手机版

百科生活 投稿

徐州医科大学研究生,徐州医科大学2020年硕士研究生拟录取考生须知(这16所院校的调剂和复试信息公布啦)

百科 2026-02-14 12:51:28 投稿 阅读:5667次

关于【徐州医科大学研究生】,徐州医科大学2020年硕士研究生拟录取考生须知,今天小编给您分享一下,如果对您有所帮助别忘了关注本站哦。

  • 内容导航:
  • 1、得劲!这16所院校的调剂和复试信息公布啦,快速查看
  • 2、徐州医科大学研究生:徐州医科大学2020年硕士研究生拟录取考生须知

1、得劲!这16所院校的调剂和复试信息公布啦,快速查看

徐州医科大学

徐州医科大学研究生,徐州医科大学2020年硕士研究生拟录取考生须知(这16所院校的调剂和复试信息公布啦)

徐州医科大学最低分数线

徐州医科大学研究生,徐州医科大学2020年硕士研究生拟录取考生须知(这16所院校的调剂和复试信息公布啦)

徐州医科大学最低分数线

徐州医科大学研究生,徐州医科大学2020年硕士研究生拟录取考生须知(这16所院校的调剂和复试信息公布啦)

徐州医科大学最低复试分数线

徐州医科大学研究生,徐州医科大学2020年硕士研究生拟录取考生须知(这16所院校的调剂和复试信息公布啦)

徐州医科大学最低复试分数线

北京航空航天大学—基础医学院

徐州医科大学研究生,徐州医科大学2020年硕士研究生拟录取考生须知(这16所院校的调剂和复试信息公布啦)

北航基础医学院复试分数线

注:北航实行差额复试,差额比例一般总体不低于120%,预计于26日-31日间,具体时间以我院后续通知为准。

西安医学院

徐州医科大学研究生,徐州医科大学2020年硕士研究生拟录取考生须知(这16所院校的调剂和复试信息公布啦)

西安医学院复试分数线

延安大学

徐州医科大学研究生,徐州医科大学2020年硕士研究生拟录取考生须知(这16所院校的调剂和复试信息公布啦)

延安大学复试分数线

汕头大学

徐州医科大学研究生,徐州医科大学2020年硕士研究生拟录取考生须知(这16所院校的调剂和复试信息公布啦)

汕头大学调剂信息

调剂要求:

  (一)初试成绩须符合教育部公布的《2022年全国硕士研究生招生考试考生进入复试的初试成绩基本要求》(A类考生)。

  (二)申请调剂专业与第一志愿报考专业相同或相近,且在同一学科门类范围内。

  (三)初试科目与调入专业初试科目相同或相近,其中初试全国统一命题科目应与调入专业全国统一命题科目相同。

  (四)满足教育部文件及我校各招生学院2022年硕士研究生招生考试复试工作方案有关调剂的其它要求。

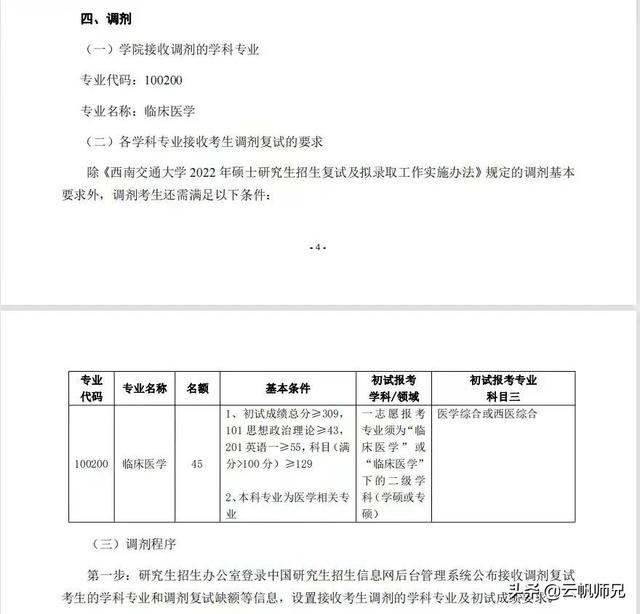
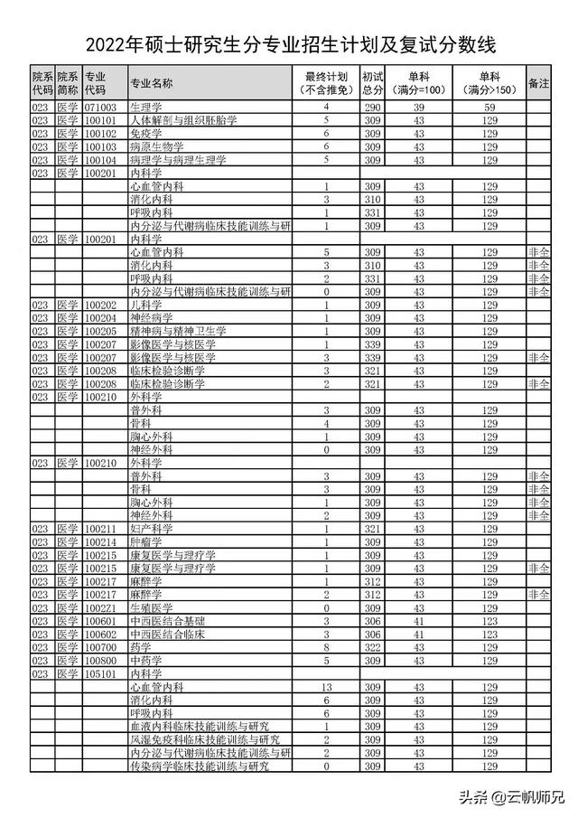
西南交通大学医学院

徐州医科大学研究生,徐州医科大学2020年硕士研究生拟录取考生须知(这16所院校的调剂和复试信息公布啦)

西南交通大学医学院复试分数

调剂信息如下:

徐州医科大学研究生,徐州医科大学2020年硕士研究生拟录取考生须知(这16所院校的调剂和复试信息公布啦)

西南大学医学院调剂信息

初试成绩总分≥309, 101 思想政治理论≥43, 201 英语一≥55,科目(满 分>100 分)≥129 2、本科专业为医学相关专业

江南大学医学院

徐州医科大学研究生,徐州医科大学2020年硕士研究生拟录取考生须知(这16所院校的调剂和复试信息公布啦)

江南大学医学院调剂信息

注:1、考生报考条件须符合我校2022年硕士研究生招生简章的规定。

2、初试成绩(包括初试总分、单科成绩)不低于2022年初试专业国家复试分数线(A类考生)。

3、调入专业与第一志愿报考专业相同或相近,应在同一学科门类范围内,原则上要求不得跨专业报考。

4、初试科目与调入专业初试科目相同或相近,其中初试全国统一命题科目应与调入专业全国统一命题科目相同。

5、不接受同等学力考生调剂申请。

徐州医科大学研究生,徐州医科大学2020年硕士研究生拟录取考生须知(这16所院校的调剂和复试信息公布啦)

江南大学医学院复试线

上海中医药大学

徐州医科大学研究生,徐州医科大学2020年硕士研究生拟录取考生须知(这16所院校的调剂和复试信息公布啦)

上海中医药大学复试分数线

湖北中医药大学

徐州医科大学研究生,徐州医科大学2020年硕士研究生拟录取考生须知(这16所院校的调剂和复试信息公布啦)

湖北中医药大学复试分数线

徐州医科大学研究生,徐州医科大学2020年硕士研究生拟录取考生须知(这16所院校的调剂和复试信息公布啦)

湖北中医药大学复试分数线

徐州医科大学研究生,徐州医科大学2020年硕士研究生拟录取考生须知(这16所院校的调剂和复试信息公布啦)

湖北中医药大学复试分数线

哈尔滨医科大学

徐州医科大学研究生,徐州医科大学2020年硕士研究生拟录取考生须知(这16所院校的调剂和复试信息公布啦)

哈医大复试复试线

哈尔滨医科大学招生计划如下:

徐州医科大学研究生,徐州医科大学2020年硕士研究生拟录取考生须知(这16所院校的调剂和复试信息公布啦)

哈医大招生计划

福建医科大学

徐州医科大学研究生,徐州医科大学2020年硕士研究生拟录取考生须知(这16所院校的调剂和复试信息公布啦)

福建医科大学复试分数线

注:1.报考我校医学门类各专业达国家线但未达学校该专业自划线的考生,可调剂至基础医学专业(1001);

2.报考我校临床医学专硕(1051)达国家线但未达我校该专业自划线的考生,还可调至公共卫生专硕(1053)。

桂林医学院

徐州医科大学研究生,徐州医科大学2020年硕士研究生拟录取考生须知(这16所院校的调剂和复试信息公布啦)

桂林医学院

徐州医科大学研究生,徐州医科大学2020年硕士研究生拟录取考生须知(这16所院校的调剂和复试信息公布啦)

桂林医学院

注:桂林医学院的调剂考生复试分数线按后续调剂公告规定执行。

西藏民族大学

徐州医科大学研究生,徐州医科大学2020年硕士研究生拟录取考生须知(这16所院校的调剂和复试信息公布啦)

西藏民族大学复试分数线

佳木斯大学

徐州医科大学研究生,徐州医科大学2020年硕士研究生拟录取考生须知(这16所院校的调剂和复试信息公布啦)

佳木斯大学复试分数线

注:2022年我校招生1011人(含退役大学生士兵计划7人)。各招生学科复试分数线不得低于国家复试合格线A类线,可以提高复试分数线

宁夏医科大学

徐州医科大学研究生,徐州医科大学2020年硕士研究生拟录取考生须知(这16所院校的调剂和复试信息公布啦)

宁夏医科大

可以自行去查一志愿复试名单了哈

2、徐州医科大学研究生:徐州医科大学2020年硕士研究生拟录取考生须知

我校2020年硕士研究生招生复试录取工作已接近尾声,就近期相关工作及考生关心的问题说明如下。

一、录取通知书

拟录取考生名单须经“全国硕士研究生招生信息公开平台”统一公开,并经教育部审核通过后,方可发放正式录取通知书。

二、人事档案调取

拟录取考生请下载《调档通知(硕)》(附件一)交给本人人事档案保管部门,办理调档手续。档案须由单位(部门)寄出,请勿个人邮寄。

具体要求及邮寄方式请参照(附件一)中说明。

三、定向培养协议

拟录取为定向就业全日制硕士研究生的考生,须与工作单位或实践单位签订全脱产学习协议(《徐州医科大学硕士研究生定向培养协议》,研究生院网站“招生下载专区”下载,一式三份),并于6月15日前提交至研究生院招生办公室,逾期不再办理。签订定向培养协议书后不需要再调个人档案。

四、保留入学资格

拟录取考生如需保留入学资格,应本人填写《徐州医科大学研究生学籍异动申请表》(研究生院网站“招生下载专区”下载),并于6月15日前提交至研究生院招生办公室,经研究生院同意后可以保留入学资格1-2年。

五、思想政治情况表

拟录取考生在新生报到时(具体时间另行通知),须提交复试时开具的思想政治情况表原件。

六、组织关系转接

党组织关系:省外党员组织关系介绍信抬头填写中共徐州市委组织部,去往地为徐州医科大学;省内党员组织关系介绍信抬头按照《徐州医科大学2020级新生党员转入支部统计表》(附件二)填写。

团组织关系:请与本科院校团组织负责人保持联系,保管好团组织关系转接介绍信,开学后统一公布转入团支部名称,完成线上线下转接。

七、生源地贷款

拟录取考生如办理生源地贷款,在新生报到时(具体时间另行通知),须提交生源地贷款回执单,并在回执单右上角铅笔注明姓名、学号、手机号。

八、住宿安排

已在复试个人信息表中申请住宿的研究生新生我校统一安排住宿,凡申请不住宿的新生,报到时需提交《研究生校外住宿协议书》(研究生院网站“招生下载专区”下载)一式两份,并于开学后一周内到主校区行政楼211办公室领取一份加盖研究生院公章的协议书留存。

九、户籍迁移

拟录取考生自愿选择是否将户口关系移至本校,具体流程详见《徐州医科大学研究生新生户口迁移须知》(附件三)。

 

                                                                                 徐州医科大学研究生院

                                                                                    2020年65日  

 

  • 附件【附件一:调档通知(硕).doc】附件二:徐州医科大学2020级新生党员转入支部统计表.xlsx】

  • 附件【附件三:徐州医科大学研究生新生户口迁移须知.doc】

本文关键词:徐州医科大学2021年硕士研究生招生简章,徐州医科大研究生2021拟录取,徐州医科大学研究生院2020招生简章,徐州医科大学2020年研究生招生简章,徐州医科大学2021研究生拟录取。这就是关于《徐州医科大学研究生,徐州医科大学2020年硕士研究生拟录取考生须知(这16所院校的调剂和复试信息公布啦)》的所有内容,希望对您能有所帮助!

本文链接:https://bk.89qw.com/a-540267

最近发表
网站分类