手机版

百科生活 投稿

上海各大学录取分数线,2021上海各大学投档录取分数线-上海16个一本大学分数线2022参考(沪2022年普通高校招生本科普通批次平行志愿院校专业组投档分数线公布)

百科 2026-02-13 06:23:09 投稿 阅读:9358次

关于【上海各大学录取分数线】,2021上海各大学投档录取分数线-上海16个一本大学分数线2022参考,今天小编给您分享一下,如果对您有所帮助别忘了关注本站哦。

  • 内容导航:
  • 1、沪2022年普通高校招生本科普通批次平行志愿院校专业组投档分数线公布
  • 2、上海各大学录取分数线:2021上海各大学投档录取分数线-上海16个一本大学分数线2022参考

1、沪2022年普通高校招生本科普通批次平行志愿院校专业组投档分数线公布

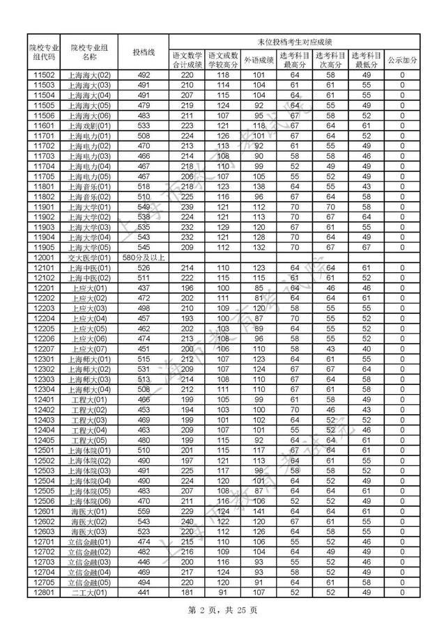
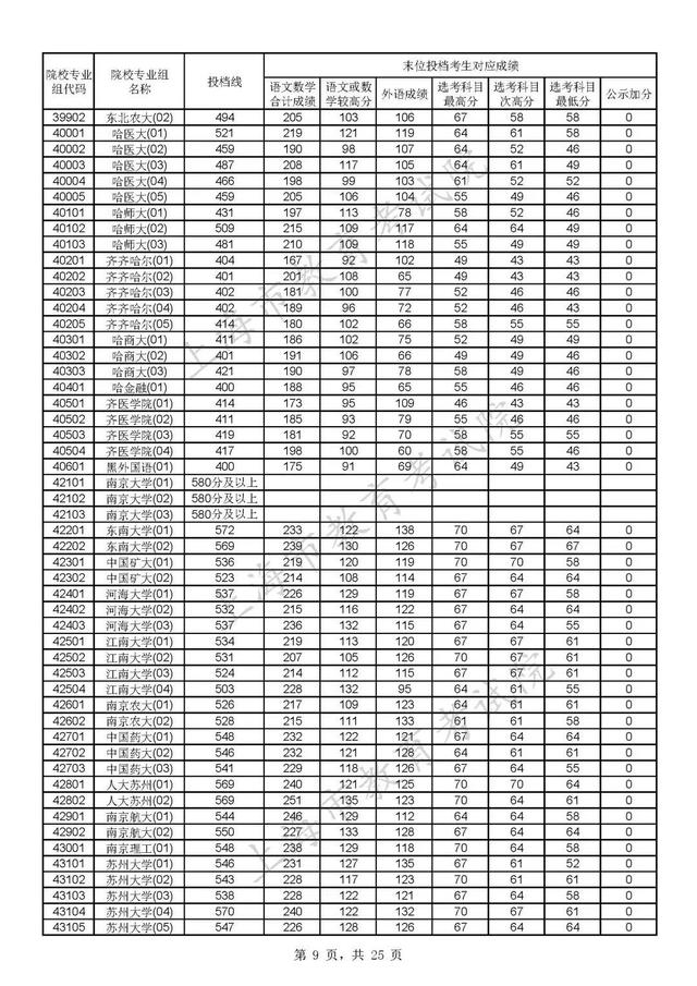
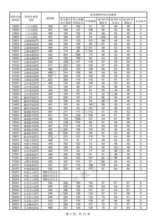
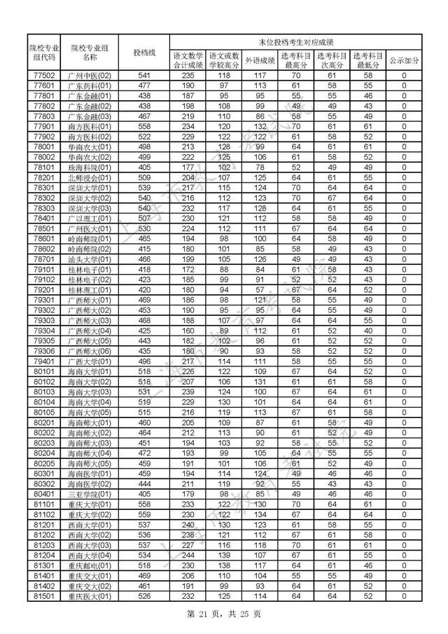
2022年上海市普通高校招生本科普通批次平行志愿院校专业组投档分数线公布,详见↓↓↓

上海各大学录取分数线,2021上海各大学投档录取分数线-上海16个一本大学分数线2022参考(沪2022年普通高校招生本科普通批次平行志愿院校专业组投档分数线公布)上海各大学录取分数线,2021上海各大学投档录取分数线-上海16个一本大学分数线2022参考(沪2022年普通高校招生本科普通批次平行志愿院校专业组投档分数线公布)上海各大学录取分数线,2021上海各大学投档录取分数线-上海16个一本大学分数线2022参考(沪2022年普通高校招生本科普通批次平行志愿院校专业组投档分数线公布)上海各大学录取分数线,2021上海各大学投档录取分数线-上海16个一本大学分数线2022参考(沪2022年普通高校招生本科普通批次平行志愿院校专业组投档分数线公布)上海各大学录取分数线,2021上海各大学投档录取分数线-上海16个一本大学分数线2022参考(沪2022年普通高校招生本科普通批次平行志愿院校专业组投档分数线公布)上海各大学录取分数线,2021上海各大学投档录取分数线-上海16个一本大学分数线2022参考(沪2022年普通高校招生本科普通批次平行志愿院校专业组投档分数线公布)上海各大学录取分数线,2021上海各大学投档录取分数线-上海16个一本大学分数线2022参考(沪2022年普通高校招生本科普通批次平行志愿院校专业组投档分数线公布)上海各大学录取分数线,2021上海各大学投档录取分数线-上海16个一本大学分数线2022参考(沪2022年普通高校招生本科普通批次平行志愿院校专业组投档分数线公布)上海各大学录取分数线,2021上海各大学投档录取分数线-上海16个一本大学分数线2022参考(沪2022年普通高校招生本科普通批次平行志愿院校专业组投档分数线公布)上海各大学录取分数线,2021上海各大学投档录取分数线-上海16个一本大学分数线2022参考(沪2022年普通高校招生本科普通批次平行志愿院校专业组投档分数线公布)上海各大学录取分数线,2021上海各大学投档录取分数线-上海16个一本大学分数线2022参考(沪2022年普通高校招生本科普通批次平行志愿院校专业组投档分数线公布)上海各大学录取分数线,2021上海各大学投档录取分数线-上海16个一本大学分数线2022参考(沪2022年普通高校招生本科普通批次平行志愿院校专业组投档分数线公布)上海各大学录取分数线,2021上海各大学投档录取分数线-上海16个一本大学分数线2022参考(沪2022年普通高校招生本科普通批次平行志愿院校专业组投档分数线公布)上海各大学录取分数线,2021上海各大学投档录取分数线-上海16个一本大学分数线2022参考(沪2022年普通高校招生本科普通批次平行志愿院校专业组投档分数线公布)上海各大学录取分数线,2021上海各大学投档录取分数线-上海16个一本大学分数线2022参考(沪2022年普通高校招生本科普通批次平行志愿院校专业组投档分数线公布)上海各大学录取分数线,2021上海各大学投档录取分数线-上海16个一本大学分数线2022参考(沪2022年普通高校招生本科普通批次平行志愿院校专业组投档分数线公布)上海各大学录取分数线,2021上海各大学投档录取分数线-上海16个一本大学分数线2022参考(沪2022年普通高校招生本科普通批次平行志愿院校专业组投档分数线公布)上海各大学录取分数线,2021上海各大学投档录取分数线-上海16个一本大学分数线2022参考(沪2022年普通高校招生本科普通批次平行志愿院校专业组投档分数线公布)上海各大学录取分数线,2021上海各大学投档录取分数线-上海16个一本大学分数线2022参考(沪2022年普通高校招生本科普通批次平行志愿院校专业组投档分数线公布)上海各大学录取分数线,2021上海各大学投档录取分数线-上海16个一本大学分数线2022参考(沪2022年普通高校招生本科普通批次平行志愿院校专业组投档分数线公布)上海各大学录取分数线,2021上海各大学投档录取分数线-上海16个一本大学分数线2022参考(沪2022年普通高校招生本科普通批次平行志愿院校专业组投档分数线公布)上海各大学录取分数线,2021上海各大学投档录取分数线-上海16个一本大学分数线2022参考(沪2022年普通高校招生本科普通批次平行志愿院校专业组投档分数线公布)上海各大学录取分数线,2021上海各大学投档录取分数线-上海16个一本大学分数线2022参考(沪2022年普通高校招生本科普通批次平行志愿院校专业组投档分数线公布)上海各大学录取分数线,2021上海各大学投档录取分数线-上海16个一本大学分数线2022参考(沪2022年普通高校招生本科普通批次平行志愿院校专业组投档分数线公布)上海各大学录取分数线,2021上海各大学投档录取分数线-上海16个一本大学分数线2022参考(沪2022年普通高校招生本科普通批次平行志愿院校专业组投档分数线公布)

2、上海各大学录取分数线:2021上海各大学投档录取分数线-上海16个一本大学分数线2022参考

相信不管在哪个地区中,关注本科批录取分数情况的考生和家长都非常多。2021年上海各大学的高考投档录取情况已经公布,本文介绍2021上海各大学投档录取分数线,包括2021年上海16个一本大学分数线,以供2022年考生参考。

一、2021上海各大学投档录取分数线

以下上海教育考试院公布的各大学投档录取分数线,各位考生和家长如果还想了解其他地区大学的情况,可以进入考高分网搜索查询,或者前往个应用市场下载旗胜志愿进行查询。

二、上海16个一本大学分数线

上海从2016年开始就已经合并一本招生批次了,因此本文将以上海大学在其余地区的招生批次来判断上海市的一本大学有哪些,标准为在大部分省市地区均为只有一本招生。

根据以上标准上海的一本大学分别为复旦大学上海交通大学同济大学上海财经大学华东师范大学上海外国语大学华东理工大学东华大学、上海大学、华东政法大学、上海对外经济贸易大学上海中医药大学、上海戏剧学院、上海理工大学上海师范大学上海海事大学、上海政法学院、上海海洋大学上海电力大学。各位考生和家长可以在上文的表格中查找相应学校的分数。

本文关键词:2021年上海各高校投档分数线,上海2021年各大学录取分数线一览表,2021上海高考大学录取分数线一览表,2021年上海大学录取分数线一览表,上海2021高校高考录取分数线一览表。这就是关于《上海各大学录取分数线,2021上海各大学投档录取分数线-上海16个一本大学分数线2022参考(沪2022年普通高校招生本科普通批次平行志愿院校专业组投档分数线公布)》的所有内容,希望对您能有所帮助!

本文链接:https://bk.89qw.com/a-541411

最近发表
网站分类