手机版

百科生活 投稿

0是有理数还是无理数,0是有理数还是无理数为什么(小论有理数无理数之区别)

百科 2026-04-14 04:23:26 投稿 阅读:8084次

关于【0是有理数还是无理数】:0是有理数还是无理数为什么,今天小编给您分享一下,如果对您有所帮助别忘了关注本站哦。

  • 内容导航:
  • 1、0是有理数还是无理数为什么
  • 2、0.9循环=1?小论有理数无理数之区别

1、0是有理数还是无理数为什么

  0是有理数,不是无理数,无理数也称为无限不循环小数,不能写作两整数之比。若将它写成小数形式,小数点之后的数字有无限多个,并且不会循环,所以0是有理数。常见的无理数有非完全平方数的平方根、π和e,无理数的另一特征是无限的连分数表达式。无理数最早由毕达哥拉斯学派弟子希伯索斯发现。

2、0.9循环=1?小论有理数无理数之区别

0.9循环就是0.999······后面跟无穷多个9。简记为0.9,“9”上面加一点。初中的时候曾疑惑过,

0是有理数还是无理数,0是有理数还是无理数为什么(小论有理数无理数之区别)

后来想过一个方法,算是理解了这个问题,通过归纳:

因为

0是有理数还是无理数,0是有理数还是无理数为什么(小论有理数无理数之区别)

所以直观上自然有

0是有理数还是无理数,0是有理数还是无理数为什么(小论有理数无理数之区别)

一家人就是应该整整齐齐嘛!

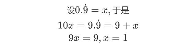
当然,这个问题也问过老师,老师肯定了两个数相等,并证明如下:

0是有理数还是无理数,0是有理数还是无理数为什么(小论有理数无理数之区别)

这个证明很有启发性,不仅解决了我的问题,还教会了我怎样将任意一个无限循环小数转化为分数。

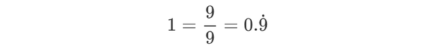
比如:

0是有理数还是无理数,0是有理数还是无理数为什么(小论有理数无理数之区别)

言归正传。

后来等学了高等数学,从极限的角度来看,对这个问题认识地更深了。其实是一个无穷级数的求和问题:

0是有理数还是无理数,0是有理数还是无理数为什么(小论有理数无理数之区别)

虽然解决了问题,但是通过这样一种无穷级数求和的迂回手段,显得不那么直观了。

直到学习了数学分析中的实数论,算是再一次直观且深刻地认识了这个问题。

对于实数轴,有以下显然易见地结论:

如果两个数相等,那么这两个数在数轴上的位置重合,反之也成立。

这不是废话吗?分析一下,这看似废话的一句话,其实也恰好是我们一开始错觉的来源,0.9循环,应该在1的左边,比1小那么一点点,在数轴上,这个数和1的位置并不重合,所以看起来,这两个数也就不相等了。

0是有理数还是无理数,0是有理数还是无理数为什么(小论有理数无理数之区别)

问题在哪儿呢?

回头看看刚刚的结论,有一个词的描述其实是非常文字式的、直觉式的,“位置重合”。现在来思考一下这个词的数学内涵。位置重合,意味着两个数在数轴上的距离为零。距离为零,也就意味着,两个数之间不存在其他数。没有第三个数插足!

如果两个数相等,那么这两个数在数轴上,不存在中间数。反之也成立。

比如0.1和0.2,显然不相等,为什么呢?因为0.11,0.12,0.13,...这些0.1和0.2之间“插足者”们的存在,注定了0.1不可能等于0.2。再比如,0.0001和0也不想等,因为他们之间,还有0.000001,0.000002,....等等无限多个插足者。我们还能得到这样一个很有内涵的结论,实数x和y只要存在一个插足者,那么必然存在无限多个插足者。

回头再看看,0.9循环和1,它们之间有插足者吗?能找到一个比1小,但是又比0.9循环大的实数吗?

我们从比1小的数当中来找,0.8,0.9,0.99,0.999,0.9999,0.999999...不论我们找一个什么样的数,只要小于1,那就都比0.9循环小。

0.9循环和1之间,不存在插足者。

所以0.9循环=1。

事实上,根据以上结论,任何一个有理数都能写成无限循环小数的形式:先把分数化成小数,对有限小数,只要把末尾的数字减去1,然后后面添上无穷多个9就行了。

比如:

0是有理数还是无理数,0是有理数还是无理数为什么(小论有理数无理数之区别)

这样来看,其实无限小数的“无限”,并不是什么特别的性质。任何一个实数,无论有理数还是无理数,都能表示一个无限小数的形式。都能在实数轴上画出来。对于有理数,不必区分是有限小数还是无限循环小数,因为所有有限小数都能表示成无限循环小数。而众所周知,无理数就是无限不循环小数,所以有理数和无理数,其区别关键还在是否循环上。

总结:有理数=无限循环小数,无理数=无限不循环小数。

本文关键词:0有理数和无理数,0是有理数还是无理数?,0是无理数吗为什么,0是有理数还是无理数为什么是零,0是有理数还是无理数为什么是空的。这就是关于《0是有理数还是无理数,0是有理数还是无理数为什么(小论有理数无理数之区别)》的所有内容,希望对您能有所帮助!

本文链接:https://bk.89qw.com/a-537998

最近发表
网站分类