手机版

百科生活 投稿

美术艺考分数线,2023年美术艺考最新政策(<艺术类平行组>平行一志愿投档分数线)

百科 2026-04-14 00:04:36 投稿 阅读:5416次

关于【美术艺考分数线】,2023年美术艺考最新政策,今天小编给您分享一下,如果对您有所帮助别忘了关注本站哦。

  • 内容导航:
  • 1、湖南公布本科批(艺术类平行组)平行一志愿投档分数线
  • 2、美术艺考分数线:2023年美术艺考最新政策

1、湖南公布本科批(艺术类平行组)平行一志愿投档分数线

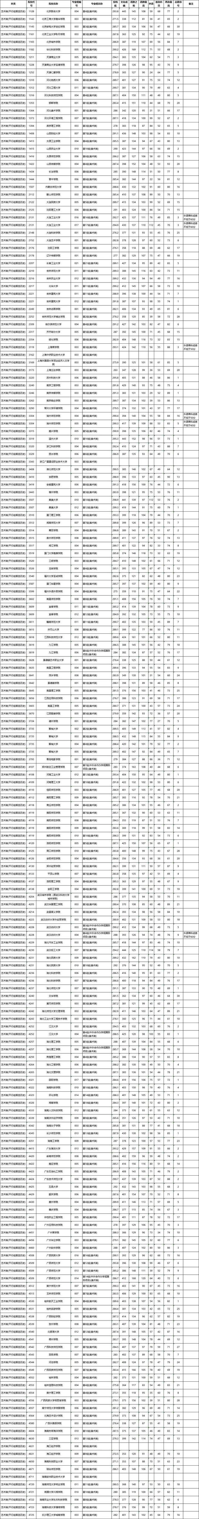
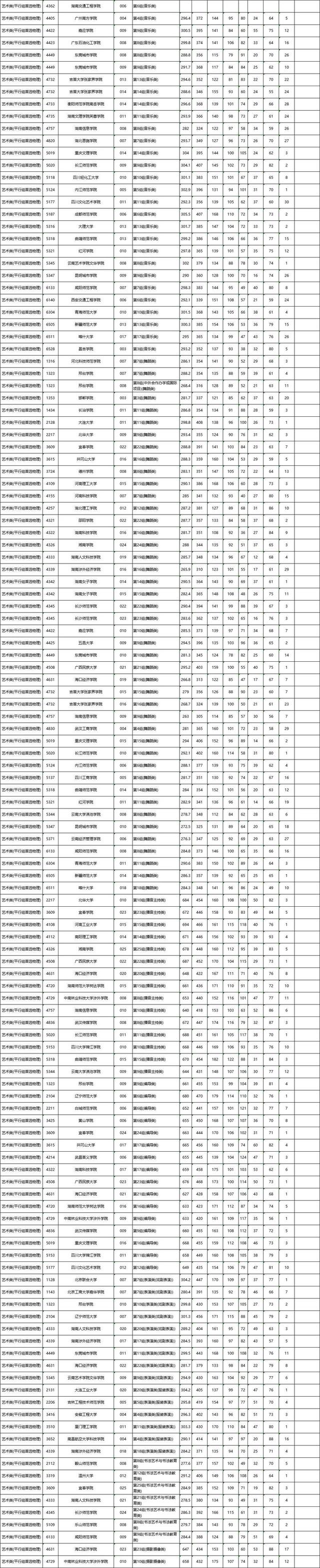
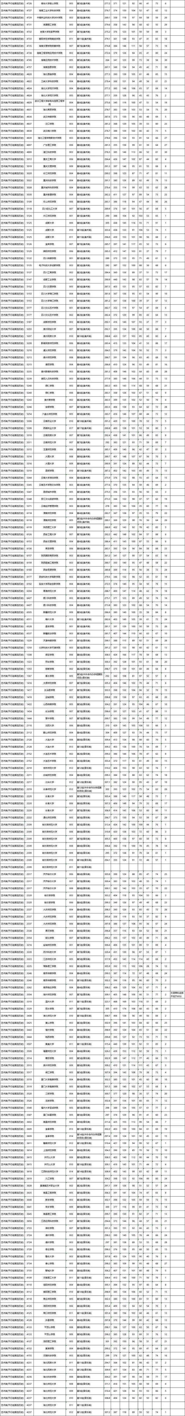
说 明

1.平行志愿投档的规则:在上线考生中先按分数优先的原则从高分到低分排序(当遇到多名考生同分时,按我省规定的同分排序规则排序),再按考生填报的学校顺序出档。表中所列“文化成绩、语数之和、语数最高、外语、首选科目、再选最高、志愿序号”是投档最低分同分考生排序项,其中“文化成绩”项含政策性加分。

2. 音乐类、美术类、舞蹈类、表演类(服装表演)、表演类(戏剧表演)、书法艺术和书法教育类的投档线为高考文化成绩(含政策性加分)×30%+专业统考成绩×70%。编导类、播音与主持艺术类、摄影摄像类的投档线为高考文化成绩(含政策性加分)+专业统考成绩。

3. 考生文化成绩(含政策性加分)和专业分须分别达到本科相应类别录取控制分数线,选考科目须符合院校专业组的选科要求。招生院校提出的单科成绩等投档要求,已在表格备注中分别做了注明。

4. 部属和外省属院校投档时,档案分中不含考生地方性项目加分。

5. 投档线为空的表示该院校专业组线上生源不足。

美术艺考分数线,2023年美术艺考最新政策(<艺术类平行组>平行一志愿投档分数线)美术艺考分数线,2023年美术艺考最新政策(<艺术类平行组>平行一志愿投档分数线)美术艺考分数线,2023年美术艺考最新政策(<艺术类平行组>平行一志愿投档分数线)美术艺考分数线,2023年美术艺考最新政策(<艺术类平行组>平行一志愿投档分数线)美术艺考分数线,2023年美术艺考最新政策(<艺术类平行组>平行一志愿投档分数线)美术艺考分数线,2023年美术艺考最新政策(<艺术类平行组>平行一志愿投档分数线)

2、美术艺考分数线:2023年美术艺考最新政策

2023年美术艺考各省份对艺考生文化课成绩均有最低标准,其中,对于保留二、三本批次的省份,文化线要求不低于二本线的70%;对于合并批次的省份,要求文化线不低于新二本线的75%。此次改革要求,各省(区、市)在现有文化课成绩要求基础上,因地制宜、分类划定、逐步提高艺术类各专业高考文化课成绩录取最低控制分数线。



2023年美术艺考最新政策是什么

文化成绩要求的进一步提高

1.在未合并普通本科第二、三批次的省份,原则上不得低于本科第二批次录取控制分数线的70%;

2.在合并原普通本科第二、三批次的省份,原则上不得低于合并后第二批次录取控制分数线的75%;

3.在仅保留一个普通本科批次的省份,原则上不得低于合并后本科批次录取控制分数线的75%;

4.舞蹈学类、表演专业可适当降低要求;

5.确需过渡的省份,应在三年内调整到位;

6.适度提高艺术学理论类、戏剧与影视学类(不含表演)等有关本科专业高考文化课录取控制分数线,高校的相关专业不得低于普通类专业所在批次控制分数线,设计学类专业参照执行;

7.艺术类高职(专科)专业录取控制分数线不得低于本省(区、市)普通高职(专科)录取控制分数线的70%;

8.录取期间,各省(区、市)和高校不得为了完成招生计划而降低初次划定的最低录取控制分数线。

就目前而言,各省份均在上述要求执行。此次改革再次强调,各省(区、市)在现有文化课成绩要求基础上,因地制宜、分类划定、逐步提高艺术类各专业高考文化课成绩录取最低控制分数线,逐步扭转部分高校艺术专业人才选拔“重专业轻文化”倾向。

美术艺考改革政策的影响

正常情况下,艺考对艺术生的文化课成绩有一定的要求。但是新政策实行以后,舞蹈学表演专业的考生,录取分数线可能会降低一些。这样一来,一些艺术生就不会因为文化课成绩不高而丢失机会,这对舞蹈学表演专业的学生来说无疑是一件好事。

而且此次艺考改革之后,校考的学校会放宽一些,换句话说就是校考录取分数线设置完以后,学校会根据考生的专业课成绩来排名。

在这次的改革方案里,有一条提到:对那些培养质量不高,不满足社会需求的专业予以调停,或者是暂停招生。也就是说相关部门会把艺术大学里,那些毕业后不好找工作的专业“剔除”,主要目的就是为了提高艺术生的整体就业率。

除此之外,这次的政策中明确表示:从2024年开始,大学里的高水平艺术团在选拔艺术生的时候,不从大学招生这个环节中选拔,而是由相关大学从在校生里面遴选培养。

本文关键词:2023年美术艺考政策比例,艺考新政策2023年能考上吗,2024年艺考新政策,2023年美术生艺考有什么变化,2020年美术艺考生。这就是关于《美术艺考分数线,2023年美术艺考最新政策(<艺术类平行组>平行一志愿投档分数线)》的所有内容,希望对您能有所帮助!

本文链接:https://bk.89qw.com/a-538001

最近发表
网站分类