手机版

百科生活 投稿

广东省高考排名,2022全国各省份高考录取率排名-2022高考本科录取率(2022年广东高考33.4万人上本科线)

百科 2026-02-07 23:25:58 投稿 阅读:1523次

关于【广东省高考排名】,2022全国各省份高考录取率排名-2022高考本科录取率,今天小编给您分享一下,如果对您有所帮助别忘了关注本站哦。

  • 内容导航:
  • 1、各分数段数据公布!2022年广东高考33.4万人上本科线
  • 2、广东省高考排名:2022全国各省份高考录取率排名-2022高考本科录取率

1、各分数段数据公布!2022年广东高考33.4万人上本科线

广东省2022年普通高校招生考生填报志愿时间为6月28日—7月4日。

为便于考生填报志愿,6月26日,广东省教育考试院公布了2022年普通高考成绩各分数段数据,以确保志愿填报工作顺利进行。

记者梳理发现,今年普通类(历史)和普通类(物理)上线人数共334331人,两者比去年均有所增加,一共增加16442人;不过,600分及以上高分段考生人数则有所降低。

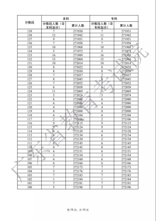
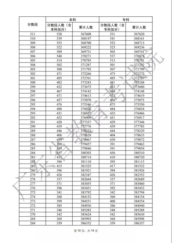
从数据来看,选考历史科的考生272196人,有5人660分以上,638分以上有104人,608分以上有1053人;370分的考生最多,共1127人。

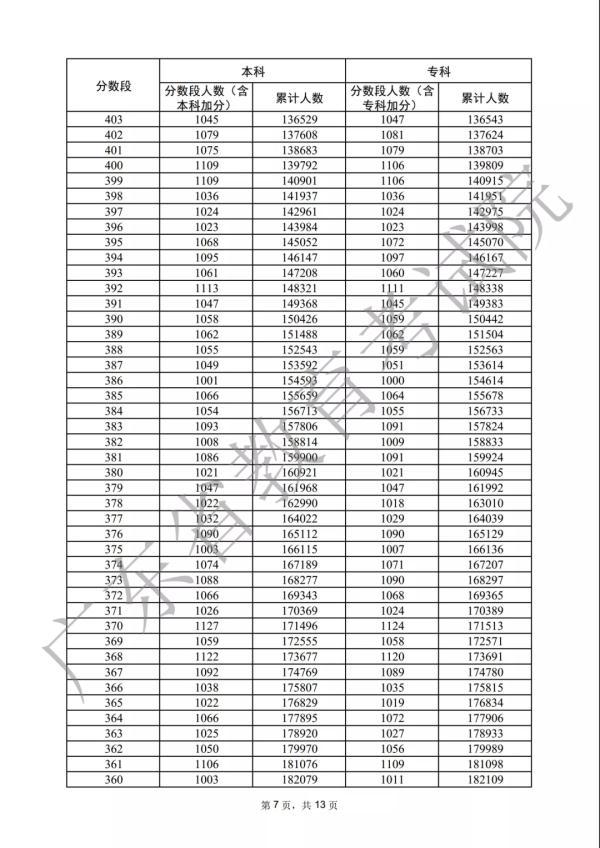
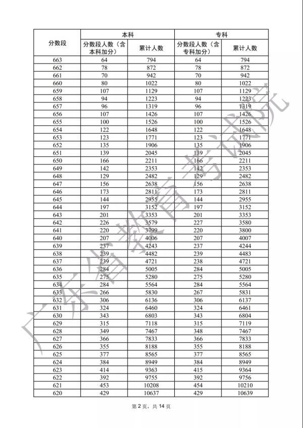
选考物理科的考生共399216人,有6人700分以上,682分以上有109人,660分以上有1022人;475分的考生最多,共1724人。

快来看看,你排位怎样?前面有多少人?

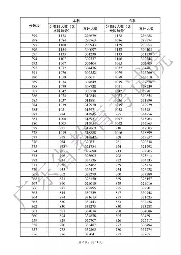
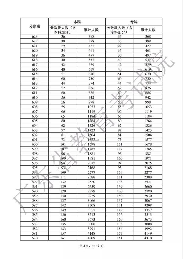
1.广东省2022年高考普通类(历史)分数段统计表

(滑动查看)

广东省高考排名,2022全国各省份高考录取率排名-2022高考本科录取率(2022年广东高考33.4万人上本科线)广东省高考排名,2022全国各省份高考录取率排名-2022高考本科录取率(2022年广东高考33.4万人上本科线)广东省高考排名,2022全国各省份高考录取率排名-2022高考本科录取率(2022年广东高考33.4万人上本科线)广东省高考排名,2022全国各省份高考录取率排名-2022高考本科录取率(2022年广东高考33.4万人上本科线)广东省高考排名,2022全国各省份高考录取率排名-2022高考本科录取率(2022年广东高考33.4万人上本科线)广东省高考排名,2022全国各省份高考录取率排名-2022高考本科录取率(2022年广东高考33.4万人上本科线)广东省高考排名,2022全国各省份高考录取率排名-2022高考本科录取率(2022年广东高考33.4万人上本科线)广东省高考排名,2022全国各省份高考录取率排名-2022高考本科录取率(2022年广东高考33.4万人上本科线)广东省高考排名,2022全国各省份高考录取率排名-2022高考本科录取率(2022年广东高考33.4万人上本科线)广东省高考排名,2022全国各省份高考录取率排名-2022高考本科录取率(2022年广东高考33.4万人上本科线)广东省高考排名,2022全国各省份高考录取率排名-2022高考本科录取率(2022年广东高考33.4万人上本科线)广东省高考排名,2022全国各省份高考录取率排名-2022高考本科录取率(2022年广东高考33.4万人上本科线)广东省高考排名,2022全国各省份高考录取率排名-2022高考本科录取率(2022年广东高考33.4万人上本科线)

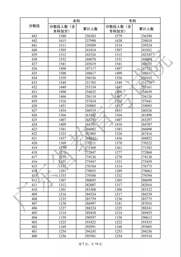
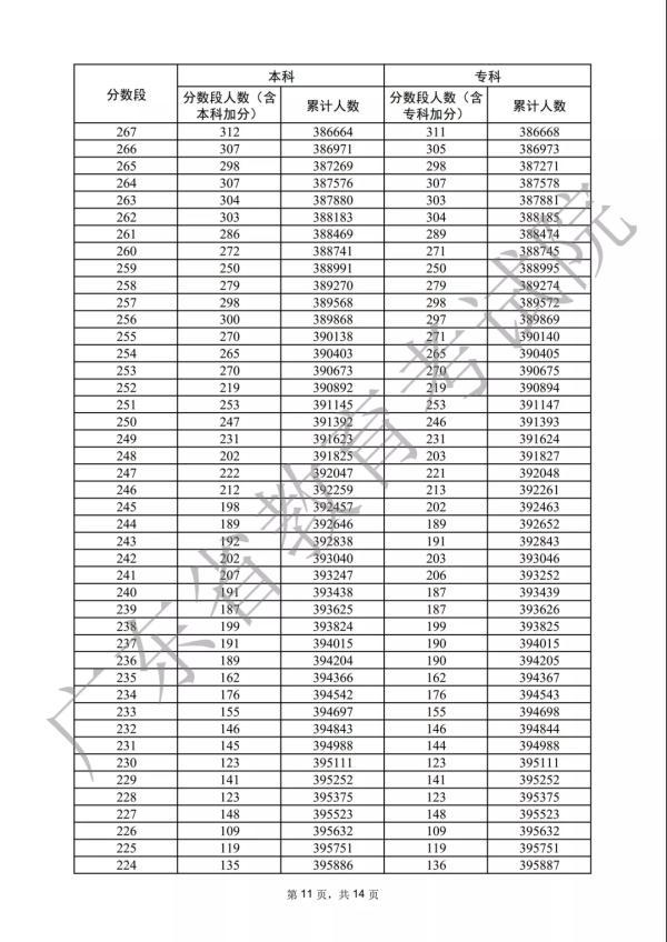
2.广东省2022年高考普通类(物理)分数段统计表

(滑动查看)

广东省高考排名,2022全国各省份高考录取率排名-2022高考本科录取率(2022年广东高考33.4万人上本科线)广东省高考排名,2022全国各省份高考录取率排名-2022高考本科录取率(2022年广东高考33.4万人上本科线)广东省高考排名,2022全国各省份高考录取率排名-2022高考本科录取率(2022年广东高考33.4万人上本科线)广东省高考排名,2022全国各省份高考录取率排名-2022高考本科录取率(2022年广东高考33.4万人上本科线)广东省高考排名,2022全国各省份高考录取率排名-2022高考本科录取率(2022年广东高考33.4万人上本科线)广东省高考排名,2022全国各省份高考录取率排名-2022高考本科录取率(2022年广东高考33.4万人上本科线)广东省高考排名,2022全国各省份高考录取率排名-2022高考本科录取率(2022年广东高考33.4万人上本科线)广东省高考排名,2022全国各省份高考录取率排名-2022高考本科录取率(2022年广东高考33.4万人上本科线)广东省高考排名,2022全国各省份高考录取率排名-2022高考本科录取率(2022年广东高考33.4万人上本科线)广东省高考排名,2022全国各省份高考录取率排名-2022高考本科录取率(2022年广东高考33.4万人上本科线)广东省高考排名,2022全国各省份高考录取率排名-2022高考本科录取率(2022年广东高考33.4万人上本科线)广东省高考排名,2022全国各省份高考录取率排名-2022高考本科录取率(2022年广东高考33.4万人上本科线)广东省高考排名,2022全国各省份高考录取率排名-2022高考本科录取率(2022年广东高考33.4万人上本科线)广东省高考排名,2022全国各省份高考录取率排名-2022高考本科录取率(2022年广东高考33.4万人上本科线)

3.广东省2022年普通高考广播电视编导类总分分数段统计表

4.广东省2022年普通高考书法类总分分数段统计表

5.广东省2022年普通高考体育类总分分数段统计表

6.广东省2022年普通高考舞蹈类总分分数段统计表

7.广东省2022年普通高考音乐学类总分分数段统计表

8.广东省2022年普通高考音乐表演-声乐类总分分数段统计表

9.广东省2022年普通高考音乐表演-器乐类总分分数段统计表

10.广东省2022年普通高考美术类总分分数段统计表

11.广东省2022年普通高考播音与主持普语类总分分数段统计表

12.广东省2022年普通高考播音与主持粤语类总分分数段统计表

请点击下方二维码查阅附件

明天就要填报志愿了

对于高考志愿填报

还有哪些疑惑的地方

下面这些视频替你解答

问题一

问题二

问题三

问题四

问题五

问题六

一键查询

去年广东高校招生录取信息

为高考志愿填报提供参考

戳下图

↓↓↓

广东省高考排名,2022全国各省份高考录取率排名-2022高考本科录取率(2022年广东高考33.4万人上本科线)

祝愿所有考生

金榜题名!

综合 | 广东省教育考试院、南方+客户端

来源: 南方日报

2、广东省高考排名:2022全国各省份高考录取率排名-2022高考本科录取率

部分省份已经完成了2022年招生录取工作,很多人也开始关心2022年高考录取率情况。那么2022高考本科录取率是多少呢?本期老师将为大家整理2022全国各省份高考录取率排名一览表,一起来了解下吧。



2022全国各省份高考录取率排名

河南、四川湖北、广西、山西、上海等更多省份高考录取工作还在进行,高考录取率暂未公布,待录取结束后本文会第一时间为大家整理更新,请保持关注。

1、广东省2022年高考录取率:76.16%

2022年广东省高考人数为70.2万人,实际参考的人数为67.2万人,各批次总共的录取人数为51.18万人,因此高考录取率为76.16%左右,其中本科录取率约为48.47%、专科录取率约为27.69%。相比2021年广东省本科录取率有所下降,但专科录取率有所上升,总体录取率相差不大。

2、江西省2022年高考录取率:81.78%

2022年在江西省招生的普通高校一共有1966所,6个招生批次一共录取了466123人,其中本科录取204636人,高职(专科)录取261487人(含前期高职单招录取80520人)、文史类录取125539人,理工类录取202660人。2022年江西省高考人数为57万人,因此录取率约为81.78%。

3、天津2022高考本科录取率:80.34%

2022年天津报名人数5.8万人、本科录取人数为4.66万人。

4、甘肃2022高考本科录取率:48.77%

2022年甘肃高考报名人数为24.32人,本科层次共录取考生118587人。其中,本科提前批共录取考生16545人,比2021年增加677人;本科一批共录取考生31512人,本科二批共录取考生59055人。




5、西藏2022高考本科录取率:42.50%

 西藏2022年普通高校招生录取二本批次顺利结束,各批次已录取新生13673人。西藏2022年高考报名人数为3.2万人。

6、山东2022高考本科录取率:35.99%

2022年山东高考报名人数86.7万人,本科录取人数31.2万人。

7、湖南2022高考本科录取率:35.66%

2022年湖南高考报名人数65.5万人,本科批实际录取新生208099人(含录取期间追加的计划,包括历史类考生59002人,物理类考生145278人,职高对口类考生3819人),比去年增加26396人。

8、安徽2022高考本科录取率:34.33%

2022年安徽高考报名人数60.1万人,其中:

文理科本科一批录取考生96252人,其中文科17495人,理科78757人。艺术类本科批共录取考生20589人,其中第一批录取1314人、第二批录取17732人、第三批录取1543人(不含征集志愿)。体育类本科批录取考生2705人。

本科二批实际录取考生98337人,比原计划增录635人,其中,文史类录取29048人;理工类录取69289人。

9、内蒙古2022年高考录取率:95.66%

2022年内蒙古自治区普通高校招生考试共有18.5万名考生报名,14.5万人参加秋季统考和高职对口招生考试。共录取考生176981人,其中本科录取95550人,录取率为51.64%;专科录取81431人,录取率为44.02%。



10、陕西2022高考录取率:85.63%

8月12日,陕西省普通高校招生录取工作圆满结束,全国1641所普通高校在陕共录取新生27.66万人。2022年陕西高考报名人数为32.3万人。

更多高考资讯,可下载大文学APP了解。本文下方支持输入分数查能上的大学、测大学录取概率等。

本文关键词:2020年全国各省高考本科录取率,2021高考各省本科录取率排行,2021全国高考各省本科录取率,2020年全国各省高考录取率对比,全国高考录取率排行2021。这就是关于《广东省高考排名,2022全国各省份高考录取率排名-2022高考本科录取率(2022年广东高考33.4万人上本科线)》的所有内容,希望对您能有所帮助!

本文链接:https://bk.89qw.com/a-542484

最近发表
网站分类