手机版

百科生活 投稿

湖南高考分数段,湖南一分一段表理科2018-湖南高考位次表理科(湖南2022高考1分段表来了)

百科 2026-02-11 12:25:13 投稿 阅读:2188次

关于【湖南高考分数段】,湖南一分一段表理科2018-湖南高考位次表理科,今天小编给您分享一下,如果对您有所帮助别忘了关注本站哦。

  • 内容导航:
  • 1、最新!湖南2022高考1分段表来了
  • 2、湖南高考分数段:湖南一分一段表理科2018-湖南高考位次表理科(附excel版下载)

1、最新!湖南2022高考1分段表来了

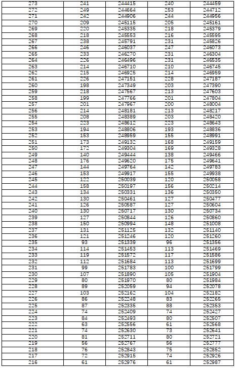
湖南省2022年普通高考档分1分段统计表

(历史科目组合)

湖南高考分数段,湖南一分一段表理科2018-湖南高考位次表理科(湖南2022高考1分段表来了)

湖南高考分数段,湖南一分一段表理科2018-湖南高考位次表理科(湖南2022高考1分段表来了)

湖南高考分数段,湖南一分一段表理科2018-湖南高考位次表理科(湖南2022高考1分段表来了)

湖南高考分数段,湖南一分一段表理科2018-湖南高考位次表理科(湖南2022高考1分段表来了)

湖南高考分数段,湖南一分一段表理科2018-湖南高考位次表理科(湖南2022高考1分段表来了)

湖南高考分数段,湖南一分一段表理科2018-湖南高考位次表理科(湖南2022高考1分段表来了)

湖南高考分数段,湖南一分一段表理科2018-湖南高考位次表理科(湖南2022高考1分段表来了)

湖南高考分数段,湖南一分一段表理科2018-湖南高考位次表理科(湖南2022高考1分段表来了)

湖南高考分数段,湖南一分一段表理科2018-湖南高考位次表理科(湖南2022高考1分段表来了)

湖南高考分数段,湖南一分一段表理科2018-湖南高考位次表理科(湖南2022高考1分段表来了)

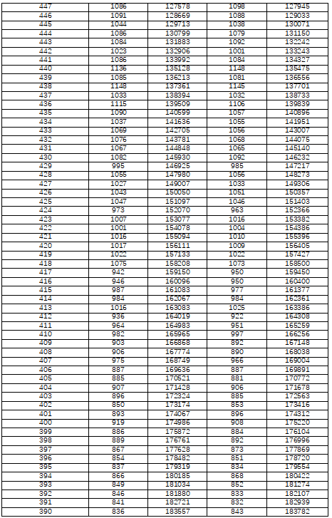
湖南省2022年普通高考档分1分段统计表

(物理科目组合)

湖南高考分数段,湖南一分一段表理科2018-湖南高考位次表理科(湖南2022高考1分段表来了)

湖南高考分数段,湖南一分一段表理科2018-湖南高考位次表理科(湖南2022高考1分段表来了)

湖南高考分数段,湖南一分一段表理科2018-湖南高考位次表理科(湖南2022高考1分段表来了)

湖南高考分数段,湖南一分一段表理科2018-湖南高考位次表理科(湖南2022高考1分段表来了)

湖南高考分数段,湖南一分一段表理科2018-湖南高考位次表理科(湖南2022高考1分段表来了)

湖南高考分数段,湖南一分一段表理科2018-湖南高考位次表理科(湖南2022高考1分段表来了)

湖南高考分数段,湖南一分一段表理科2018-湖南高考位次表理科(湖南2022高考1分段表来了)

湖南高考分数段,湖南一分一段表理科2018-湖南高考位次表理科(湖南2022高考1分段表来了)

湖南高考分数段,湖南一分一段表理科2018-湖南高考位次表理科(湖南2022高考1分段表来了)

湖南高考分数段,湖南一分一段表理科2018-湖南高考位次表理科(湖南2022高考1分段表来了)

湖南高考分数段,湖南一分一段表理科2018-湖南高考位次表理科(湖南2022高考1分段表来了)

来源 | 湖南考试招生

编辑 | 李向

校对 | 刘颖 赵泽琴

审稿 | 方兴



往期精彩回顾












2、湖南高考分数段:湖南一分一段表理科2018-湖南高考位次表理科(附excel版下载)

湖南省高考一分一段表是同学们在填报高考志愿时的重要参考资料,了解自己的高考成绩在全省的排名后,再根据心仪大学近三年在湖南省的录取位次变化,便可以轻松判断出自己被录取的概率大概是多少。

小编根据考试院公布的资料整理出了2018年湖南省高考理科的一分一段表,供大家参考使用。(文末附有湖南省高考2018理科位次表EXCEL版,同学们也可直接下载保存。)

1、什么是一分一段表?

高考的成绩公布之后,全国各个省市的教育考试院网站便会公布高考各科类考生的成绩统计表。一分一段表显示每一个分数全省考生有多少名,能让你计算出自己的排位。目前的段表,大多是将全省同科类考生的档案分(考生总分+政策加分)从高到低排列(分数相同的则为并列),再按每1分一段,统计“本段人数”;从本段向上一直到最高分段的所有“本段人数”相加,则为“累计人数”。一分一段表上显示出每一个分数全省的考生有多少名,这个数据的参考价值最大。

2、一分一段表有什么用?

一分一段表内对每一个分数线上有多少考生、该分数线以上有多少考生进行了详细统计。在填报志愿时,首先参考自己在全省的排名,再看想选报学校的招生计划,最好是计算一下同等梯度的高校在自己所在省份的招生计划的总和,结合自己的排名,从而较好地选报志愿。

本文关键词:2016湖南高考分数段一分一段表(文理科),2017湖南一分一段表理科,2018年高考湖南一分一段表,2018年湖南省高考一分一段表理科及位次,2018年湖南一分一段表理科。这就是关于《湖南高考分数段,湖南一分一段表理科2018-湖南高考位次表理科(湖南2022高考1分段表来了)》的所有内容,希望对您能有所帮助!

本文链接:https://bk.89qw.com/a-540604

最近发表
网站分类