手机版

百科生活 投稿

犹豫就会败北是谁说的,犹豫就会败北这句话出自哪里(物理定律告诉你:表白可能巨亏)

百科 2026-02-19 01:07:50 投稿 阅读:8430次

关于【犹豫就会败北是谁说的】:犹豫就会败北是谁说的,今天小编给您分享一下,如果对您有所帮助别忘了关注本站哦。

  • 内容导航:
  • 1、犹豫就会败北是谁说的
  • 2、物理定律告诉你:表白可能巨亏,分手一定血赚

1、犹豫就会败北是谁说的

  犹豫就会败北,果断就会白给,网络流行词出自苇名一心,意思是该防御还是该攻击,不能犹豫,只要稍有犹豫你就会马上败北,但就算你果断作出反应,如果作出了错误的选择,你就会白送人头。犹豫就会败北这句话出自角色扮演游戏“只狼”中的最终BOSS人称剑圣的“苇名一心”在你被苇名一心打死以后他就会说一句“犹豫就会败北”所以这个梗的出处便是这里了。

2、物理定律告诉你:表白可能巨亏,分手一定血赚

又到了每年的2月14日,我们和以往一样,再次拿起火把,抱着认真好奇的态度,又一次踏上了对爱情的探究之旅。

犹豫就会败北是谁说的,犹豫就会败北这句话出自哪里(物理定律告诉你:表白可能巨亏)

我们结合之前的研究结果 [1][2][3],围绕恋爱中的种种行为,开展了更为深入的研究。

犹豫就会败北是谁说的,犹豫就会败北这句话出自哪里(物理定律告诉你:表白可能巨亏)

1. 表白可能巨亏,分手一定血赚

俗话说得好,万事开头难。恋爱第一步,表白要稳住。但是,表白真的是一件很合理的事情吗?我们对这一问题展开了建模研究。

我们假定阿珍与阿强是关系非常好的朋友,而且阿珍爱上了阿强,但一直处于暗恋的状态。现在阿珍要选择是否向阿强表白。

犹豫就会败北是谁说的,犹豫就会败北这句话出自哪里(物理定律告诉你:表白可能巨亏)

假如阿珍表白,那么阿珍会面临一个问题,就是阿珍不知道阿强是不是喜欢自己。我们假设阿强有50%的概率喜欢阿珍,那么阿珍表白成功。同时,阿强还有50%的概率不喜欢阿珍,那么在阿珍表白后,阿珍与阿强的朋友关系就会变得有点尴尬,甚至就没法做朋友了。

假如阿珍不表白,那么阿珍和阿强有100%的概率可以一直做朋友,而且阿珍还能继续暗恋着阿强。那么阿珍要怎么选择?

犹豫就会败北是谁说的,犹豫就会败北这句话出自哪里(物理定律告诉你:表白可能巨亏)

行为金融学告诉我们,人们大多会选择不表白。对于这一点,我们可以问一个类似的问题进行类比。现在一个人遇到了两种选择,第一种,有100%的概率获得10万元。第二种,有50%的概率什么都没有,有50%的概率获得20万元。

犹豫就会败北是谁说的,犹豫就会败北这句话出自哪里(物理定律告诉你:表白可能巨亏)

经过调查后发现,大家都会选择第一种,原因是:选择第一种,钱直接入袋为安,而选择第二种的话有可能什么都得不到。事实上,两种选择的数学期望是一样的,都是10万元,但是,在遇到收益的时候,人们会倾向于选择风险较低的选项。也就是说,面对收益,人们是风险厌恶的

犹豫就会败北是谁说的,犹豫就会败北这句话出自哪里(物理定律告诉你:表白可能巨亏)

回到表白的问题上,阿珍不表白,和阿强继续做朋友是一个非常稳定的收益。而阿珍表白,就有一定的风险会失去一个朋友。依据刚才的结论,阿珍面对收益,风险厌恶,所以一定会选择不表白。因此,从经济学的角度讲,表白可能是一件很亏的事情

在此基础上,我们对分手这一行为也进行了研究。通过研究,我们发现,分手一定很赚

犹豫就会败北是谁说的,犹豫就会败北这句话出自哪里(物理定律告诉你:表白可能巨亏)

在这一问题中,我们假定阿珍和阿强是一对情侣,经过几次吵架之后,阿珍考虑要不要和阿强分手。如果阿珍选择不分手,那么以后阿珍和阿强有100%的概率继续吵下去。但是,如果阿珍选择分手,那么阿珍有50%的概率遇到一个不再跟自己吵架的对象,也有50%的概率遇到一个经常会和自己吵架的对象。这时阿珍又要如何选择?

犹豫就会败北是谁说的,犹豫就会败北这句话出自哪里(物理定律告诉你:表白可能巨亏)

与之前一样,我们提出一个相似的问题作为参照。这次的问题是,一个人遇到了两种选择,第一种,有100%的概率损失10万元。第二种,有50%的概率损失20万元,有50%的概率什么都不损失。

犹豫就会败北是谁说的,犹豫就会败北这句话出自哪里(物理定律告诉你:表白可能巨亏)

面对这一问题,大家会倾向于选择第二种,原因是:选择第一种,必然是亏的。而选择第二种,虽然也可能会亏,但是也有机会一分钱不亏。事实上,这两种选择的数学期望也是一样的,都是-10万元。但是,在遇到损失时,人们倾向于选择带有一定风险的选项。毕竟“搏一搏,单车变摩托”。所以,面对损失,人们是风险偏好的

犹豫就会败北是谁说的,犹豫就会败北这句话出自哪里(物理定律告诉你:表白可能巨亏)

现在,我们再来看分手的问题,阿珍和阿强之间的吵架,对双方都是一种损失。选择分手,双方都有机会遇到不再和自己吵架的对象。因此,阿珍根据风险偏好的原则,一定会选择分手。所以说,如果有一天你想分手了,千万别犹豫,犹豫就会败北,分手绝不后悔

犹豫就会败北是谁说的,犹豫就会败北这句话出自哪里(物理定律告诉你:表白可能巨亏)

毕竟,分手了今天就不用过情人节了呢!耶~

2. 恩爱秀得越嗨,小船翻得越快

秀恩爱是恋爱中必不可少的一部分。我们针对秀恩爱这一行为进行了调研。在所调研的众多对象中,我们发现,有很多组对象在秀过一次恩爱之后,就再也不和对方联系了,同时,他们都觉得:爱情的小船,真是说翻就翻!我们对这一普遍现象的成因进行了研究。

犹豫就会败北是谁说的,犹豫就会败北这句话出自哪里(物理定律告诉你:表白可能巨亏)

经过与这些调研对象的交流,我们发现,他们都非常喜欢在湖边约会。据他们所说:湖光山色,风景迷人,在湖心二人泛舟,别有一番滋味。我们从一位当事人阿珍处了解到:当时,她和阿强在小船上正想来一个“泰坦尼克号式”的拥抱秀一秀恩爱,刚站起身来,一阵微风吹过,船侧倾了一下就翻了(恩爱没秀成,反而被恩爱给秀了)。了解到这些信息后,我们开始了对“翻船问题的建模分析。

犹豫就会败北是谁说的,犹豫就会败北这句话出自哪里(物理定律告诉你:表白可能巨亏)

为了解决这一问题,需要先了解浮体的稳定性问题。浮体分为两种,一种是悬浮体,比如热气球。另一种是漂浮体,比如船。

犹豫就会败北是谁说的,犹豫就会败北这句话出自哪里(物理定律告诉你:表白可能巨亏)

热气球示意图

对于悬浮体,其平衡所需要满足的条件是:重力与浮力等大反向且浮心在重心之上。以热气球为例,如上图所示,热气球的浮力由气球产生,所以浮心位于气球上的B处,而吊篮较重,因此重心位于吊篮上的G处。由于浮心位于重心之上,如果热气球向一侧发生倾斜,浮力与重力的力偶矩会使热气球往对面一侧回正(就像开车时,两手回正方向盘)。因此,热气球飞行时会比较稳定。

犹豫就会败北是谁说的,犹豫就会败北这句话出自哪里(物理定律告诉你:表白可能巨亏)

回正方向盘 [9]

对于漂浮体,情况要复杂一些。如下图,船在未发生侧倾时,浮心与重心的连线BG是竖直的。当船发生侧倾时,其浸没于液体的部分发生了改变。因此,浮心的位置也发生了变化,图中记为E。我们将此时浮力所在直线与BG所在直线的交点记为稳心M。当稳心高于重心时,浮力与重力的力偶矩可以使船回正。当稳心低于重心时,船没有了回正的力矩,就会继续倾斜。因此,即使漂浮体的浮心位于重心之下,只要稳心高于重心,漂浮体也能保持稳定

犹豫就会败北是谁说的,犹豫就会败北这句话出自哪里(物理定律告诉你:表白可能巨亏)

船倾斜示意图

现在回到之前的问题上,我们假设阿珍与阿强的身材娇小,体重都是50kg,在一艘长3√3/5m宽√3/3m高1/3m的船上。船由一种非常轻但强度很大的材料制成,因此船的质量相对人的体重忽略不计。我们考察一种极端情况,如下图,假设船被吹得侧倾了30°。这种情况下,船所能排开水的最大体积刚好为100kg(刚刚好,我们什么都算到了),此时重力与浮力大小相等,而稳心与重心的关系则需要进一步讨论。

犹豫就会败北是谁说的,犹豫就会败北这句话出自哪里(物理定律告诉你:表白可能巨亏)

船的正视图

首先计算浮心,如上图所示,根据阿基米德定律(Archimedes principle),浮心就是所排水体积的几何中心。由于排开的水是三棱柱形的,所以在图中,其几何中心就是三角形的重心E,它是由三角形的三条中线相交所得

然后计算稳心,由“简单的几何学”可得:∠BOC=∠MOC,AC垂直于ME。所以三角形OME是等腰三角形。结合重心的几何性质可知,OM=BC/3=1/9m。所以,M距离船底有1/6+1/9=5/18m,大约为28cm

犹豫就会败北是谁说的,犹豫就会败北这句话出自哪里(物理定律告诉你:表白可能巨亏)

由于船的质量忽略不计,所以总体的重心与两个人整体的重心重合。如果阿珍和阿强如下图所示坐在船舱里,且考虑两人娇小的身材,可以推断,两个人整体的重心到船底的距离要小于等于28cm。稳心高于重心,依据前面的结论,船会保持稳定的状态,所以两人坐着是十分安全的

犹豫就会败北是谁说的,犹豫就会败北这句话出自哪里(物理定律告诉你:表白可能巨亏)

但是,爱情是不会允许两个人这么坐着的为了秀出他们的恩爱,他们会来一个“泰坦尼克号”式的拥抱。这时,两人站了起来,张开了双臂。如下图,我们假定两人的身高都是1.7m,且在船倾斜的时候他们保持与船垂直站立。此时,两个人整体的重心距离船底有1.7/2=0.85m。重心超过了稳心的高度,因此船必然要翻。

犹豫就会败北是谁说的,犹豫就会败北这句话出自哪里(物理定律告诉你:表白可能巨亏)

所以说,坐船就是要求你坐在船上,千万别站起来。否则,承载着爱情的小船必将会因为种种秀恩爱行为说翻就翻

犹豫就会败北是谁说的,犹豫就会败北这句话出自哪里(物理定律告诉你:表白可能巨亏)

3. 原谅不是偶然,心碎则是必然

2019年的研究中提到:恋爱中的两个人无法避免地会发生摩擦,且两个人的感情一旦变差,是不可能自发地再次回暖的。我们针对这一理论进行了进一步研究。

通过对众多对象的调研,我们发现,对于情侣之间的矛盾,大家会有不同的态度。有的人说:嘤嘤嘤,我不管,有的人说:当然是选择原谅啊,而有的人则说:心碎了,感觉不会再爱了。这引起了我们极大的兴趣。为什么恋爱中的人会选择原谅?恋爱中的心碎究竟是怎么造成的?针对这些问题我们进行了建模分析。

犹豫就会败北是谁说的,犹豫就会败北这句话出自哪里(物理定律告诉你:表白可能巨亏)

我们知道,当物体受到外力影响,发生形变时,物体会产生克服形变的力,我们称之为应力。对于爱情,两个人之间的矛盾就是外力。每个人应对、克服矛盾态度就是“爱情应力”

有的物体在撤去外部所施加的力后,会完全恢复到之前的形状,我们称该物体发生了弹性形变。类比可知,“爱情弹性形变”就是指矛盾发生以后,我们通过原谅对方,来抵抗矛盾所造成的影响,并希望爱情能因此恢复到之前的状态。

犹豫就会败北是谁说的,犹豫就会败北这句话出自哪里(物理定律告诉你:表白可能巨亏)

高尔夫球的弹性形变

而有的物体,在外部施加力的作用下,会造成不可自行恢复的形变,我们称该物体发生了塑性形变。所以,“爱情塑性形变”就是指发生矛盾后,我们的心仿佛被刺刀狠狠地宰,创伤无法弥补,再也回不到从前了。

犹豫就会败北是谁说的,犹豫就会败北这句话出自哪里(物理定律告诉你:表白可能巨亏)

磁性橡皮泥的塑性形变 [10]

也有一些物体,比如弹簧,它在弹性极限内能发生弹性形变,但是超出弹性极限后,弹簧进入屈服阶段,发生塑性形变。这时,我们称这种物体发生了弹塑性变形。相应的,“爱情弹塑性变形”就是指,发生矛盾后,我们先是选择“爱情弹性形变”,原谅对方,但是一次次的原谅并没有使矛盾得以解决。持续不断的矛盾使“爱情弹性形变”超出了忍受极限,令我们发生了“爱情塑性形变”(这种模型比较符合现实生活中的情形)。

犹豫就会败北是谁说的,犹豫就会败北这句话出自哪里(物理定律告诉你:表白可能巨亏)

弹簧的形变示意图 [12]

在这些理论基础上,我们做了一些模拟验证了我们的理论。我们使用的模拟算法是物质点法(Material Point Method),被模拟的对象是我们的“爱情”。我们假设爱情是一种连续介质,对于连续介质,它的本构模型描述了其应力与应变的关系。因此只要给出“爱情”的本构模型,我们就能得到“爱情”的具体动力学方程,然后进行模拟。

犹豫就会败北是谁说的,犹豫就会败北这句话出自哪里(物理定律告诉你:表白可能巨亏)

物质点法应用于CG [8]

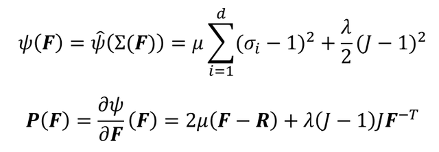
首先,我们用“爱情弹性模型”模拟选择原谅对“爱情”产生的影响。这一模型中,“爱情”发生的所有形变都是“爱情弹性形变”,其本构模型如下图(该本构模型一般用于模拟弹性体)。

犹豫就会败北是谁说的,犹豫就会败北这句话出自哪里(物理定律告诉你:表白可能巨亏)

模拟的结果如下图,从图中可以看出,Q弹的“爱情”经过多次的碰撞(即矛盾冲击)之后,仍然保持着初始的外形(就是颜色会有点变化)。这意味着,原谅的确有使“爱情”复原的作用。因此,很多人选择原谅并不是一时兴起,而是经过理性分析后做出的决定。

犹豫就会败北是谁说的,犹豫就会败北这句话出自哪里(物理定律告诉你:表白可能巨亏)

然后,我们模拟“爱情弹塑性模型”对“爱情”的影响。在这一模型中,“爱情”所发生的形变是“爱情弹塑性变形”,其本构模型如下图(该本构模型一般用于模拟雪)。

犹豫就会败北是谁说的,犹豫就会败北这句话出自哪里(物理定律告诉你:表白可能巨亏)

模拟的结果如下图,从图中可以看出,“爱情”经过一次剧烈的撞击后,很快被撞扁。再次受到撞击后,“爱情”就分成很多块“裂开了”,心也就碎了。出现这个现象是因为,该模型中,“爱情弹性形变”只在能一定形变范围内起作用,超出该范围时,“爱情”内部就无法提供足够的力去约束这些形变了。因此,只要“爱情”出现了裂痕,就无法恢复原样。所以,矛盾造成的过度形变是心碎的直接原因。

犹豫就会败北是谁说的,犹豫就会败北这句话出自哪里(物理定律告诉你:表白可能巨亏)

综上,我们得出,“嘤嘤嘤”和“我不听”是在逃避矛盾“原谅”和“你真漂亮”是在拖住矛盾,只有解决矛盾才能真正地挽回即将破碎的心,那么如何才能解决矛盾呢?

犹豫就会败北是谁说的,犹豫就会败北这句话出自哪里(物理定律告诉你:表白可能巨亏)

4. 闹矛盾找牛顿,要讲理用物理

从前面的研究可以看出,情侣间的矛盾是促使感情破裂的直接因素。作为一项面向大众、服务大众的研究,我们决定寻找一种方法帮助大家缓解矛盾。

犹豫就会败北是谁说的,犹豫就会败北这句话出自哪里(物理定律告诉你:表白可能巨亏)

我们从阿珍那了解到,她在和阿强发生争吵的时候,脾气会变得非常暴躁,而且喉咙仿佛有团熊熊烈怒火,随时有可能喷发。如果火消下去了,心情就能平复很多,矛盾也就容易解决了。这个信息告诉我们,缓解矛盾的一个好方法,就是灭掉喉咙处的这团火。

犹豫就会败北是谁说的,犹豫就会败北这句话出自哪里(物理定律告诉你:表白可能巨亏)

说到灭火,第一个想到的是用水。我们就曾试过用“多喝热水”的方法去“灭火”,但是效果不佳,反而引起了更大的矛盾。

犹豫就会败北是谁说的,犹豫就会败北这句话出自哪里(物理定律告诉你:表白可能巨亏)

后来,我们联想到,情侣都是“天生的一对”,那么从物理的角度讲,既然都是一对了,那情侣的固有频率应该也是差不多的,所以我们联想到了共振,进而找到了一个有趣的思路。

犹豫就会败北是谁说的,犹豫就会败北这句话出自哪里(物理定律告诉你:表白可能巨亏)

实验1 [13]

如上图实验1,可以看到,两个一模一样的量筒,隔着一块玻璃板对称放置。将吹风机对准右边的量筒并打开吹风机的开关。受吹风机吹出的风影响,右边的量筒会发出声响。此时将点燃的蜡烛置于左边量筒的顶端,可以看到蜡烛会自动熄灭。如果没有吹风机、以及量筒,也可以如下图实验2所示完成这个实验。

犹豫就会败北是谁说的,犹豫就会败北这句话出自哪里(物理定律告诉你:表白可能巨亏)

实验2 [14]

这个小实验的原理有两点,首先是两个量筒的固有频率一致,因此会发生共振。即,当右边的量筒发出声响时,左边的量筒(具体讲是量筒内的空气)也会发生振动。其次,左边量筒中的空气柱是一端开口一端闭口的肯特管(Kundt's tube),当空气柱振动达到一定频率时,会在量筒中形成驻波。我们知道,声波是疏密波,当驻波形成时,波腹的振幅最大,空气密度小。从下图可以看出(蓝色越深表示空气密度越大),驻波形成时,量筒顶端的空气密度都是最小的。因此,蜡烛放在此处,很容易因空气稀薄而熄灭。

犹豫就会败北是谁说的,犹豫就会败北这句话出自哪里(物理定律告诉你:表白可能巨亏)

驻波示意图 [13]

由这个实验现象,我们可以大胆地做出想象。如果把阿珍看作是一个“量筒”,那喉咙正好位于“量筒”的顶端。那么阿强可以仿照前面所展示的实验,(拿一个吹风机对着自己的嘴吹风)大声地唱歌,这样,一方面,歌声能安抚人的心情。另一方面,歌声也引起阿珍喉咙处的空气柱共振,从而利用驻波巧妙地进行灭火。怒火没了,人就能冷静下来讲道理,矛盾也就容易解决了。

综上,我们提出了一种用物理方法解决情侣间矛盾的思路。但是由于缺乏实验条件,未进行实验测试,所以仅供参考

犹豫就会败北是谁说的,犹豫就会败北这句话出自哪里(物理定律告诉你:表白可能巨亏)

至此,我们对恋爱中的表白与分手秀恩爱与船翻快以及原谅与心碎等行为现象,采用了先观察调研(为什么只能观察?),再进行建模分析的研究策略。运用经济学简单的几何学连续介质力学进行了深入剖析。验证了恋爱中这些行为存在的合理性,为今后的恋爱发展提供了一定的理论支持。同时,我们也针对情侣闹矛盾这一常见问题提出了一个解决思路,并给出了理想情况下的实验结果,符合了学以致用的思想。

总的来看,通过本次研究,我们充分认识到,爱情是十分复杂的,正所谓:爱情这个世界,有那么多的悖论,小心翼翼不见得就获得满分。既然恋爱不一定能拿满分,那不如我们好好学习物理拿个满分吧~

犹豫就会败北是谁说的,犹豫就会败北这句话出自哪里(物理定律告诉你:表白可能巨亏)

本研究在工具人基金的支持下完成。同时感谢中科院物理所可乐不加冰、Cloudiiink以及其他各位小伙伴的帮助,感谢中国科学院深圳先进技术研究院刘翼豪等人提供的建议。

参考文献:

[1] 物理定理告诉你,爱情的真相有多么残酷!

[2] 物理定理告诉你,天下有情人终将分手!

[3] 为什么物理不能理解爱情?

[4] 陆剑清. 行为金融学[J]. 2009.

[5] 舒幼生. 力学[M]. 北京:北京大学出版社, 2005.

[6] 风险偏好与风险厌恶

[7] 唐伟峰, 孙锦. 某漂浮体漂浮稳定性研究[J]. 海军航空工程学院学报, 2012, 5.

[8] Stomakhin,et. A material point method for snow simulation.2013

[9] 回正方向盘

[10] 磁性橡皮泥塑性形变

[11] 雪人

[12] 弹簧弹性形变

[13] 实验1视频链接地址

[14] 实验2视频链接地址

编辑:Shiny

本文关键词:犹豫就会败北是谁说的台词,犹豫就会败北这句话出自哪里,犹豫就得败北,犹豫就会败北这句话是谁说的,为什么说犹豫就会败北。这就是关于《犹豫就会败北是谁说的,犹豫就会败北这句话出自哪里(物理定律告诉你:表白可能巨亏)》的所有内容,希望对您能有所帮助!

本文链接:https://bk.89qw.com/a-524224

最近发表
网站分类