手机版

百科生活 投稿

a+b的n次方,a的n次方减b的n次方的公式是什么(世界杯比赛场次是怎么算出来的)

百科 2026-02-21 10:40:46 投稿 阅读:7775次

关于【a+b的n次方】,a的n次方减b的n次方的公式是什么,今天涌涌小编给您分享一下,如果对您有所帮助别忘了关注本站哦。

  • 内容导航:
  • 1、a+b的n次方:a的n次方减b的n次方的公式是什么
  • 2、世界杯比赛场次是怎么算出来的?

1、a+b的n次方:a的n次方减b的n次方的公式是什么

a=b是a^n-b^bain=0的一个特解。所以a^n-b^n因式分解肯定有一项是a-b。然后用a^n-b^n除以a-b。就能算出:a^n-b^n=(a-b)a^(n-1)+b*(a^(n-1)-b^(n-1))。然后继续把:a^(n-1)-b^(n-1)用同样的方法分解下去即可。

扩展资料:

设a为某数,n为正整数,a的n次方表示为a,表示n个a连乘所得之结果,如2=2×2×2×2=16。次方的定义还可以扩展到0次方和负数次方等等。

例如:5的0次方是1(任何非零数的0次方都等于1)。

5的-1次方是0.21÷5=0.2。

5的-2次方是0.040.2÷5=0.04。

因为5的-1次方是0.2,所以5的-2次方也可以表示为0.2×0.2=0.04。

5的-3次方则是0.2×0.2×0.2=0.008。

由此可见,一个非零数的-n次方=这个数的倒数的n次方。

2、世界杯比赛场次是怎么算出来的?

为什么世界杯要踢64场才能将决出前四名呢?

这是一个有趣的数学问题,包含了简单的排列组合计算。

首先,从比赛的赛制和大家谈起。

第一阶段,小组赛。一共是32个球队参赛,4个队在一组,一共有8个小组。

A,B,C,D,E,F,G,H这8个组,每组进行6场比赛,为什么是6场?不是4场,5场呢?因为小组赛要保证每个小组的任何两个球队都要比一场,大家可以数一数哈。

下面这个是本届世界杯A组的比赛安排,大家可以看一下哈

A组的4支队伍,俄罗斯,沙特,埃及,乌拉圭。要保证任意两个队都要比一场,那就需要6场。

a+b的n次方,a的n次方减b的n次方的公式是什么(世界杯比赛场次是怎么算出来的)

怎么计算能够不重不漏呢?

方法一:列举法,上面看到的是网上给出的官方发布结果,如果我们进行细致的计算的话。其实也很简单,“倒三角”列举。

俄-沙特,俄-埃及,俄-乌拉圭

沙特-埃及,沙特-乌拉圭

埃及-乌拉圭

大家仔细数一数哈,从上到下,3+2+1,所以一共是6场。

假设一个小组现在是5个球队,那一共有多少场呢?

方法一样,为了列举方便,假设5个球队分别叫1,2,3,4,5.

那所有的比赛是这样的:继续使用倒三角列举

1-2,1-3,1-4,1-5,

2-3,2-4,2-5,

3-4,3-5,

4-5

你看,是不是总共有4+3+2+1,一共10场比赛,对吧

那如果是5个球队是多少场呢?相信你已经发现规律了

应该是5+4+3+2+1=15场

方法二:

直接使用排列组合公式,4个球队,两两比一场,

所以一共有

a+b的n次方,a的n次方减b的n次方的公式是什么(世界杯比赛场次是怎么算出来的)

场比赛,上面这个东西叫做组合数,表示的意思是从4个不同的元素中任意选出2个,可能产生的可能性。根据组合数的计算公式,直接得到结果就是

a+b的n次方,a的n次方减b的n次方的公式是什么(世界杯比赛场次是怎么算出来的)

如果是5个球队,结果就是

a+b的n次方,a的n次方减b的n次方的公式是什么(世界杯比赛场次是怎么算出来的)

这个怎么算呢,

a+b的n次方,a的n次方减b的n次方的公式是什么(世界杯比赛场次是怎么算出来的)

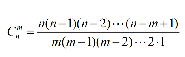
给大家补充一下一般计算公式:

a+b的n次方,a的n次方减b的n次方的公式是什么(世界杯比赛场次是怎么算出来的)

现在高一同学高二应该会学的,哈哈。

顺便说两个副产品:

第一个,杨辉三角

a+b的n次方,a的n次方减b的n次方的公式是什么(世界杯比赛场次是怎么算出来的)

很多同学从小就知道,对吧。哈哈,以上数表中,每个数等于肩上两数之和

例如:10=4+6,15=10+5,这个可以一直写下去。

其实,你不知道的是,这个表本质就是组合数数表哦

看下面这个

a+b的n次方,a的n次方减b的n次方的公式是什么(世界杯比赛场次是怎么算出来的)

上下两个表是一样的哦。他们都是a+b的n次方的展开中各项的系数

第二个副产品,来自于上高二的时候我的一次发烧所得,纯属娱乐。

求证:

a+b的n次方,a的n次方减b的n次方的公式是什么(世界杯比赛场次是怎么算出来的)

成立。

下面就采用以上的踢足球的方法。

用两种方法计算同一个东西就可以啦。

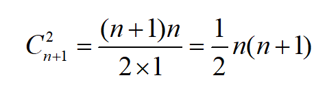
假设世界杯小组赛,每组有n+1个球队进行循环赛,任何两个球队只需要进行一场比赛,问:一共需要进行多少场比赛?

方法一:用组合数的计算公式,答案应该是:

a+b的n次方,a的n次方减b的n次方的公式是什么(世界杯比赛场次是怎么算出来的)

方法二:设这n+1个球队为1,2,3,4,....,n+1号,

那么需要进行的比赛为:

1-2,1-3,1-4,....,1-n,1-(n+1)

2-3,2-4,....,2-n,2-(n+1)

......

(n-1)-n,(n-1)-(n+1)

n-(n+1)

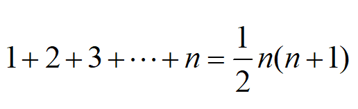
一共是:n+(n-1)+(n-2)+...+2+1场,

我用了两种方法计算了同一个东西,所以他们应该是相等的,也就是说

a+b的n次方,a的n次方减b的n次方的公式是什么(世界杯比赛场次是怎么算出来的)

是正确的。

等等,等等,老师你这在说啥呢?咱这不是说世界杯呢嘛,

对对对,今天没吃药,职业病犯了,一不留神就又开始讲课了。

刚才我们说到:第一阶段小组赛,分8个组,对吧,每组比赛6场,所以,小组赛阶段一共要进行8×6=48场比赛,这48场比赛之后,每个小组头2名进入下一阶段的比赛,我们称之为淘汰赛了。也就是说,小组赛过后,会有16支球队,进入第二阶段的淘汰赛。

第二阶段第1轮:16个队,分8组,每组踢一场,胜者留,败者走。

8场比赛过后,淘汰8个队,剩下8个队

第二阶段第2轮:8个队,分4组,每组踢一场,胜者留,败者走

4场比赛过后,淘汰4个队,剩下4个队

第二阶段第3轮:4个队,分2组,每组踢一场,胜者留,败者走

2场比赛过后,淘汰2个队,剩下2个队

最后:剩下的两个对进行冠军和亚军的决赛,然后,和前面不同的是,上一轮 中被淘汰的两个球队其实还要再留下来比一场,争夺第3名和第4名。

所以,淘汰赛阶段一共进行8+4+2+1+1=16场比赛。

当然,还有更简单的计算方法,在数学里总有更简单的算法

如果不考虑3,4名的比赛,只考虑淘汰赛的进行场次,大家会发现,进行一场比赛总是淘汰一个队,当决赛结束后,只留下了一个冠军,相当于淘汰了15支球队,所以一定进行了15场比赛,然后在加上3,4名的争夺战,就是16场了。

最终,一共进行了48+16=64场比赛。

这就是为什么世界杯有64长比赛的真正原因,下面用一个公式概括所有

a+b的n次方,a的n次方减b的n次方的公式是什么(世界杯比赛场次是怎么算出来的)

以上问题解决中需要的知识重要是高中数学中排列组合的知识,

现在高一的同学在高二的时候就能够学到,现在高二的理科生已经学过来,文科就没学滴,但是其中的倒三角形列举,在高考的概率计算中有可能出现哦。

今天的文章就到这里,祝大家看球愉快!!

本文关键词:a的n次方减b的n次方的公式是什么意思,数学公式(a+b)的n次方,a+b+c的n次方公式,a减b的和的三次方公式是,a减b的n次方公式等于。这就是关于《a+b的n次方,a的n次方减b的n次方的公式是什么(世界杯比赛场次是怎么算出来的)》的所有内容,希望对您能有所帮助!

本文链接:https://bk.89qw.com/a-529773

最近发表
网站分类