百科生活 投稿
关于【干密度计算公式】:土石方干密度是如何计算出来的,今天小编给您分享一下,如果对您有所帮助别忘了关注本站哦。
- 内容导航:
- 1、干密度计算公式:土石方干密度是如何计算出来的
- 2、负荷计算的入门基础知识,小白入门必备
1、干密度计算公式:土石方干密度是如何计算出来的
计算步骤如下:
1、首先是石头物体形状规则称出质量;
2、尺子量出边长和数学公式算出体积;
3、质量除以体积并且不规则先称质量;
4、在放到装一半水量筒看水上升体积;
5、先算出土湿密度,然后除以是含水率;
6、最后算完减去质量除体积就是密度。
2、负荷计算的入门基础知识,小白入门必备
负荷计算是电气设计人员必须掌握的一必修课,选导体、设备还有保护开关的选择,电网系统分析,都离不开负荷计算的内容,为此小编特意总结9个负荷计算的入门基础知识,分享给大家,希望能在工作和学习中作为一份参考。
(1)什么是负荷计算?
计算负荷是将实际负荷转换成一种假想的持续负荷的计算方法。实际负荷中有不间断工作的,也有随机变化的,利用负荷计算将它们进行归一化的处理。
(2)负荷计算的目的是什么?
负荷计算的目的是为供配电设计提供所需要的各项数据。例如,在选变压器容量的时候,需要利用负荷计算的方法得到待选供电区域的负荷有功功率、无功功率和视在功率。
(3)负荷计算的内容是什么?
求取各种电气物理量,例如负荷有功功率、无功功率、视在功率、尖峰电流、电网损耗等等。
(4)负荷计算的方法有哪些?
主要的负荷计算方法有:(1)单位指标法;(2)需要系数法;(3)利用系数法;
(5)如何选用负荷计算的方法?
1)单位指标法:适用于负荷功率不明确的各类项目,多用于在项目前期方案的初步估算;
2)需要系数法:适用于各种负荷已知的项目,多用于初设阶段设计、照明负荷统计和高压系统,另外,5台以下设备不宜使用此方法;
3)利用系数法:特别适用于工业企业电力负荷计算。
(6)如何利用单位指标法求计算负荷?
单位指标法包括三种方法,分别是负荷密度指标法、综合单位指标法和单位产品耗电量法。
负荷密度指标法计算公式:
综合单位指标法:
单位产品耗电量法:
(7)如何利用需要系数法求计算负荷?
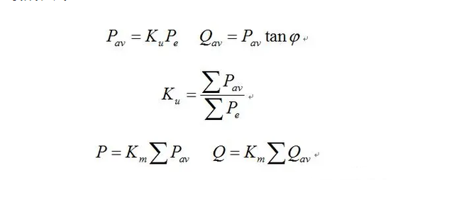
需要系数法三要素:
1)需要系数;
2)设备功率计算;
3)同时系数选取;
主要计算公式:
(8)如何使用利用系数法求计算负荷?
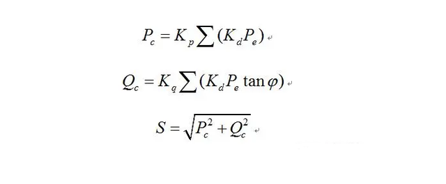
利用系数法三要素:

1)利用系数;
2)设备有效台数;
3)最大系数;
主要计算公式:
(9)配电线路尖峰电流如何计算?
尖峰电流主要是由于配电线路上电动机、变压器等带有冲击性负荷设备工作时产生的冲击电流。计算时,一般只考虑一台冲击设备的冲击电流,其他设备为额定电流。一般不考虑多台同时启动。
(10)总结
看了上述内容,大家应该对负荷计算有一个初步的了解;或许会觉得负荷计算不算太难。其实,在真正项目中使用的时候负荷计算还是比较麻烦的,如何选择合适的系数、单相三相负荷的转换、设备功率的计算和化简,都是要面临的问题,本文也仅仅是起到一个抛砖引玉的作用。
本文关键词:土的压实干密度怎么算,土石方密度是多少,土方最大干密度是多少,土的密实度怎么计算,碎石土的最大干密度如何测得。这就是关于《干密度计算公式,土石方干密度是如何计算出来的(负荷计算的入门基础知识)》的所有内容,希望对您能有所帮助!
- 最近发表