手机版

百科生活 投稿

tanx的定义域,tanx定义域(高考数学三角函数导函数你知道考什么吗)

百科 2026-02-06 21:12:03 投稿 阅读:8426次

关于【tanx的定义域】,tanx定义域,今天小编给您分享一下,如果对您有所帮助别忘了关注本站哦。

  • 内容导航:
  • 1、tanx的定义域:tanx定义域
  • 2、高考数学三角函数导函数你知道考什么吗?应该如何学好?

1、tanx的定义域:tanx定义域

正切函数y=tanx的定义域是什么tanx的定义域是多少?

函数y=tanx的定义域是:x∈(k兀-兀/2,K兀+兀/2)(k∈Z)。

arctanx与tanx的区别1、两者的定义域不同(1)tanx的定义域为{x|x≠(π/2)+kπ,其中k为整数}。

(2)arctanx的定义域为R,即全体实数。

2、两者的值域不同(1)tanx的值域为R,即全体实数。

(2)arctanx的值域为(-π/2,π/2)。

3、两者的周期性不同(1)tanx为周期函数,最小正周期为π。

(2)arctanx不是周期函数。

4、两者的单调区间不同(1)tanx有单调区间(-π/2+kπ,+π/2+kπ),k为整数,且在该区间为单调增函数。

(2)arctanx为单调增函数,单调区间为(-∞,﹢∞)。

tanx的定义域?

2、高考数学三角函数导函数你知道考什么吗?应该如何学好?

一、三角函数是什么?‍‍

三角函数是基本初等函数之一,是以角度(数学上最常用弧度制,下同)为自变量,角度对应任意角终边与单位圆交点坐标或其比值为因变量的函数。也可以等价地用与单位圆有关的各种线段的长度来定义。

1、函数:y=sinx;

定义域:R;

值域:[-1,1]x=2kπ+π/2 时ymax=1,x=2kπ-π/2 时ymin=-1;

周期性:2π;

奇偶性:奇函数;

单调性:

在[2kπ-π/2,2kπ+π/2 ]上都是增函数;

在[2kπ+π/2 ,2kπ+2π/3]上都是减函数(k∈Z);

tanx的定义域,tanx定义域(高考数学三角函数导函数你知道考什么吗)

2、函数:y=cosx;

定义域:R;

值域:[-1,1]x=2kπ时ymax=1,x=2kπ+π时ymin=-1;

周期性:2π;

奇偶性:偶函数;

单调性:

在[2kπ-π,2kπ ]上都是增函数;

在[2kπ ,2kπ+π]上都是减函数(k∈Z);

tanx的定义域,tanx定义域(高考数学三角函数导函数你知道考什么吗)

3、函数:y=tanx;

定义域:{x|x∈R且x≠kπ+π/2,k∈Z};

值域:无最大值、无最小值;

周期性:π;

奇偶性:奇函数;

单调性:在[kπ-π/2,kπ+π/2 ]上都是增函数(k∈Z);

tanx的定义域,tanx定义域(高考数学三角函数导函数你知道考什么吗)

4、函数:y=cotx;

定义域:{x|x∈R且x≠kπ,k∈Z};

值域:无最大值、无最小值;

周期性:π;

奇偶性:奇函数;

单调性:在[kπ,kπ+π ]上都是减函数(k∈Z);

tanx的定义域,tanx定义域(高考数学三角函数导函数你知道考什么吗)

二、三角函数的推导过程

设f(x)=sinx;(f(x+dx)-f(x))/dx=(sin(x+dx)-sinx)/dx=(sinxcosdx+sindxcosx-sinx)/dx因为dx趋近于0cosdx趋近于1(f(x+dx)-f(x))/dx=sindxcosx/dx根据重要极限sinx/x在x趋近于0时等于一,(f(x+dx)-f(x))/dx=cosx,即sinx的导函数为cosx。

同理可得,

设f(x)=cos(f(x+dx)-f(x))/dx=(cos(x+dx)-cosx)/dx=(cosxcosdx-sinxsindx-sinx)/dx,因为dx趋近于0cosdx趋近于1(f(x+dx)-f(x))/dx=-sindxsinx/dx,根据重要极限sinx/x在x趋近于0时等于一(f(x+dx)-f(x))/dx=-sinx即cosx的导函数为-sinx。

注:不是所有的函数都有导数,一个函数也不一定在所有的点上都有导数。若某函数在某一点导数存在,则称其在这一点可导,否则称为不可导。然而,可导的函数一定连续;不连续的函数一定不可导。

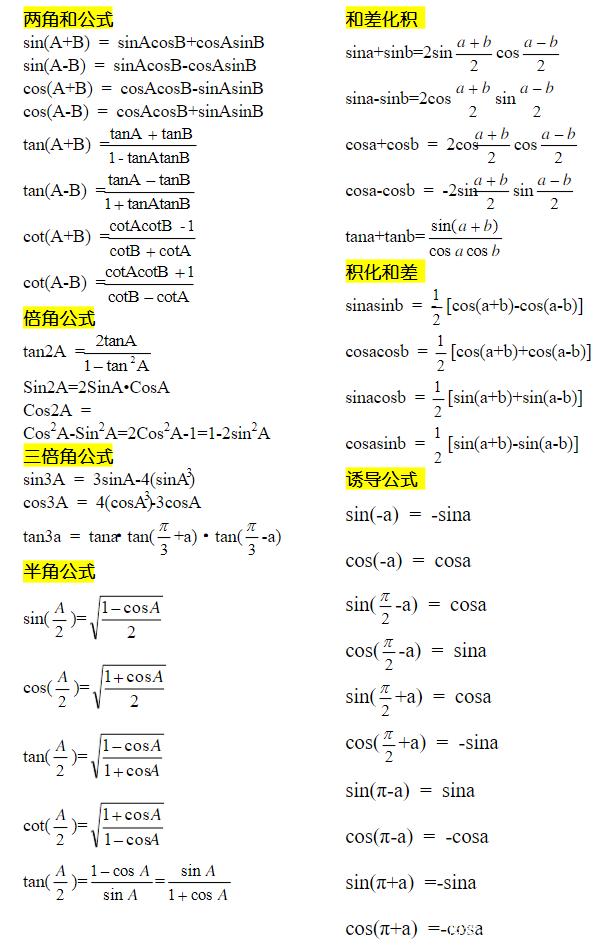
三、三角函数必备公式

tanx的定义域,tanx定义域(高考数学三角函数导函数你知道考什么吗)

tanx的定义域,tanx定义域(高考数学三角函数导函数你知道考什么吗)

tanx的定义域,tanx定义域(高考数学三角函数导函数你知道考什么吗)

tanx的定义域,tanx定义域(高考数学三角函数导函数你知道考什么吗)

tanx的定义域,tanx定义域(高考数学三角函数导函数你知道考什么吗)

tanx的定义域,tanx定义域(高考数学三角函数导函数你知道考什么吗)

四、三角函数的难点问题‍

1、三角函数图像性质的综合应用问题

三角函数图像性质的综合应用问题在高考中瓦王充当把关题的角色,难度较大,解题的关键是抓住图像上的一些特征来综合分析问题,如对称轴、对称中心、周期特征、单调区间、函数值相等或相反等。

tanx的定义域,tanx定义域(高考数学三角函数导函数你知道考什么吗)

结合对三角函数的深刻认识画出草图,寻找图中关键点时解决这类问题的较好解法。

2、射影定理化解问题

用最简单的射影定理代替计算量大的余弦定理,从而解决负责多变的三角形问题。

想看?戳~

本文关键词:arctantanx定义域,y=arctanx定义域,tanx定义域取值范围,tanx定义域和值域表,tanx定义域为什么。这就是关于《tanx的定义域,tanx定义域(高考数学三角函数导函数你知道考什么吗)》的所有内容,希望对您能有所帮助!

本文链接:https://bk.89qw.com/a-529425

最近发表
网站分类