手机版

百科生活 投稿

yn是什么意思,梦见棺材是什么意思预示着什么(表面粗糙度的标注方法)

百科 2026-02-18 07:44:17 投稿 阅读:4070次

关于【yn是什么意思】:梦见棺材是什么意思预示着什么,今天小编给您分享一下,如果对您有所帮助别忘了关注本站哦。

  • 内容导航:
  • 1、yn是什么意思:梦见棺材是什么意思预示着什么
  • 2、机械基础知识学习,表面粗糙度的概念,表面粗糙度的标注方法

1、yn是什么意思:梦见棺材是什么意思预示着什么

  1、梦见棺材预兆要发财,有财运。

  2、梦见棺材可以隐喻着重生,或者思想或灵魂蜕变进入另一阶段,以及戒除了不健康的坏习惯,离开了旧的环境等等。

  3、梦到棺材从你家抬出来,是暗示你交友不当,跟你借的钱都不肯还,而且你又无可奈何,想不出好办法。

  4、梦到棺材盖打开,是暗示你最近将会捞到一笔狠大的意外财,而且这笔钱可以让你一夜致富。

  5、梦到棺材盖盖上了,表示你近期可能会有灾难发生,而且是出乎意料的降临,让你措手不及。

2、机械基础知识学习,表面粗糙度的概念,表面粗糙度的标注方法

一、表面结构要求的概念

包括零件表面的表面结构参数、加工工艺、表面纹理及方向、 加工余量、传输带、取样长度等。  零件经过机械加工后的表面会留有许多高低不平的凸峰和凹谷。表面质量与加工方法、刀刃形状和切削用量等各种因素都有密切关系。它对于零件摩擦、磨损、配合性质、疲劳强度、接触刚度等都有显著影响。

yn是什么意思,梦见棺材是什么意思预示着什么(表面粗糙度的标注方法)

二、表面结构要求的评定参数

包括有R轮廓(表面粗糙度参数)、W轮廓(波纹度参数)、P轮廓(原始轮廓参数),R轮廓参数(表面粗糙度参数)包括Ra 和Rz 。

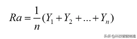
1.算术平均偏差Ra

  指在取样长度内轮廓上各点至轮廓中线距离的算术平均值。

yn是什么意思,梦见棺材是什么意思预示着什么(表面粗糙度的标注方法)

Y1、Y2、Yn分别为轮廓上各点至轮廓中线的距离。

2.轮廓最大高度Rz

是指在取样长度内,最大轮廓峰高与最大轮廓谷深之和的高度。

yn是什么意思,梦见棺材是什么意思预示着什么(表面粗糙度的标注方法)

三、表面结构的符号及代号的含义

1.表面结构符号:

yn是什么意思,梦见棺材是什么意思预示着什么(表面粗糙度的标注方法)

2.表面结构代号:

yn是什么意思,梦见棺材是什么意思预示着什么(表面粗糙度的标注方法)

yn是什么意思,梦见棺材是什么意思预示着什么(表面粗糙度的标注方法)

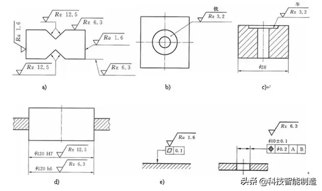
四、表面结构的符号及代号在图样上的标注

表面结构代(符)号可标注在轮廓线、尺寸界线或其延长线上,其符号应从材料外指向并接触表面,其参数的注写和读取方向与尺寸数字的注写和读取方方向一致。必要时,表面结构代(符)号可用带箭头或黑点的指引线引出标注。在不致引起误解时,表面结构要求还可以标注在给定的尺寸线上。表面结构要求还可标注在形位公差框格上方。

yn是什么意思,梦见棺材是什么意思预示着什么(表面粗糙度的标注方法)

yn是什么意思,梦见棺材是什么意思预示着什么(表面粗糙度的标注方法)

五、R轮廓参数(表面粗糙度参数)值的选用

R轮廓参数(表面粗糙度参数)值的选择应遵循在满足表面功能要求的前提下,尽量选用较大的粗糙度参数值的基本原则,以便简化加工工艺,降低加工成本。

R轮廓参数(表面粗糙度参数)值的选择一般采用类比法,具体选择时应考虑下列因素:

1.在同一零件上,工作表面一般比非工作表面的粗糙度参数值要小。

2.摩擦表面比非摩擦表面的粗糙度参数值要小;滚动摩擦表面比滑动摩擦表面的粗糙度参数值要小;运动速度高、压力大的摩擦表面比运动速度低、压力小的摩擦表面的粗糙度参数值要小。

3.承受循环载荷的表面及易引起应力集中的结构(圆角、沟槽等),其粗糙度参数值要小。

4.配合精度要求高的结合表面、配合间隙小的配合表面及要求连接可靠且承受重载的过盈配合表面,均应取较小的粗糙度参数值。

5.配合性质相同时,在一般情况下,零件尺寸越小,则粗糙度参数值应越小;在同一精度等级时,小尺寸比大尺寸、轴比孔的粗糙度参数值要小;通常在尺寸公差、表面形状公差小时,粗糙度参数值要小。

6.防腐性、密封性要求越高,粗糙度参数值应越小。

六、R轮廓参数(表面粗糙度参数)的检测

1.比较法: 将被测表面与标准粗糙度样块进行比较,用目测和手摸的感触来判断粗糙度的一种检测方法。

2.仪器检测法:传统的仪器检测方法有:光切法、干涉法和感触法(又称针描法)。

本文关键词:梦见,棺材是什么意思,梦见棺材是什么意思?,梦见棺材是什么意思呀,梦见棺材表示什么,梦到棺材是什么意思预示着什么。这就是关于《yn是什么意思,梦见棺材是什么意思预示着什么(表面粗糙度的标注方法)》的所有内容,希望对您能有所帮助!

本文链接:https://bk.89qw.com/a-543868

最近发表
网站分类