百科生活 投稿
关于【2022大专补录学校名单有哪些】,2022专科补录学校有哪些,今天小编给您分享一下,如果对您有所帮助别忘了关注本站哦。
- 内容导航:
- 1、刚刚!广东专科补录投档情况新鲜出炉!最高507分!你被录取了吗
- 2、2022大专补录学校名单有哪些:2022专科补录学校有哪些?2022专科征集志愿学校名单汇总
1、刚刚!广东专科补录投档情况新鲜出炉!最高507分!你被录取了吗
刚刚
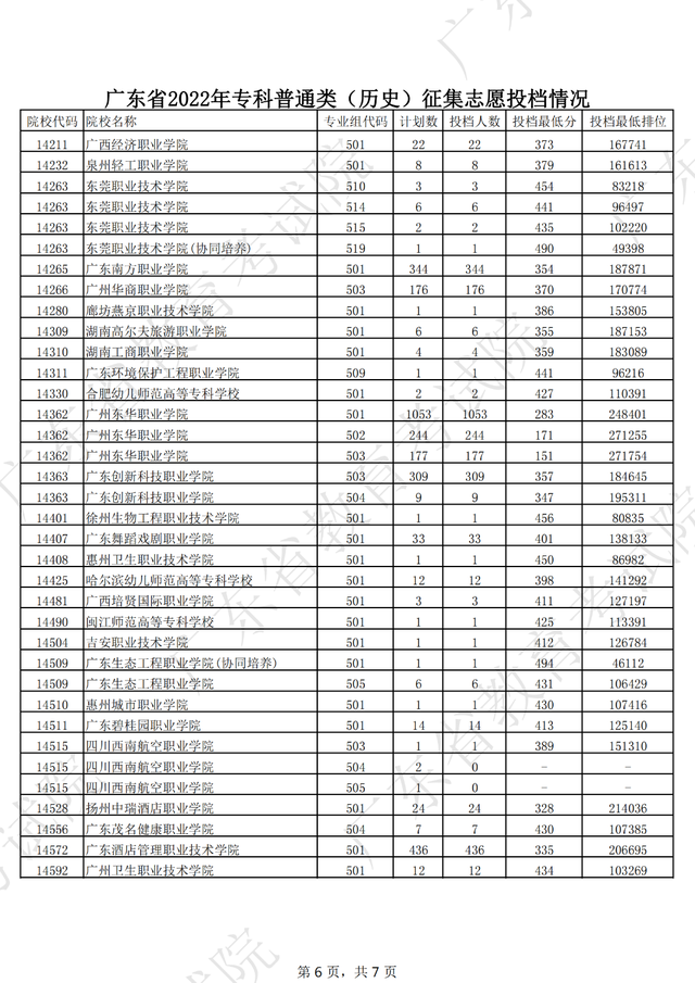
考试院公布了2022广东专科补录投档情况
最高507分!
竞争超激烈
你上岸成功了吗?
2022年广东专科补录投档情况
温馨提示:目前,广东省2022年普通高等学校招生录取工作正在进行中。在录取期间,每天17:00前考试院将截至当天11:30已经录取的考生,通过号码向已录取考生在高考志愿填报系统绑定的手机号码推送录取结果,被录取的考生可耐心等待哦!
此外,考生们也可以关注【贝壳说高考】,进入查询入口,快速查询你的录取结果哦!
来源:综合来源于网络
如有侵权问题,请联系小编删除
2、2022大专补录学校名单有哪些:2022专科补录学校有哪些?2022专科征集志愿学校名单汇总
对于在集中录取时退档或滑档的考生来说,应该很关注征集志愿,从而多一次在该志愿被录取的机会。那么专科征集志愿填报是什么时候?2022专科补录学校有哪些?在本文,小编整理了2022专科征集志愿学校名单汇总,以供同学们参考。
2022专科征集志愿学校名单汇总
温馨提示:同学们可在文章的上方或下方输入分数,通过下载大文学APP,查看可以上的大学。APP可以预测落榜风险,还有“按分数选学校”、“测录取概率”等功能都可以为考生提供参考。
河北
2)历史类2022专科第1次征集志愿院校名单
重庆高职高专批第二次
1)重庆2022专科历史类第2次征集志愿院校名单
2)重庆2022专科物理类第2次征集志愿院校名单
四川
专科提前批
四川2022专科提前批第一次征集志愿院校名单
四川2022专科提前批第二次征集志愿院校名单
专科批
四川2022专科批次理科第一次征集志愿院校名单
四川2022专科批次文科第一次征集志愿院校名单
8月19日左右:一类模式专科批
广西
广西2022专科提前批征集志愿院校名单
广西2022专科批次第一次征集志愿说明
广西2022专科批次第二次征集志愿说明

云南
云南2022专科征集志愿院校名单
高职专科批:预计8月19日、21日征集志愿
贵州
贵州省2022年高考提前高职(专科)院校征集志愿的说明
海南
2022年海南省高职(专科)提前批征集志愿的公告
2022年海南省高职(专科)批第一次征集志愿的公告
2022年海南省高职(专科)批第二次征集志愿的公告
甘肃
2022年甘肃省高职(专科)批P段、Q段及体育艺术类高职(专科)批X段征集志愿公告
8月15日20:00-8月16日8:00:高职(专科)批R段第一次征集
8月17日20:00-8月18日8:00:高职(专科)批R段第二次征集
本文关键词:2021补录的专科院校有哪些,2022专科补录学校有哪些大学,2020专科补录学校,2020补录专科学校有哪些,2021年专科补录院校。这就是关于《2022大专补录学校名单有哪些,2022专科补录学校有哪些(广东专科补录投档情况新鲜出炉)》的所有内容,希望对您能有所帮助!
- 最近发表