手机版

百科生活 投稿

数学归纳法步骤,数列极限数学归纳法步骤(猜证结合思想之“数学归纳法”在高中数学解题中的应用)

百科 2026-02-14 08:04:52 投稿 阅读:6001次

关于【数学归纳法步骤】:数学归纳法步骤,今天小编给您分享一下,如果对您有所帮助别忘了关注本站哦。

  • 内容导航:
  • 1、数学归纳法步骤
  • 2、猜证结合思想之“数学归纳法”在高中数学解题中的应用

1、数学归纳法步骤

  最简单和常见的数学归纳法是证明当n等于任意一个自然数时某命题成立。证明分下面两步:

  1、证明当n= 1时命题成立;

  2、假设n=m时命题成立,那么可以推导出在n=m+1时命题也成立。(m代表任意自然数)

  这种方法的原理在于:首先证明在某个起点值时命题成立,然后证明从一个值到下一个值的过程有效。当这两点都已经证明,那么任意值都可以通过反复使用这个方法推导出来。

  解题要点:

  数学归纳法对解题的形式要求严格,数学归纳法解题过程中:

  1、验证n取第一个自然数时成立

  2、假设n=k时成立,然后以验证的条件和假设的条件作为论证的依据进行推导,在接下来的推导过程中不能直接将n=k+1代入假设的原式中去。

  需要强调是数学归纳法的两步都很重要,缺一不可,否则可能得到荒谬证明。

2、猜证结合思想之“数学归纳法”在高中数学解题中的应用

一、猜证结合思想概述

解题的核心是逻辑推理,因此我们要着力研究:怎样进行逻辑推理。

在数学上“逻辑”通常是指“思维的规律”,它不仅包括形式逻辑推理,而且包括辩证逻辑推理以及各种非形式化的逻辑推理,如形象思维、直觉思维等等。因此我们要尽力引入运动和辩证的方法,全面而深刻的学会推理。

解题是人类特别富有的智力活动,它必须遵循人类认识运动的规律。

人的基本认识过程有两个:一是由特殊到一般;一是由一般到特殊。我们按照这两个基本认识过程,将推理分为两种:

1、似真推理 —— 由特殊到一般,这种推理也叫做归纳推理,这是创造性的逻辑推理。

“由特殊到特殊”或“由一般到一般”的推理,叫做类比推理。其认识过程仍包含于“由特殊到一般”这个基本认识过程之中,并且所推出的结论也是似真的,所以类比推理也是似真推理。

2、证明推理 —— 由一般到特殊的推理,叫做演绎推理,这是必然性的推理,我们把演绎推理也叫做证明推理。

我们把似真推理和证明推理,简言为“猜想和证明” , 数学推理总是这样 “猜想——证明——再猜——再证”循环往复的进行的,直到问题解决或发现新问题,这就是数学推理的逻辑,由此凝聚了一个现代的解题思想——猜证结合思想

数学归纳法步骤,数列极限数学归纳法步骤(猜证结合思想之“数学归纳法”在高中数学解题中的应用)

二、数学归纳法概述

“数学归纳法”是证明与正整数有关的命题的一种方法,它的理论依据是数学归纳原理

设 P(n)是关于正整数 n 的一个命题,如果:(1)P(1)真 ;(2)由P(k)为真的假设可推出 P(k +1)也为真,那么 P(n)对一切正整数 n 为真 。

数学归纳法是人们以有限把握无限,通过有限次操作证明无限集合的命题。它第一次提供了证明无限集合的命题的一种确切而严谨的教学方法,这个方法是完全归纳法。

数学归纳法证明命题 P(n)(n ∈ N, 且 n ≥ n0)成立的一般步骤

(1)证明P(n0)成立 ;

(2)假设 P(k)(k ∈ N, 且 k ≥ n0)成立 ,证明 P(k + 1)也成立 。

根据 (1)和 (2),可知 P(n)对一切正整数 n (n ≥n0)都成立 。

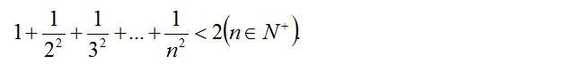
例题:求证:

数学归纳法步骤,数列极限数学归纳法步骤(猜证结合思想之“数学归纳法”在高中数学解题中的应用)

例题图(1)

猜证:这是 P(n)命题,用数学归纳法证明 。

第一步:当 n = 1 时 , 1 < 2 显然成立 ;

第二步:假设 当 n = k 时 (k > 1)

数学归纳法步骤,数列极限数学归纳法步骤(猜证结合思想之“数学归纳法”在高中数学解题中的应用)

例题图(2)

则 当 n = k + 1 时 ,

数学归纳法步骤,数列极限数学归纳法步骤(猜证结合思想之“数学归纳法”在高中数学解题中的应用)

例题图(3)

数学归纳法步骤,数列极限数学归纳法步骤(猜证结合思想之“数学归纳法”在高中数学解题中的应用)

例题图(4)

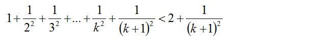
因此数学归纳法失效!若还想用数学归纳法证明,就得变换命题,使不等式的右边与 n 有关 。

经过几次试验猜想,改证如下:

数学归纳法步骤,数列极限数学归纳法步骤(猜证结合思想之“数学归纳法”在高中数学解题中的应用)

辅助不等式图(5)

证法一:先用数学归纳法证明上图中的辅助不等式

(1)当 n = 2 时 , 左边 = 1 + 1/(2^2)= 5/4 ,右边 = 2 - (1/2)= 3/2 ,

所以左边 < 右边 , 上图中的辅助不等式成立 。

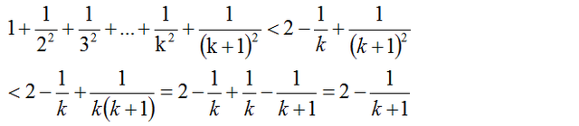
(2)假设 n = k (k ≥ 2)时

数学归纳法步骤,数列极限数学归纳法步骤(猜证结合思想之“数学归纳法”在高中数学解题中的应用)

例题图(6)

则 当 n = k + 1 时

数学归纳法步骤,数列极限数学归纳法步骤(猜证结合思想之“数学归纳法”在高中数学解题中的应用)

例题图(7)

即上图中的辅助不等式也成立。

由 (1)和 (2),可知上图中的辅助不等式成立 。

又因为 2 - 1/n < 2 , 且 当 n = 1 时原不等式为 1 < 2 显然成立,所以

数学归纳法步骤,数列极限数学归纳法步骤(猜证结合思想之“数学归纳法”在高中数学解题中的应用)

例题图(8)

得证 。

注:P(n)命题不一定都必须用数学归纳法证明,给出证法二——列项相消放缩法!

证法二、列项相消放缩法

数学归纳法步骤,数列极限数学归纳法步骤(猜证结合思想之“数学归纳法”在高中数学解题中的应用)

例题图(9)

注:(1)当数学归纳法失效时,可引进辅助命题,再用数学归纳法;

(2)本题不宜使用数学归纳法,用列项法最为简捷。

解题时注意依据问题的特点,选择最快最好的方法。

本文关键词:初一有理数的混合运算法则,数学归纳法步骤,数学小数的思维导图,数列极限数学归纳法步骤,数学公式。这就是关于《数学归纳法步骤,数列极限数学归纳法步骤(猜证结合思想之“数学归纳法”在高中数学解题中的应用)》的所有内容,希望对您能有所帮助!

本文链接:https://bk.89qw.com/a-527545

最近发表
网站分类