率高,便于实现测量自动化。

单啮仪测量的主要缺点:由于单啮仪的制造精度要求高,目前生产尚未广泛使用。因此,常用其他指标来评定传递运动准确性。

2、齿距累积总偏差Fp(总公差Fp),齿距累积偏差Fpk(公差Fpk )

齿距累积总偏差是指齿轮同侧齿面任意弧段(K=1至K=Z)内的最大齿距累积偏差。

FPT是什么意思,cia是什么意思(<10-2/10>渐开线圆柱齿轮的偏差和公差)

齿距累积总偏差曲线

FPT是什么意思,cia是什么意思(<10-2/10>渐开线圆柱齿轮的偏差和公差)

齿距累积偏差Fpk

3.径向跳动Fr (公差Fr)

径向跳动是指测头(球形、圆柱形、砧形)相继置于每个齿槽内时,从它到齿轮轴线的的最大和最小径向距离之差。

FPT是什么意思,cia是什么意思(<10-2/10>渐开线圆柱齿轮的偏差和公差)

径向跳动

径向跳动仅作为影响传递运动准确性中属于径向性质的单项性指标。因此,采用这一指标必须与能揭示切向误差的单项性指标组合,才能评定传递运动准确性。

径向跳动公差Fr,用以限制径向跳动Fr。

其合格条件为:径向跳动公差Fr≥径向跳动Fr。

径向跳动可在齿圈径向跳动检查仪或普通偏摆检查仪上测量,如下图所示:

FPT是什么意思,cia是什么意思(<10-2/10>渐开线圆柱齿轮的偏差和公差)

径向跳动的测量

4.径向综合总偏差 (总公差 )

径向综合总偏差是指在径向(双面)综合检验时,被测齿轮的左右齿面同时与测量齿轮接触,并转过一整圈时出现的中心距最大值与最小值之差。

FPT是什么意思,cia是什么意思(<10-2/10>渐开线圆柱齿轮的偏差和公差)

径向综合总偏差曲线

FPT是什么意思,cia是什么意思(<10-2/10>渐开线圆柱齿轮的偏差和公差)

径向综合总偏差及双啮仪

FPT是什么意思,cia是什么意思(<10-2/10>渐开线圆柱齿轮的偏差和公差)

双面啮合综合测量

5.公法线长度变动Fw(公差Fw)

公法线长度变动是指在齿轮一周范围内,实际公法线长度最大值与最小值之差。如图10-13所示。

FPT是什么意思,cia是什么意思(<10-2/10>渐开线圆柱齿轮的偏差和公差)

公法线长度变动

FPT是什么意思,cia是什么意思(<10-2/10>渐开线圆柱齿轮的偏差和公差)

公法线长度

FPT是什么意思,cia是什么意思(<10-2/10>渐开线圆柱齿轮的偏差和公差)

用公法线百分尺测量齿轮的公法线

综上所述,影响传递运动准确性的误差,为齿轮一转中出现一次的长周期误差,主要包括径向误差和切向误差。

评定传递运动准确性的指标中,若同时能揭示径向误差和切向误差的是综合性指标,若只能揭示径向误差或切向误差两者之一的是单项性指标。

使用时,可选用一个综合性指标,或两个单项性指标的组合(但两个单项指标中,必须径向指标与切向指标各选一个)来评定,才能全面地反映对传递运动准确性的影响。

影响传动平稳性的误差项目和测量

FPT是什么意思,cia是什么意思(<10-2/10>渐开线圆柱齿轮的偏差和公差)

影响齿轮传动平稳性的偏差项目

1.一齿切向综合偏差

一齿切向综合偏差是指齿轮在—齿距角内的切向综合总偏差。

该偏差是在切向综合总偏差记录曲线上小波纹的最大幅度值。

FPT是什么意思,cia是什么意思(<10-2/10>渐开线圆柱齿轮的偏差和公差)

切向综合偏差

2.一齿径向综合偏差

FPT是什么意思,cia是什么意思(<10-2/10>渐开线圆柱齿轮的偏差和公差)

径向综合偏差

3.齿廓形状偏差Fa

齿廓形状偏差是指在齿轮端截面上,齿形工作部分内(齿顶倒棱部分除外),包容实际齿形的两条设计齿形间的法向距离。

FPT是什么意思,cia是什么意思(<10-2/10>渐开线圆柱齿轮的偏差和公差)

齿廓形状偏差

FPT是什么意思,cia是什么意思(<10-2/10>渐开线圆柱齿轮的偏差和公差)

齿廓形状偏差对传动平稳性的影响图

齿廓形状偏差是影响齿轮传动平稳性中属于转齿性质的单项性指标。它必须与揭示换齿性质的单项性指标组合,才能评定齿轮传动平稳性。

为了防止顶刃啮合,避免撞击现象发生,因此齿顶和齿根处的齿廓形状偏差只允许偏向齿体内。

用齿廓形状公差Fa限制齿廓形状偏差Fa。

其合格条件为:齿形公差Fa≥齿廓形状偏差Fa。

FPT是什么意思,cia是什么意思(<10-2/10>渐开线圆柱齿轮的偏差和公差)

单圆盘渐开线检查仪

4.基圆齿距偏差fpb(基圆齿距极限偏差±fpb)

基圆齿距偏差是指实际基圆齿距与公称基圆齿距之差。

FPT是什么意思,cia是什么意思(<10-2/10>渐开线圆柱齿轮的偏差和公差)

基圆齿距偏差图

FPT是什么意思,cia是什么意思(<10-2/10>渐开线圆柱齿轮的偏差和公差)

基圆齿距偏差

FPT是什么意思,cia是什么意思(<10-2/10>渐开线圆柱齿轮的偏差和公差)

基圆齿距偏差对传动平稳性的影响

基圆齿距偏差可作为评定齿轮传动平稳性中属于换齿性质的单项性指标。它必须与揭示转齿性质的单项性指标组合,才能评定齿轮传动平稳性。

为保证齿轮传动换齿过程中的平稳性,必须用基圆齿距极限偏差±fpb来限制基圆齿距偏差fpb。

其合格条件为:-fpb≤fpb≤+fpb

FPT是什么意思,cia是什么意思(<10-2/10>渐开线圆柱齿轮的偏差和公差)

切线式基圆齿距仪测量基圆齿距偏差示意图

5.单个齿距偏差fpt(单个齿距极限偏差±fpt)

单个齿距偏差是指在端面上,在接近齿高中部的一个与齿轮轴线同心的圆上,实际齿距与理论齿距的代数差。

FPT是什么意思,cia是什么意思(<10-2/10>渐开线圆柱齿轮的偏差和公差)

单个齿距偏差

FPT是什么意思,cia是什么意思(<10-2/10>渐开线圆柱齿轮的偏差和公差)

单个齿距偏差

综上所述,影响齿轮传动平稳性的误差为齿轮一转中多次重复出现的短周期误差,主要包括转齿误差和换齿误差。

评定传递运动平稳性的指标中,同时能揭示转齿误差和换齿误差的是综合性指标,只能揭示转齿误差或换齿误差两者之一的是单项性指标。

使用时,可选用一个综合性指标,或两个单项性指标的组合(但两个单项指标中,必须转齿指标与换齿指标各选一个)来评定,才能全面地反映对传递运动平稳性的影响。

影响载荷分布均匀性的误差项目和测量

单项指标有:螺旋线总偏差Fβ(齿长方向),齿廓形状偏差Fa(齿高方向)。

在理论上,一对轮齿的啮合过程,若不考虑弹性变形的影响,其啮合是由齿顶到齿根每瞬间都沿着全齿宽成一直线接触。对于直齿轮,齿面是切于基圆柱的平面上与轴线平行的直线K-K的运动轨迹——渐开面,所以轮齿每瞬间的接触线是一根平行于轴线的直线K-K。

FPT是什么意思,cia是什么意思(<10-2/10>渐开线圆柱齿轮的偏差和公差)

直齿轮的啮合

造成接触不良的原因是:影响齿长方向接触的主要是螺旋线总偏差;影响齿高方向接触的主要是齿廓形状偏差。齿廓形状偏差在考虑传递运动平稳性时已加以限制,一般传递运动平稳性与载荷分布均匀性选取相同精度等级。因此,就齿轮本身来说,影响载荷分布均匀性只要控制螺旋线总偏差就行了。

螺旋线总偏差Fβ(螺旋线总公差Fβ)是指在计值范围内,包容实际螺旋线迹线的两条设计螺旋线迹线间的距离。

FPT是什么意思,cia是什么意思(<10-2/10>渐开线圆柱齿轮的偏差和公差)

螺旋线总偏差

FPT是什么意思,cia是什么意思(<10-2/10>渐开线圆柱齿轮的偏差和公差)

圆柱测量螺旋线总偏差

侧隙合理性的误差项目和测量

1.齿厚偏差(齿厚极限偏差:齿厚上偏差Esns、齿厚下偏差Esni)

齿厚偏差是指在分度圆柱面上,齿厚实际值与公称值之差。对于斜齿轮,指法向齿厚。

FPT是什么意思,cia是什么意思(<10-2/10>渐开线圆柱齿轮的偏差和公差)

齿厚偏差

FPT是什么意思,cia是什么意思(<10-2/10>渐开线圆柱齿轮的偏差和公差)

齿厚偏差

FPT是什么意思,cia是什么意思(<10-2/10>渐开线圆柱齿轮的偏差和公差)

圆弦齿厚和弦齿高

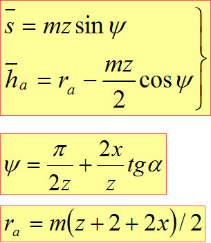
设被测齿轮的模数为m,齿数为Z,压力角为α,变位系数为x,则:

FPT是什么意思,cia是什么意思(<10-2/10>渐开线圆柱齿轮的偏差和公差)

ra——齿顶圆半径

2.公法线平均长度偏差(公法线平均长度极限偏差:上偏差EWms、下偏差EWmi)

FPT是什么意思,cia是什么意思(<10-2/10>渐开线圆柱齿轮的偏差和公差)

公法线平均长度偏差

FPT是什么意思,cia是什么意思(<10-2/10>渐开线圆柱齿轮的偏差和公差)

公法线平均长度偏差

注意:公法线平均长度偏差和公法线长度变动量尽管两者的测量方法、测量部位、所用量具都相同,也都在圆周上6处或6处以上测量取值,但它们的概念不同,两者不能混淆。

区别:公法线长度变动量是影响传递运动准确性的指标,不必与公法线公称长度比较,公法线长度变动的含义是指一个齿轮上公法线长度变动的范围。而公法线平均长度偏差是影响侧隙的指标,与公法线公称长度有关,是公法线长度的平均值对公称值的偏差,既有大小又有方向。因此它们是两种不同性质的指标。

以上所述各个评定指标,对斜齿轮也适用。但某些计算公式应加以修正,并应在法向平面内测量。由于斜齿轮的啮合特性,评定斜齿轮的精度还可以采用下述的指标。

斜齿圆柱齿轮特有的偏差和公差

1.螺旋线形状偏差ffβ(公差ffβ)

FPT是什么意思,cia是什么意思(<10-2/10>渐开线圆柱齿轮的偏差和公差)

螺旋线形状偏差

FPT是什么意思,cia是什么意思(<10-2/10>渐开线圆柱齿轮的偏差和公差)

螺旋线形状偏差

螺旋线形状偏差用于评定轴向重合度εβ>1.25的6级及高于6级精度的斜齿轮及人字齿轮的传动平稳性。

螺旋线形状偏差是严重影响平稳性的主要因素,故高精度宽斜齿轮、人字齿轮应控制螺旋线形状偏差ffβ。

2. 接触线偏差fb(公差fb)

接触线偏差是指在基圆柱的切平面内,平行于公称接触线,并包容实际接触线的两条直线间的法向距离。它包括方向误差和形状误差。

FPT是什么意思,cia是什么意思(<10-2/10>渐开线圆柱齿轮的偏差和公差)

接触线误差

FPT是什么意思,cia是什么意思(<10-2/10>渐开线圆柱齿轮的偏差和公差)

两齿轮齿面的接触线

3.轴向齿距偏差fpx(轴向齿距极限偏差±fpx)

FPT是什么意思,cia是什么意思(<10-2/10>渐开线圆柱齿轮的偏差和公差)

轴向齿距偏差

齿轮副的偏差和公差

1.轴线的平行度偏差

FPT是什么意思,cia是什么意思(<10-2/10>渐开线圆柱齿轮的偏差和公差)

轴线的平行度偏差

FPT是什么意思,cia是什么意思(<10-2/10>渐开线圆柱齿轮的偏差和公差)

齿轮副的安装误差

2.齿轮副的中心距偏差fa

FPT是什么意思,cia是什么意思(<10-2/10>渐开线圆柱齿轮的偏差和公差)

齿轮副的中心距偏差fa

FPT是什么意思,cia是什么意思(<10-2/10>渐开线圆柱齿轮的偏差和公差)

接触斑点

FPT是什么意思,cia是什么意思(<10-2/10>渐开线圆柱齿轮的偏差和公差)

接触斑点

FPT是什么意思,cia是什么意思(<10-2/10>渐开线圆柱齿轮的偏差和公差)

齿轮副的侧隙

FPT是什么意思,cia是什么意思(<10-2/10>渐开线圆柱齿轮的偏差和公差)

法向侧隙与圆周侧隙

GB/Tl0095.1—2001和GB/Tl0095.2—2001对齿轮、齿轮副的误差及齿轮副的侧隙规定了若干个评定指标。而且每项指标都可在一定程度上揭示齿轮的加工误差或安装误差,并能用一定的测量方法测出。

使用时,可选用一个综合性指标,或两个单项性指标的组合来分别评定,才能全面地反映对齿轮使用性能的影响。

为了保证安装好的齿轮副的传动性能,还应控制若干项齿轮副的安装误差。

本文关键词:felicia是什么意思,card是什么意思,ciao是什么意思,美国cia是什么意思,classmates是什么意思。这就是关于《FPT是什么意思,cia是什么意思(<10-2/10>渐开线圆柱齿轮的偏差和公差)》的所有内容,希望对您能有所帮助!

本文链接:https://bk.89qw.com/a-522137

最近发表
网站分类